Mono-Higgs and Mono-Z Production in the Minimal Vector Dark Matter Model
Abstract
1. Introduction
2. The Model
3. Methodology
4. Results
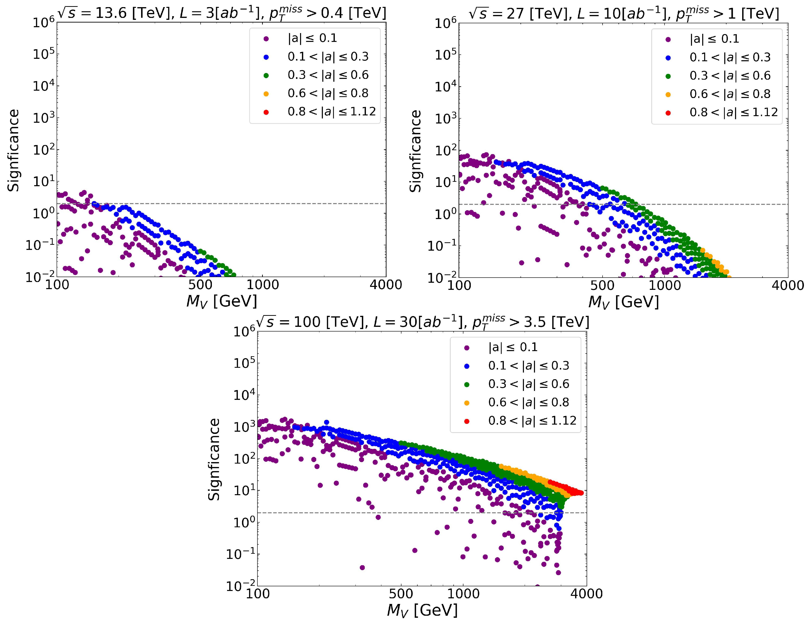
4.1. Mono-Higgs Production
4.1.1. Production
4.1.2. Production
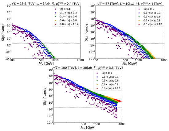
4.2. Mono-Z Production
4.2.1. Production
4.2.2. Production
5. Conclusions
Author Contributions
Funding
Data Availability Statement
Conflicts of Interest
References
- Cirelli, M.; Fornengo, N.; Strumia, A. Minimal dark matter. Nucl. Phys. B 2006, 753, 178–194. [Google Scholar] [CrossRef]
- Sáez, B.D.; Rojas-Abatte, F.; Zerwekh, A.R. Dark Matter from a Vector Field in the Fundamental Representation of SU(2)L. Phys. Rev. D 2019, 99, 075026. [Google Scholar] [CrossRef]
- Belyaev, A.; Cacciapaglia, G.; Mckay, J.; Marin, D.; Zerwekh, A.R. Minimal Spin-one Isotriplet Dark Matter. Phys. Rev. D 2019, 99, 115003. [Google Scholar] [CrossRef]
- Abe, T.; Fujiwara, M.; Hisano, J.; Matsushita, K. A model of electroweakly interacting non-abelian vector dark matter. J. High Energy Phys. 2020, 2020, 136. [Google Scholar] [CrossRef]
- Zerwekh, A.R. On the Quantum Chromodynamics of a Massive Vector Field in the Adjoint Representation. Int. J. Mod. Phys. A 2013, 28, 1350054. [Google Scholar] [CrossRef]
- Aprile, E.; Aalbers, J.; Agostini, F.; Alfonsi, M.; Althueser, L.; Amaro, F.D.; Antochi, V.C.; Angelino, E.; Angevaare, J.R.; Arneodo, F.; et al. Projected WIMP sensitivity of the XENONnT dark matter experiment. J. Cosmol. Astropart. Phys. 2020, 11, 031. [Google Scholar] [CrossRef]
- Belyaev, A.; Prestel, S.; Rojas-Abbate, F.; Zurita, J. Probing dark matter with disappearing tracks at the LHC. Phys. Rev. D 2021, 103, 095006. [Google Scholar] [CrossRef]
- Aghanim, N.; Akrami, Y.; Ashdown, M.; Aumont, J.; Baccigalupi, C.; Ballardini, M.; Banday, A.J.; Barreiro, R.B.; Bartolo, N.; Basak, S.; et al. Planck 2018 results. VI. Cosmological parameters. Astron. Astrophys. 2020, 641, A6, Erratum in Astron. Astrophys. 2021, 652, C4. [Google Scholar] [CrossRef]
- Fukuda, H.; Nagata, N.; Otono, H.; Shirai, S. Higgsino Dark Matter or Not: Role of Disappearing Track Searches at the LHC and Future Colliders. Phys. Lett. B 2018, 781, 306–311. [Google Scholar] [CrossRef]
- Saito, M.; Sawada, R.; Terashi, K.; Asai, S. Discovery reach for wino and higgsino dark matter with a disappearing track signature at a 100 TeV pp collider. Eur. Phys. J. C 2019, 79, 469. [Google Scholar] [CrossRef]
- Mahbubani, R.; Schwaller, P.; Zurita, J. Closing the window for compressed Dark Sectors with disappearing charged tracks. J. High Energy Phys. 2017, 2017, 119, Erratum in J. High Energy Phys. 2017, 10, 061. [Google Scholar] [CrossRef][Green Version]
- Ghorbani, K.; Khalkhali, L. Mono-Higgs signature in a fermionic dark matter model. J. Phys. G 2017, 44, 105004. [Google Scholar] [CrossRef]
- Aad, G. et al. [ATLAS Collaboration] Search for dark matter produced in association with a Standard Model Higgs boson decaying into b-quarks using the full Run 2 dataset from the ATLAS detector. J. High Energy Phys. 2021, 11, 209. [Google Scholar] [CrossRef]
- No, J.M. Looking through the pseudoscalar portal into dark matter: Novel mono-Higgs and mono-Z signatures at the LHC. Phys. Rev. D 2016, 93, 031701. [Google Scholar] [CrossRef]
- Carpenter, L.; DiFranzo, A.; Mulhearn, M.; Shimmin, C.; Tulin, S.; Whiteson, D. Mono-Higgs-boson: A new collider probe of dark matter. Phys. Rev. D 2014, 89, 075017. [Google Scholar] [CrossRef]
- Bhowmik, D.; Lahiri, J.; Bhattacharya, S.; Mukhopadhyaya, B.; Singh, R.K. The mono-Higgs + MET signal at the Large Hadron Collider: A study on the γγ and bb¯ final states. Eur. Phys. J. C 2022, 82, 914. [Google Scholar] [CrossRef]
- Belyaev, A.; Christensen, N.D.; Pukhov, A. CalcHEP 3.4 for collider physics within and beyond the Standard Model. Comput. Phys. Commun. 2013, 184, 1729–1769. [Google Scholar] [CrossRef]
- Belyaev, A.; Rojas-Abatte, F. Vector Triplet Dark Matter with pion (VTDMp). Available online: https://hepmdb.soton.ac.uk/hepmdb:0820.0331 (accessed on 27 June 2024).
- Bondarenko, M.; Belyaev, A.; Basso, L.; Boos, E.; Bunichev, V. High Energy Physics Model Database: Towards Decoding of the Underlying Theory (within Les Houches 2011: Physics at TeV Colliders New Physics Working Group Report). 2012. Available online: https://hepmdb.soton.ac.uk (accessed on 27 June 2024).
- Chatrchyan, S. et al. [CMS CMS Collaboration] Identification of b-Quark Jets with the CMS Experiment. J. Instrum. 2013, 8, P04013. [Google Scholar] [CrossRef]
- Aad, G. et al. [ATLAS Collaboration] Measurement of Higgs boson decay into b-quarks in associated production with a top-quark pair in pp collisions at ⎷s = 13 TeV with the ATLAS detector. J. High Energy Phys. 2022, 2022, 97. [Google Scholar] [CrossRef]
- Variable Radius, Exclusive-kT, and Center-of-Mass Subjet Reconstruction for Higgs(→bb¯) Tagging in ATLAS. 2017. Available online: https://cds.cern.ch/record/2268678?ln=es (accessed on 27 June 2024).
- Expected Performance of the ATLAS b-Tagging Algorithms in Run-2. 2015. Available online: https://cds.cern.ch/record/2037697?ln=es (accessed on 27 June 2024).
- Li, S. [The ATLAS Collaboration]. A detailed map of Higgs boson interactions by the ATLAS experiment ten years after the discovery. Nature 2022, 607, 52–59, Erratum in Nature 2022, 612, E24. [Google Scholar] [CrossRef]
- Cepeda, M.; Gori, S.; Ilten, P.; Kado, M.; Riva, F. Report from Working Group 2: Higgs Physics at the HL-LHC and HE-LHC. CERN Yellow Rep. Monogr. 2019, 7, 221–584. [Google Scholar] [CrossRef]
- Abada, A. et al. [FCC Collaboration] FCC-hh: The Hadron Collider: Future Circular Collider Conceptual Design Report Volume 3. Eur. Phys. J. Spec. Top. 2019, 228, 755–1107. [Google Scholar] [CrossRef]
- Pumplin, J.; Stump, D.R.; Huston, J.; Lai, H.L.; Nadolsky, P.M.; Tung, W.K. New generation of parton distributions with uncertainties from global QCD analysis. J. High Energy Phys. 2002, 2002, 012. [Google Scholar] [CrossRef]














| Collider | HL-LHC | HE-LHC | FCC-hh |
|---|---|---|---|
| [TeV] | 13.6 | 27 | 100 |
| 3 | 10 | 30 |
| Collider | HL-LHC | HE-LHC | FCC-hh |
|---|---|---|---|
| [TeV] | 0.4 | 1 | 3.5 |
Disclaimer/Publisher’s Note: The statements, opinions and data contained in all publications are solely those of the individual author(s) and contributor(s) and not of MDPI and/or the editor(s). MDPI and/or the editor(s) disclaim responsibility for any injury to people or property resulting from any ideas, methods, instructions or products referred to in the content. |
© 2024 by the authors. Licensee MDPI, Basel, Switzerland. This article is an open access article distributed under the terms and conditions of the Creative Commons Attribution (CC BY) license (https://creativecommons.org/licenses/by/4.0/).
Share and Cite
Benítez-Irarrázabal, G.; Zerwekh, A. Mono-Higgs and Mono-Z Production in the Minimal Vector Dark Matter Model. Universe 2024, 10, 288. https://doi.org/10.3390/universe10070288
Benítez-Irarrázabal G, Zerwekh A. Mono-Higgs and Mono-Z Production in the Minimal Vector Dark Matter Model. Universe. 2024; 10(7):288. https://doi.org/10.3390/universe10070288
Chicago/Turabian StyleBenítez-Irarrázabal, Gonzalo, and Alfonso Zerwekh. 2024. "Mono-Higgs and Mono-Z Production in the Minimal Vector Dark Matter Model" Universe 10, no. 7: 288. https://doi.org/10.3390/universe10070288
APA StyleBenítez-Irarrázabal, G., & Zerwekh, A. (2024). Mono-Higgs and Mono-Z Production in the Minimal Vector Dark Matter Model. Universe, 10(7), 288. https://doi.org/10.3390/universe10070288

