Energetic Particles and High-Energy Processes in Cosmological Filaments and Their Astronomical Implications
Abstract
1. Introduction
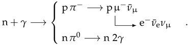
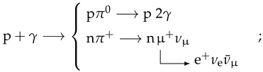
2. Hadronic Interactions in Astrophysical Environments
3. Confinement and Trapping of Energetic Particles
3.1. Filaments as Mass Condensates and Particle Interactions
3.2. Gyration of Charged Particles
3.3. Magnetic Field Configurations
3.4. Particle Confinement
4. Filament Ecology
4.1. Filament Interfaces
4.2. Journey, Life Cycle, and Fate of Energetic Particles
4.2.1. Particles Starting from a Filament
4.2.2. Particles Starting from a Cluster or a Supercluster
4.2.3. Particles Starting from a Disk Galaxy
5. Astrophysical Implications
5.1. Filaments as Cosmic Ray Highways and Fly Papers
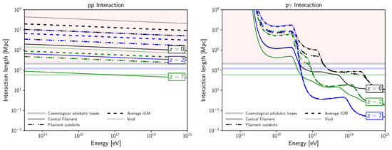
5.2. Cumulative Calorimetry
5.3. Some Remarks
5.3.1. Cosmic Ray Energy Density and Energy Partition with Magnetic Fields
5.3.2. Cosmic Ray Transfer on Cosmological Scales
5.3.3. The Cosmic Rays That Will Never Reach Us
6. Conclusions
Author Contributions
Funding
Data Availability Statement
Acknowledgments
Conflicts of Interest
Abbreviations
| AGN | active galactic nuclei/nucleus |
| CGM | circumgalactic medium |
| CMB | cosmic microwave background |
| GZK | Greisen–Zatsepin–Kuzmin |
| ICM | intra-cluster medium |
| IGM | intergalactic medium |
| IR | infra-red |
| ISM | interstellar medium |
| ΛCDM | Lambda Cold Dark Matter |
| RM | rotation measure |
| UHE | ultra-high energy |
| WHIM | warm–hot intergalactic media/medium |
| EBL | extragalactic background light |
| FUV | far-ultraviolet |
| HCG | Hickson Compact Group |
| HyLIRG | hyper-luminous infra-red galaxy |
| ISRF | interstellar radiation field |
| IGrM | intra-group medium |
Appendix A
| Environment | Redshift | Radiation Energy Density [] | Gas Density | Size (h) | |
|---|---|---|---|---|---|
| Starlight | Dust | [g cm−3] | [Mpc] | ||
| Central filament (a) | 0 | 3.7 | 5.2 | 4.0 × | 0.30 |
| 2 | 28 | 42 | 3.6 × | 0.20 | |
| 7 | 3.4 | 4.7 | 2.0 × | <0.050 | |
| Filament outskirts (a) | 0 | 0.10 | 0.14 | 1.4 × | 2.0 |
| 2 | 0.076 | 1.1 | 1.3 × | 2.5 | |
| 7 | 0.091 | 0.13 | 7.0 × | >2.8 | |
| Void (b) | 0 | 0.022 | 0.032 | 8.0 × | 7.9 |
| 2 | 0.17 | 0.25 | 1.4 × | 6.7 | |
| 7 | 0.021 | 0.028 | 7.6 × | 6.0 | |
| Average IGM (c) | 0 | 0.024 | 0.035 | 4.0 × | – |
| 2 | 0.19 | 0.29 | 3.6 × | – | |
| 7 | 0.023 | 0.031 | 2.0 × | – | |
| Starburst galaxy (d) | 0 | 670 | 310 | 1.7 × | 0.0010 |
| CGM (e) | 0 | 0.24 | 0.34 | 1.0 × | 0.10 |
| Intra-group medium (f) | 0 | 0.22 | 0.31 | 4.4 × | 0.12 |
| Intra-cluster medium (g) | 0 | 0.21 | 0.28 | 1.1 × | 1.9 |
| 1 | Galaxy clusters are not all virialised objects (see, e.g., [92]), and superclusters are not virialised. Superclusters cannot be described by simple geometrical shapes, such as spheres or ellipses. For example, the Laniakea Supercluster [93] does not have a well-defined shape. It is elongated, and presumably threaded by many filaments at different locations. The term ‘linear size’ of the cluster and supercluster here is, therefore, used in a loose context. |
| 2 | |
| 3 | Apart from clusters and superclusters, galaxy groups can also serve as nodes of large-scale filaments. In a recent observation, the M 101 galaxy group was identified as a node in a nearby cosmic filament [112]. |
| 4 | This is analogous to determining the electric and magnetic fields in propagating electromagnetic waves across two dielectric media with different refractive indices. The matching of the field components at the boundary is essential to obtain a correct description of the transmission and reflection of electromagnetic waves when crossing the interface between the two media. |
References
- Eckert, D.; Jauzac, M.; Shan, H.; Kneib, J.P.; Erben, T.; Israel, H.; Jullo, E.; Klein, M.; Massey, R.; Richard, J.; et al. Warm-hot baryons comprise 5–10 per cent of filaments in the cosmic web. Nature 2015, 528, 105–107. [Google Scholar] [CrossRef]
- Vernstrom, T.; Heald, G.; Vazza, F.; Galvin, T.J.; West, J.L.; Locatelli, N.; Fornengo, N.; Pinetti, E. Discovery of magnetic fields along stacked cosmic filaments as revealed by radio and X-ray emission. Mon. Not. R. Astron. Soc. 2021, 505, 4178–4196. [Google Scholar] [CrossRef]
- Tanimura, H.; Aghanim, N.; Kolodzig, A.; Douspis, M.; Malavasi, N. First detection of stacked X-ray emission from cosmic web filaments. Astropart. Phys. 2020, 643, L2. [Google Scholar] [CrossRef]
- Reiprich, T.H.; Veronica, A.; Pacaud, F.; Ramos-Ceja, M.E.; Ota, N.; Sanders, J.; Kara, M.; Erben, T.; Klein, M.; Erler, J.; et al. The Abell 3391/95 galaxy cluster system. A 15 Mpc intergalactic medium emission filament, a warm gas bridge, infalling matter clumps, and (re-) accelerated plasma discovered by combining SRG/eROSITA data with ASKAP/EMU and DECam data. Astropart. Phys. 2021, 647, A2. [Google Scholar] [CrossRef]
- Walter, F.; Carilli, C.; Neeleman, M.; Decarli, R.; Popping, G.; Somerville, R.S.; Aravena, M.; Bertoldi, F.; Boogaard, L.; Cox, P.; et al. The Evolution of the Baryons Associated with Galaxies Averaged over Cosmic Time and Space. Astrophys. J. 2020, 902, 111. [Google Scholar] [CrossRef]
- Nicastro, F.; Kaastra, J.; Krongold, Y.; Borgani, S.; Branchini, E.; Cen, R.; Dadina, M.; Danforth, C.W.; Elvis, M.; Fiore, F.; et al. Observations of the missing baryons in the warm-hot intergalactic medium. Nature 2018, 558, 406–409. [Google Scholar] [CrossRef] [PubMed]
- Nath, B.B.; Silk, J. Heating of the intergalactic medium as a result of structure formation. Mon. Not. R. Astron. Soc. 2001, 327, L5–L9. [Google Scholar] [CrossRef][Green Version]
- Scannapieco, E.; Silk, J.; Bouwens, R. AGN Feedback Causes Downsizing. Astrophys. J. Let. 2005, 635, L13–L16. [Google Scholar] [CrossRef]
- Cen, R.; Ostriker, J.P. Where Are the Baryons? II. Feedback Effects. Astrophys. J. 2006, 650, 560–572. [Google Scholar] [CrossRef]
- Vacca, V.; Murgia, M.; Govoni, F.; Enßlin, T.; Oppermann, N.; Feretti, L.; Giovannini, G.; Loi, F. Magnetic Fields in Galaxy Clusters and in the Large-Scale Structure of the Universe. Galaxies 2018, 6, 142. [Google Scholar] [CrossRef]
- Carretti, E.; O’Sullivan, S.P.; Vacca, V.; Vazza, F.; Gheller, C.; Vernstrom, T.; Bonafede, A. Magnetic field evolution in cosmic filaments with LOFAR data. Mon. Not. R. Astron. Soc. 2023, 518, 2273–2286. [Google Scholar] [CrossRef]
- Kronberg, P.P. Extragalactic magnetic fields. Rep. Prog. Phys. 1994, 57, 325–382. [Google Scholar] [CrossRef]
- Bertone, S.; Vogt, C.; Enßlin, T. Magnetic field seeding by galactic winds. Mon. Not. R. Astron. Soc. 2006, 370, 319–330. [Google Scholar] [CrossRef]
- Vazza, F.; Brüggen, M.; Gheller, C.; Hackstein, S.; Wittor, D.; Hinz, P.M. Simulations of extragalactic magnetic fields and of their observables. Class. Quantum Gravity 2017, 34, 234001. [Google Scholar] [CrossRef]
- Heesen, V.; O’Sullivan, S.P.; Brüggen, M.; Basu, A.; Beck, R.; Seta, A.; Carretti, E.; Krause, M.G.H.; Haverkorn, M.; Hutschenreuter, S.; et al. Detection of magnetic fields in the circumgalactic medium of nearby galaxies using Faraday rotation. Astropart. Phys. 2023, 670, L23. [Google Scholar] [CrossRef]
- Akamatsu, H.; Fujita, Y.; Akahori, T.; Ishisaki, Y.; Hayashida, K.; Hoshino, A.; Mernier, F.; Yoshikawa, K.; Sato, K.; Kaastra, J.S. Properties of the cosmological filament between two clusters: A possible detection of a large-scale accretion shock by Suzaku. Astropart. Phys. 2017, 606, A1. [Google Scholar] [CrossRef]
- Vernstrom, T.; West, J.; Vazza, F.; Wittor, D.; Riseley, C.J.; Heald, G. Polarized accretion shocks from the cosmic web. Sci. Adv. 2023, 9, eade7233. [Google Scholar] [CrossRef] [PubMed]
- Thomas, T.; Pfrommer, C.; Pakmor, R. Cosmic-ray-driven galactic winds: Transport modes of cosmic rays and Alfvén-wave dark regions. Mon. Not. R. Astron. Soc. 2023, 521, 3023–3042. [Google Scholar] [CrossRef]
- Ptuskin, V.; Rogovaya, S.; Zirakashvili, V. On ultra-high energy cosmic rays: Origin in AGN jets and transport in expanding universe. Adv. Space Res. 2013, 51, 315–321. [Google Scholar] [CrossRef]
- Galárraga-Espinosa, D.; Cadiou, C.; Gouin, C.; White, S.D.M.; Springel, V.; Pakmor, R.; Hadzhiyska, B.; Bose, S.; Ferlito, F.; Hernquist, L.; et al. Evolution of cosmic filaments in the MTNG simulation. arXiv 2023, arXiv:2309.08659. [Google Scholar] [CrossRef]
- Kampert, K.H.; Tinyakov, P. Cosmic rays from the ankle to the cutoff. Comptes Rendus Phys. 2014, 15, 318–328. [Google Scholar] [CrossRef]
- Kampert, K.H. Ultra-high energy cosmic rays: Recent results and future plans of Auger. In Exotic Nuclei and Nuclear/Particle AstroPhysics (VI). Physics with Small Accelerators, Proceedings of the Carpathian Summer School of Physics 2016 (CSSP16), Sinaia, Romania, 26 June–9 July 2016; American Institute of Physics Conference Series; AIP Publishing: Melville, NY, USA, 2017; Volume 1852, p. 040001. [Google Scholar] [CrossRef]
- Owen, E.R.; Han, Q.; Wu, K.; Yap, Y.X.J.; Surajbali, P. Ultra-High-energy Cosmic Rays from beyond the Greisen-Zatsepin-Kuz’min Horizon. Astrophys. J. 2021, 922, 32. [Google Scholar] [CrossRef]
- Ziegler, J.F. Terrestrial cosmic ray intensities. IBM J. Res. Dev. 1998, 42, 117–140. [Google Scholar] [CrossRef]
- Sato, T. Analytical Model for Estimating Terrestrial Cosmic Ray Fluxes Nearly Anytime and Anywhere in the World: Extension of PARMA/EXPACS. PLoS ONE 2015, 10, e0144679. [Google Scholar] [CrossRef] [PubMed]
- Stone, E.C.; Cummings, A.C.; Heikkila, B.C.; Lal, N. Cosmic ray measurements from Voyager 2 as it crossed into interstellar space. Nat. Astron. 2019, 3, 1013–1018. [Google Scholar] [CrossRef]
- Zhang, M.; Luo, X.; Pogorelov, N. Where is the cosmic-ray modulation boundary of the heliosphere? Phys. Plasmas 2015, 22, 091501. [Google Scholar] [CrossRef]
- Rankin, J.S.; Stone, E.C.; Cummings, A.C.; McComas, D.J.; Lal, N.; Heikkila, B.C. Galactic Cosmic-Ray Anisotropies: Voyager 1 in the Local Interstellar Medium. Astrophys. J. 2019, 873, 46. [Google Scholar] [CrossRef]
- Cummings, A.C.; Stone, E.C.; Heikkila, B.C.; Lal, N.; Webber, W.R.; Jóhannesson, G.; Moskalenko, I.V.; Orlando, E.; Porter, T.A. Galactic Cosmic Rays in the Local Interstellar Medium: Voyager 1 Observations and Model Results. Astrophys. J. 2016, 831, 18. [Google Scholar] [CrossRef] [PubMed]
- Kissmann, R. PICARD: A novel code for the Galactic Cosmic Ray propagation problem. Astropart. Phys. 2014, 55, 37–50. [Google Scholar] [CrossRef]
- Werner, M.; Kissmann, R.; Strong, A.W.; Reimer, O. Spiral arms as cosmic ray source distributions. Astropart. Phys. 2015, 64, 18–33. [Google Scholar] [CrossRef]
- Globus, N.; Allard, D.; Parizot, E. A complete model of the cosmic ray spectrum and composition across the Galactic to extragalactic transition. Phys. Rev. D 2015, 92, 021302. [Google Scholar] [CrossRef]
- Kempski, P.; Quataert, E. Reconciling cosmic ray transport theory with phenomenological models motivated by Milky-Way data. Mon. Not. R. Astron. Soc. 2022, 514, 657–674. [Google Scholar] [CrossRef]
- Ambrosone, A.; Chianese, M.; Fiorillo, D.F.G.; Marinelli, A.; Miele, G. Observable signatures of cosmic rays transport in Starburst Galaxies on gamma-ray and neutrino observations. Mon. Not. R. Astron. Soc. 2022, 515, 5389–5399. [Google Scholar] [CrossRef]
- Phan, V.H.M.; Recchia, S.; Mertsch, P.; Gabici, S. Stochasticity of cosmic rays from supernova remnants and the ionization rates in molecular clouds. Phys. Rev. D 2023, 107, 123006. [Google Scholar] [CrossRef]
- Aharonian, F.; Peron, G.; Yang, R.; Casanova, S.; Zanin, R. Probing the sea of galactic cosmic rays with Fermi-LAT. Phys. Rev. D 2020, 101, 083018. [Google Scholar] [CrossRef]
- Ajello, M.; Di Mauro, M.; Paliya, V.S.; Garrappa, S. The γ-Ray Emission of Star-forming Galaxies. Astrophys. J. 2020, 894, 88. [Google Scholar] [CrossRef]
- Tibaldo, L.; Gaggero, D.; Martin, P. Gamma Rays as Probes of Cosmic-Ray Propagation and Interactions in Galaxies. Universe 2021, 7, 141. [Google Scholar] [CrossRef]
- McCheyne, I.; Oliver, S.; Sargent, M.; Kondapally, R.; Smith, D.; Haskell, P.; Duncan, K.; Best, P.N.; Sabater, J.; Bonato, M.; et al. The LOFAR Two-metre Sky Survey Deep fields. The mass dependence of the far-infrared radio correlation at 150 MHz using deblended Herschel fluxes. Astropart. Phys. 2022, 662, A100. [Google Scholar] [CrossRef]
- Yusef-Zadeh, F.; Wardle, M.; Arendt, R.; Hewitt, J.; Hu, Y.; Lazarian, A.; Kassim, N.E.; Hyman, S.; Heywood, I. Detection of large-scale synchrotron radiation from the molecular envelope of the Sgr B cloud complex at the Galactic centre. Mon. Not. R. Astron. Soc. 2024, 527, 1275–1282. [Google Scholar] [CrossRef]
- Indriolo, N.; Bergin, E.A.; Falgarone, E.; Godard, B.; Zwaan, M.A.; Neufeld, D.A.; Wolfire, M.G. Constraints on the Cosmic-Ray Ionization Rate in the z ∼ 2.3 Lensed Galaxies SMM J2135-0102 and SDP 17b from Observations of OH+ and H2O+. Astrophys. J. 2018, 865, 127. [Google Scholar] [CrossRef]
- Okon, H.; Imai, M.; Tanaka, T.; Uchida, H.; Tsuru, T.G. Probing cosmic rays with Fe Kα line structures generated by multiple ionization process. Pub. Astron. Soc. Jap. 2020, 72, L7. [Google Scholar] [CrossRef]
- Bialy, S. Cold clouds as cosmic-ray detectors. Commun. Phys. 2020, 3, 32. [Google Scholar] [CrossRef]
- Pineda, J.E.; Sipilä, O.; Segura-Cox, D.M.; Valdivia-Mena, M.T.; Neri, R.; Kuffmeier, M.; Ivlev, A.V.; Offner, S.S.R.; Maureira, M.J.; Caselli, P.; et al. Probing the physics of star formation (ProPStar): I. First resolved maps of the electron fraction and cosmic-ray ionization rate in NGC 1333. arXiv 2024, arXiv:2402.16202. [Google Scholar] [CrossRef]
- Kotera, K.; Olinto, A.V. The Astrophysics of Ultrahigh-Energy Cosmic Rays. Annu. Rev. Astron. Astrophys. 2011, 49, 119–153. [Google Scholar] [CrossRef]
- Grenier, I.A.; Black, J.H.; Strong, A.W. The Nine Lives of Cosmic Rays in Galaxies. Annu. Rev. Astron. Astrophys. 2015, 53, 199–246. [Google Scholar] [CrossRef]
- Ruszkowski, M.; Pfrommer, C. Cosmic ray feedback in galaxies and galaxy clusters. Astron. Astrophys. Rev. 2023, 31, 4. [Google Scholar] [CrossRef] [PubMed]
- Owen, E.R.; Wu, K.; Inoue, Y.; Yang, H.Y.K.; Mitchell, A.M.W. Cosmic Ray Processes in Galactic Ecosystems. Galaxies 2023, 11, 86. [Google Scholar] [CrossRef]
- Dermer, C.D.; Menon, G. High Energy Radiation from Black Holes: Gamma Rays, Cosmic Rays, and Neutrinos; Princeton University Press: Princeton, NJ, USA, 2009. [Google Scholar]
- Bethe, H.; Heitler, W. On the Stopping of Fast Particles and on the Creation of Positive Electrons. Proc. R. Soc. Lond. Ser. A 1934, 146, 83–112. [Google Scholar] [CrossRef]
- Blumenthal, G.R. Energy Loss of High-Energy Cosmic Rays in Pair-Producing Collisions with Ambient Photons. Phys. Rev. D 1970, 1, 1596–1602. [Google Scholar] [CrossRef]
- Klein, S.R. e+e− Pair production from 10 GeV to 10 ZeV. Radiat. Phys. Chem. 2006, 75, 696–711. [Google Scholar] [CrossRef][Green Version]
- Hooper, D.; Plant, K. Leptonic Model for Neutrino Emission from Active Galactic Nuclei. Phys. Rev. Lett. 2023, 131, 231001. [Google Scholar] [CrossRef] [PubMed]
- Almeida, S.P.; Rushbrooke, J.G.; Scharenguivel, J.H.; Behrens, M.; Blobel, V.; Borecka, I.; Dehne, H.C.; Dfaz, J.; Knies, G.; Schmitt, A.; et al. pp Interactions at 10 GeV/c. Phys. Rev. 1968, 174, 1638–1661. [Google Scholar] [CrossRef]
- Skorodko, T.; Bashkanov, M.; Bogoslawsky, D.; Calen, H.; Cappellaro, F.; Clement, H.; Demiroers, L.; Doroshkevich, E.; Duniec, D.; Ekström, C.; et al. Excitation of the Roper resonance in single- and double-pion production in nucleon-nucleon collisions🟉. Eur. Phys. J. A 2008, 35, 317–319. [Google Scholar] [CrossRef]
- Kafexhiu, E.; Aharonian, F.; Taylor, A.M.; Vila, G.S. Parametrization of gamma-ray production cross sections for p p interactions in a broad proton energy range from the kinematic threshold to PeV energies. Phys. Rev. D 2014, 90, 123014. [Google Scholar] [CrossRef]
- Galliano, F. Multi-Wavelength Study of Nearby Dwarf Galaxies: Properties of Low-Metallicity Interstellar Media. Ph.D. Thesis, CEA Saclay, Service d’Astrophysique, Gif-sur-Yvette, France, 2004. [Google Scholar]
- Schreiber, C.; Elbaz, D.; Pannella, M.; Ciesla, L.; Wang, T.; Franco, M. Dust temperature and mid-to-total infrared color distributions for star-forming galaxies at 0 < z < 4. Astropart. Phys. 2018, 609, A30. [Google Scholar] [CrossRef]
- Aragón-Calvo, M.A.; van de Weygaert, R.; Jones, B.J.T. Multiscale phenomenology of the cosmic web. Mon. Not. R. Astron. Soc. 2010, 408, 2163–2187. [Google Scholar] [CrossRef]
- Cautun, M.; van de Weygaert, R.; Jones, B.J.T.; Frenk, C.S. Evolution of the cosmic web. Mon. Not. R. Astron. Soc. 2014, 441, 2923–2973. [Google Scholar] [CrossRef]
- Zhu, W.; Zhang, F.; Feng, L.L. Profiles of Cosmic Filaments Since z = 4.0 in Cosmological Hydrodynamical Simulation. Astrophys. J. 2021, 920, 2. [Google Scholar] [CrossRef]
- Gouin, C.; Gallo, S.; Aghanim, N. Gas distribution from clusters to filaments in IllustrisTNG. Astropart. Phys. 2022, 664, A198. [Google Scholar] [CrossRef]
- Harikane, Y.; Ouchi, M.; Ono, Y.; Fujimoto, S.; Donevski, D.; Shibuya, T.; Faisst, A.L.; Goto, T.; Hatsukade, B.; Kashikawa, N.; et al. SILVERRUSH. VIII. Spectroscopic Identifications of Early Large-scale Structures with Protoclusters over 200 Mpc at z ∼ 6-7: Strong Associations of Dusty Star-forming Galaxies. Astrophys. J. 2019, 883, 142. [Google Scholar] [CrossRef]
- Di Mascolo, L.; Saro, A.; Mroczkowski, T.; Borgani, S.; Churazov, E.; Rasia, E.; Tozzi, P.; Dannerbauer, H.; Basu, K.; Carilli, C.L.; et al. Forming intracluster gas in a galaxy protocluster at a redshift of 2.16. Nature 2023, 615, 809–812. [Google Scholar] [CrossRef] [PubMed]
- Wen, Z.L.; Han, J.L.; Liu, F.S. A Catalog of 132,684 Clusters of Galaxies Identified from Sloan Digital Sky Survey III. Astrophys. J. Suppl. 2012, 199, 34. [Google Scholar] [CrossRef]
- Acciari, V.A. et al. [VERITAS Collaboration] A connection between star formation activity and cosmic rays in the starburst galaxy M82. Nature 2009, 462, 770–772. [Google Scholar] [CrossRef]
- Romero, G.E.; Müller, A.L.; Roth, M. Particle acceleration in the superwinds of starburst galaxies. Astropart. Phys. 2018, 616, A57. [Google Scholar] [CrossRef]
- Lunardini, C.; Vance, G.S.; Emig, K.L.; Windhorst, R.A. Are starburst galaxies a common source of high energy neutrinos and cosmic rays? J. Cosmol. Astropart. Phys. 2019, 2019, 073. [Google Scholar] [CrossRef]
- Hopkins, A.M.; Beacom, J.F. On the Normalization of the Cosmic Star Formation History. Astrophys. J. 2006, 651, 142–154. [Google Scholar] [CrossRef]
- Förster Schreiber, N.M.; Wuyts, S. Star-Forming Galaxies at Cosmic Noon. Annu. Rev. Astron. Astrophys. 2020, 58, 661–725. [Google Scholar] [CrossRef]
- Wolf, C.; Wisotzki, L.; Borch, A.; Dye, S.; Kleinheinrich, M.; Meisenheimer, K. The evolution of faint AGN between z ≃ 1 and z ≃ 5 from the COMBO-17 survey. Astropart. Phys. 2003, 408, 499–514. [Google Scholar] [CrossRef][Green Version]
- Gray, W.J.; Scannapieco, E. Thermal and Chemical Evolution of Collapsing Filaments. Astrophys. J. 2013, 768, 174. [Google Scholar] [CrossRef][Green Version]
- Bharadwaj, S.; Bhavsar, S.P.; Sheth, J.V. The Size of the Longest Filaments in the Universe. Astrophys. J. 2004, 606, 25–31. [Google Scholar] [CrossRef]
- Sarkar, P.; Pandey, B.; Sarkar, S. The maximum extent of the filaments and sheets in the cosmic web: An analysis of the SDSS DR17. Mon. Not. R. Astron. Soc. 2023, 519, 3227–3236. [Google Scholar] [CrossRef]
- Pandey, B.; Kulkarni, G.; Bharadwaj, S.; Souradeep, T. The size of the longest filament in the luminous red galaxy distribution. Mon. Not. R. Astron. Soc. 2011, 411, 332–336. [Google Scholar] [CrossRef]
- Wang, P.; Libeskind, N.I.; Tempel, E.; Kang, X.; Guo, Q. Possible observational evidence for cosmic filament spin. Nat. Astron. 2021, 5, 839–845. [Google Scholar] [CrossRef]
- Greisen, K. End to the Cosmic-Ray Spectrum? Phys. Rev. Lett. 1966, 16, 748–750. [Google Scholar] [CrossRef]
- Zatsepin, G.T.; Kuz’min, V.A. Upper Limit of the Spectrum of Cosmic Rays. Sov. J. Exp. Theor. Phys. Lett. 1966, 4, 78. [Google Scholar]
- Owen, E.R.; Wu, K.; Jin, X.; Surajbali, P.; Kataoka, N. Starburst and post-starburst high-redshift protogalaxies. The feedback impact of high energy cosmic rays. Astropart. Phys. 2019, 626, A85. [Google Scholar] [CrossRef]
- Aghanim, N. et al. [Planck Collaboration] Planck 2018 results. VI. Cosmological parameters. Astropart. Phys. 2020, 641, A6. [Google Scholar] [CrossRef]
- Hillas, A.M. The Origin of Ultra-High-Energy Cosmic Rays. Annu. Rev. Astron. Astrophys. 1984, 22, 425–444. [Google Scholar] [CrossRef]
- Hackstein, S.; Vazza, F.; Brüggen, M.; Sigl, G.; Dundovic, A. Propagation of ultrahigh energy cosmic rays in extragalactic magnetic fields: A view from cosmological simulations. Mon. Not. R. Astron. Soc. 2016, 462, 3660–3671. [Google Scholar] [CrossRef]
- Pshirkov, M.S.; Tinyakov, P.G.; Urban, F.R. New Limits on Extragalactic Magnetic Fields from Rotation Measures. Phys. Rev. Lett. 2016, 116, 191302. [Google Scholar] [CrossRef]
- Ackermann, M.; Ajello, M.; Baldini, L.; Ballet, J.; Barbiellini, G.; Bastieri, D.; Bellazzini, R.; Bissaldi, E.; Blandford, R.D.; Bloom, E.D.; et al. The Search for Spatial Extension in High-latitude Sources Detected by the Fermi Large Area Telescope. Astrophys. J. Suppl. 2018, 237, 32. [Google Scholar] [CrossRef]
- Vovk, I. Search of the pair echo signatures in the high-energy light curve of GRB190114C. Phys. Rev. D 2023, 107, 043020. [Google Scholar] [CrossRef]
- Durrer, R.; Neronov, A. Cosmological magnetic fields: Their generation, evolution and observation. Astron. Astrophys. Rev. 2013, 21, 62. [Google Scholar] [CrossRef]
- Han, J.L. Observing Interstellar and Intergalactic Magnetic Fields. Annu. Rev. Astron. Astrophys. 2017, 55, 111–157. [Google Scholar] [CrossRef]
- Xu, S.; Zhang, B. Probing the Intergalactic Turbulence with Fast Radio Bursts. Astrophys. J. Let. 2020, 898, L48. [Google Scholar] [CrossRef]
- Bolton, J.S.; Gaikwad, P.; Haehnelt, M.G.; Kim, T.S.; Nasir, F.; Puchwein, E.; Viel, M.; Wakker, B.P. Limits on non-canonical heating and turbulence in the intergalactic medium from the low redshift Lyman α forest. Mon. Not. R. Astron. Soc. 2022, 513, 864–885. [Google Scholar] [CrossRef]
- Carretti, E.; Vacca, V.; O’Sullivan, S.P.; Heald, G.H.; Horellou, C.; Röttgering, H.J.A.; Scaife, A.M.M.; Shimwell, T.W.; Shulevski, A.; Stuardi, C.; et al. Magnetic field strength in cosmic web filaments. Mon. Not. R. Astron. Soc. 2022, 512, 945–959. [Google Scholar] [CrossRef]
- Xu, S.; Yan, H. Cosmic-Ray Parallel and Perpendicular Transport in Turbulent Magnetic Fields. Astrophys. J. 2013, 779, 140. [Google Scholar] [CrossRef]
- Xu, W.; Fang, L.Z.; Wu, X.P. Virialization of Galaxy Clusters and Beyond. Astrophys. J. 2000, 532, 728–739. [Google Scholar] [CrossRef][Green Version]
- Tully, R.B.; Courtois, H.; Hoffman, Y.; Pomarède, D. The Laniakea supercluster of galaxies. Nature 2014, 513, 71–73. [Google Scholar] [CrossRef]
- Keppens, R.; Goedbloed, J.P. Stellar Winds, Dead Zones, and Coronal Mass Ejections. Astrophys. J. 2000, 530, 1036–1048. [Google Scholar] [CrossRef]
- Wiegelmann, T.; Petrie, G.J.D.; Riley, P. Coronal Magnetic Field Models. Space Sci, Rev. 2017, 210, 249–274. [Google Scholar] [CrossRef]
- Vazza, F.; Locatelli, N.; Rajpurohit, K.; Banfi, S.; Domínguez-Fernández, P.; Wittor, D.; Angelinelli, M.; Inchingolo, G.; Brienza, M.; Hackstein, S.; et al. Magnetogenesis and the Cosmic Web: A Joint Challenge for Radio Observations and Numerical Simulations. Galaxies 2021, 9, 109. [Google Scholar] [CrossRef]
- Govoni, F.; Feretti, L. Magnetic Fields in Clusters of Galaxies. Int. J. Mod. Phys. D 2004, 13, 1549–1594. [Google Scholar] [CrossRef]
- Beck, R. Magnetic fields in spiral galaxies. Astron. Astrophys. Rev. 2015, 24, 4. [Google Scholar] [CrossRef]
- Peretti, E.; Blasi, P.; Aharonian, F.; Morlino, G. Cosmic ray transport and radiative processes in nuclei of starburst galaxies. Mon. Not. R. Astron. Soc. 2019, 487, 168–180. [Google Scholar] [CrossRef]
- Beck, A.M.; Hanasz, M.; Lesch, H.; Remus, R.S.; Stasyszyn, F.A. On the magnetic fields in voids. Mon. Not. R. Astron. Soc. 2013, 429, L60–L64. [Google Scholar] [CrossRef]
- Samui, S.; Subramanian, K.; Srianand, R. Efficient cold outflows driven by cosmic rays in high-redshift galaxies and their global effects on the IGM. Mon. Not. R. Astron. Soc. 2018, 476, 1680–1695. [Google Scholar] [CrossRef]
- Bagchi, J.; Sankhyayan, S.; Sarkar, P.; Raychaudhury, S.; Jacob, J.; Dabhade, P. Saraswati: An Extremely Massive ∼200 Megaparsec Scale Supercluster. Astrophys. J. 2017, 844, 25. [Google Scholar] [CrossRef]
- Han, J.L.; Manchester, R.N.; Lyne, A.G.; Qiao, G.J.; van Straten, W. Pulsar Rotation Measures and the Large-Scale Structure of the Galactic Magnetic Field. Astrophys. J. 2006, 642, 868–881. [Google Scholar] [CrossRef]
- Rix, H.W.; Bovy, J. The Milky Way’s stellar disk. Mapping and modeling the Galactic disk. Astron. Astrophys. Rev. 2013, 21, 61. [Google Scholar] [CrossRef]
- Hayden, M.R.; Recio-Blanco, A.; de Laverny, P.; Mikolaitis, S.; Worley, C.C. The AMBRE project: The thick thin disk and thin thick disk of the Milky Way. Astropart. Phys. 2017, 608, L1. [Google Scholar] [CrossRef]
- Vietri, M. The Acceleration of Ultra–High-Energy Cosmic Rays in Gamma-Ray Bursts. Astrophys. J. 1995, 453, 883. [Google Scholar] [CrossRef]
- Abraham, J. et al. [Pierre Auger Collaboration] Correlation of the highest-energy cosmic rays with the positions of nearby active galactic nuclei. Astropart. Phys. 2008, 29, 188–204. [Google Scholar] [CrossRef]
- Anchordoqui, L.A.; Torres, D.F. Exploring the superwind mechanism for generating ultrahigh-energy cosmic rays using large-scale modeling of starbursts. Phys. Rev. D 2020, 102, 023034. [Google Scholar] [CrossRef]
- Mora, S.C.; Krause, M. Magnetic field structure and halo in NGC 4631. Astropart. Phys. 2013, 560, A42. [Google Scholar] [CrossRef][Green Version]
- Krause, M. Magnetic Fields and Star Formation in Spiral Galaxies. Rev. Mex. Astron. Astrofis. Conf. Ser. 2009, 36, 25–29. [Google Scholar]
- Pattle, K.; Gear, W.; Redman, M.; Smith, M.W.L.; Greaves, J. Submillimetre observations of the two-component magnetic field in M82. Mon. Not. R. Astron. Soc. 2021, 505, 684–688. [Google Scholar] [CrossRef]
- Karachentseva, V.E.; Karachentsev, I.D.; Kaisina, E.I.; Kaisin, S.S. The M 101 galaxy group as a node in a nearby cosmic filament. Astropart. Phys. 2023, 678, A16. [Google Scholar] [CrossRef]
- Kotera, K.; Lemoine, M. Optical depth of the Universe to ultrahigh energy cosmic ray scattering in the magnetized large scale structure. Phys. Rev. D 2008, 77, 123003. [Google Scholar] [CrossRef]
- Owen, E.R.; Han, Q.; Wu, K. Effects of large-scale magnetic fields on the observed composition of ultrahigh-energy cosmic rays. Phys. Rev. D 2023, 107, 103027. [Google Scholar] [CrossRef]
- Tempel, E.; Stoica, R.S.; Martínez, V.J.; Liivamägi, L.J.; Castellan, G.; Saar, E. Detecting filamentary pattern in the cosmic web: A catalogue of filaments for the SDSS. Mon. Not. R. Astron. Soc. 2014, 438, 3465–3482. [Google Scholar] [CrossRef]
- Bustard, C.; Zweibel, E.G. Cosmic-Ray Transport, Energy Loss, and Influence in the Multiphase Interstellar Medium. Astrophys. J. 2021, 913, 106. [Google Scholar] [CrossRef]
- Butsky, I.S.; Hopkins, P.F.; Kempski, P.; Ponnada, S.B.; Quataert, E.; Squire, J. Galactic cosmic-ray scattering due to intermittent structures. Mon. Not. R. Astron. Soc. 2024, 528, 4245–4254. [Google Scholar] [CrossRef]
- Tharakkal, D.; Snodin, A.P.; Sarson, G.R.; Shukurov, A. Cosmic rays and random magnetic traps. Physical Review E 2023, 107, 065206. [Google Scholar] [CrossRef] [PubMed]
- Le Vot, F.; Abad, E.; Yuste, S.B. Continuous-time random-walk model for anomalous diffusion in expanding media. Phys. Rev. E 2017, 96, 032117. [Google Scholar] [CrossRef] [PubMed]
- Libeskind, N.I.; van de Weygaert, R.; Cautun, M.; Falck, B.; Tempel, E.; Abel, T.; Alpaslan, M.; Aragón-Calvo, M.A.; Forero-Romero, J.E.; Gonzalez, R.; et al. Tracing the cosmic web. Mon. Not. R. Astron. Soc. 2018, 473, 1195–1217. [Google Scholar] [CrossRef]
- Dubkov, A.A.; Spagnolo, B.; Uchaikin, V.V. LÉVY Flight Superdiffusion: AN Introduction. Int. J. Bifurc. Chaos 2008, 18, 2649. [Google Scholar] [CrossRef]
- Humphries, N.E.; Sims, D.W. Optimal foraging strategies: Lévy walks balance searching and patch exploitation under a very broad range of conditions. J. Theor. Biol. 2014, 358, 179–193. [Google Scholar] [CrossRef]
- Dubkov, A.A.; Kharcheva, A.A. Features of barrier crossing event for Lévy flights. EPL (Europhys. Lett.) 2016, 113, 30009. [Google Scholar] [CrossRef]
- Garbaczewski, P. Killing (absorption) versus survival in random motion. Physical Review E 2017, 96, 032104. [Google Scholar] [CrossRef] [PubMed]
- Zhang, C.; Xu, S. Numerical Testing of Mirror Diffusion of Cosmic Rays. Astrophys. J. Let. 2023, 959, L8. [Google Scholar] [CrossRef]
- Aharonian, F.A. Proton-synchrotron radiation of large-scale jets in active galactic nuclei. Mon. Not. R. Astron. Soc. 2002, 332, 215–230. [Google Scholar] [CrossRef][Green Version]
- Gaisser, T.K.; Stanev, T.; Tilav, S. Cosmic ray energy spectrum from measurements of air showers. Front. Phys. 2013, 8, 748–758. [Google Scholar] [CrossRef]
- Alves Batista, R.; Biteau, J.; Bustamante, M.; Dolag, K.; Engel, R.; Fang, K.; Kampert, K.H.; Kostunin, D.; Mostafa, M.; Murase, K.; et al. Open Questions in Cosmic-Ray Research at Ultrahigh Energies. Front. Astron. Space Sci. 2019, 6, 23. [Google Scholar] [CrossRef]
- Aloisio, R.; Berezinsky, V.; Gazizov, A. Transition from galactic to extragalactic cosmic rays. Astropart. Phys. 2012, 39, 129–143. [Google Scholar] [CrossRef]
- Dolag, K.; Grasso, D.; Springel, V.; Tkachev, I. Constrained simulations of the magnetic field in the local Universe and the propagation of ultrahigh energy cosmic rays. J. Cosmol. Astropart. Phys. 2005, 2005, 009. [Google Scholar] [CrossRef]
- Madau, P.; Dickinson, M. Cosmic Star-Formation History. Annu. Rev. Astron. Astrophys. 2014, 52, 415–486. [Google Scholar] [CrossRef]
- Galárraga-Espinosa, D.; Langer, M.; Aghanim, N. Relative distribution of dark matter, gas, and stars around cosmic filaments in the IllustrisTNG simulation. Astropart. Phys. 2022, 661, A115. [Google Scholar] [CrossRef]
- Ricciardelli, E.; Quilis, V.; Planelles, S. The structure of cosmic voids in a ΛCDM Universe. Mon. Not. R. Astron. Soc. 2013, 434, 1192–1204. [Google Scholar] [CrossRef]
- Abdalla, H.; Böttcher, M. EBL Inhomogeneity and Hard-Spectrum Gamma-Ray Sources. Astrophys. J. 2017, 835, 237. [Google Scholar] [CrossRef]
- Adermann, E.; Elahi, P.J.; Lewis, G.F.; Power, C. Cosmic voids in evolving dark sector cosmologies: The high-redshift universe. Mon. Not. R. Astron. Soc. 2018, 479, 4861–4877. [Google Scholar] [CrossRef]
- Rowan-Robinson, M. Hyperluminous infrared galaxies. Mon. Not. R. Astron. Soc. 2000, 316, 885–900. [Google Scholar] [CrossRef]
- Moser, E.; Battaglia, N.; Nagai, D.; Lau, E.; Machado Poletti Valle, L.F.; Villaescusa-Navarro, F.; Amodeo, S.; Anglés-Alcázar, D.; Bryan, G.L.; Dave, R.; et al. The Circumgalactic Medium from the CAMELS Simulations: Forecasting Constraints on Feedback Processes from Future Sunyaev-Zeldovich Observations. Astrophys. J. 2022, 933, 133. [Google Scholar] [CrossRef]
- Laganá, T.F.; Martinet, N.; Durret, F.; Lima Neto, G.B.; Maughan, B.; Zhang, Y.Y. A comprehensive picture of baryons in groups and clusters of galaxies. Astropart. Phys. 2013, 555, A66. [Google Scholar] [CrossRef]
- Oppenheimer, B.D.; Babul, A.; Bahé, Y.; Butsky, I.S.; McCarthy, I.G. Simulating Groups and the IntraGroup Medium: The Surprisingly Complex and Rich Middle Ground between Clusters and Galaxies. Universe 2021, 7, 209. [Google Scholar] [CrossRef]
- Bitsakis, T.; Charmandaris, V.; da Cunha, E.; Díaz-Santos, T.; Le Floc’h, E.; Magdis, G. A mid-IR study of Hickson compact groups. II. Multiwavelength analysis of the complete GALEX-Spitzer sample. Astropart. Phys. 2011, 533, A142. [Google Scholar] [CrossRef]
- Cole, S.; Lacey, C. The structure of dark matter haloes in hierarchical clustering models. Mon. Not. R. Astron. Soc. 1996, 281, 716. [Google Scholar] [CrossRef]
- Longobardi, A.; Boselli, A.; Boissier, S.; Bianchi, S.; Andreani, P.; Sarpa, E.; Nanni, A.; Miville-Deschênes, M. The GALEX Ultraviolet Virgo Cluster Survey (GUViCS). VIII. Diffuse dust in the Virgo intra-cluster space. Astropart. Phys. 2020, 633, L7. [Google Scholar] [CrossRef]






| Interface Type | A | B | C |
|---|---|---|---|
| Void to filament | ✗ | ✓ | ✓ |
| Filament to void | ✓ | ? | ✗ |
| Cluster/supercluster to filament | ✗ | ? | ? |
| Filament to cluster/supercluster | ✗ | ✓ | ? |
| Galaxy to filament | ✗ | ✓ | ? |
| Filament to galaxy | ✗ | ?? | ? |
Disclaimer/Publisher’s Note: The statements, opinions and data contained in all publications are solely those of the individual author(s) and contributor(s) and not of MDPI and/or the editor(s). MDPI and/or the editor(s) disclaim responsibility for any injury to people or property resulting from any ideas, methods, instructions or products referred to in the content. |
© 2024 by the authors. Licensee MDPI, Basel, Switzerland. This article is an open access article distributed under the terms and conditions of the Creative Commons Attribution (CC BY) license (https://creativecommons.org/licenses/by/4.0/).
Share and Cite
Wu, K.; Owen, E.R.; Han, Q.; Inoue, Y.; Luo, L. Energetic Particles and High-Energy Processes in Cosmological Filaments and Their Astronomical Implications. Universe 2024, 10, 287. https://doi.org/10.3390/universe10070287
Wu K, Owen ER, Han Q, Inoue Y, Luo L. Energetic Particles and High-Energy Processes in Cosmological Filaments and Their Astronomical Implications. Universe. 2024; 10(7):287. https://doi.org/10.3390/universe10070287
Chicago/Turabian StyleWu, Kinwah, Ellis R. Owen, Qin Han, Yoshiyuki Inoue, and Lilian Luo. 2024. "Energetic Particles and High-Energy Processes in Cosmological Filaments and Their Astronomical Implications" Universe 10, no. 7: 287. https://doi.org/10.3390/universe10070287
APA StyleWu, K., Owen, E. R., Han, Q., Inoue, Y., & Luo, L. (2024). Energetic Particles and High-Energy Processes in Cosmological Filaments and Their Astronomical Implications. Universe, 10(7), 287. https://doi.org/10.3390/universe10070287

