X-ray Properties of Two Complementary Samples of Intermediate Seyfert Galaxies
Abstract
1. Introduction
2. Data Reduction and Analysis
2.1. Sample and Data Reduction
2.2. Data Analysis
3. Results
3.1. A(V) versus
3.2. [O III]/H versus

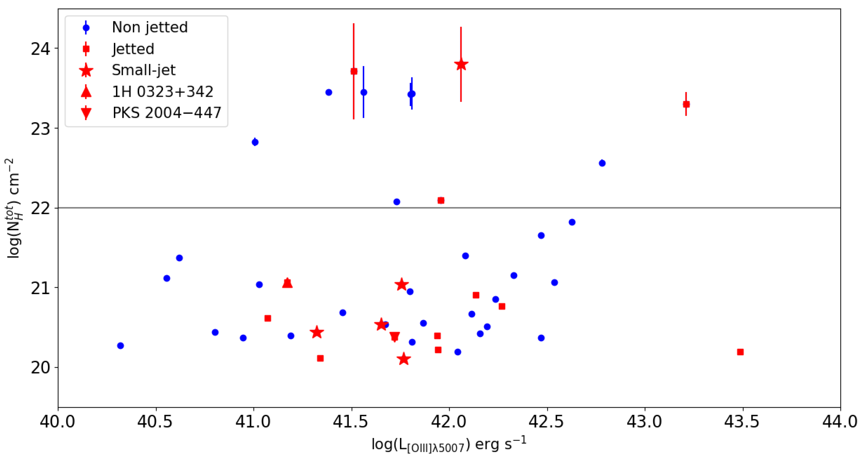
3.3. versus

3.4. Luminosities

4. Summary and Conclusions
Author Contributions
Funding
Data Availability Statement
Acknowledgments
Conflicts of Interest
Appendix A
| IAU Name | Alias | RA | DEC | z | Obs. ID(s) | Satellite | Exposure | Date | |
|---|---|---|---|---|---|---|---|---|---|
| [deg J2000] | [deg J2000] | [] | [ ] | [ks] | (YYYY-MM-DD) | ||||
| BASS | |||||||||
| J | 2MASX J | 27.34 | −50.25 | 2.99 | 1.75 | 00038018001 | Swift | 10.58 | 2008-09-11 |
| J | 2MASX J | 29.30 | 47.27 | 4.79 | 11.0 | 00040895001 | Swift | 6.94 | 2010-10-22 |
| 00040895002 | 1.61 | 2010-11-19 | |||||||
| J | Mrk 1018 | 31.57 | −0.29 | 4.27 | 2.48 | 00035166001 | Swift | 5.25 | 2005-08-05 |
| 00035776001 | 4.86 | 2008-06-11 | |||||||
| J | Mrk 590 | 33.64 | −767.00 | 2.63 | 2.77 | 00095662033 | Swift | 9.93 | 2021-01-10 |
| 00037590015 | 8.29 | 2016-12-13 | |||||||
| J | NGC 985 | 38.66 | −8.79 | 4.30 | 3.48 | 00036530005 | Swift | 9.58 | 2008-06-06 |
| 00096449002 | 7.99 | 2021-06-27 | |||||||
| J | 2MASX J | 39.70 | −40.64 | 6.13 | 2.06 | 00049419004 | Swift | 4.76 | 2016-03-27 |
| 00037344002 | 4.13 | 2008-03-27 | |||||||
| 00037344003 | 3.08 | 2008-04-04 | |||||||
| 00037344001 | 2.71 | 2008-03-13 | |||||||
| 00049419001 | 1.69 | 2013-03-29 | |||||||
| 00093020001 | 1.12 | 2017-04-13 | |||||||
| 00049419002 | 0.88 | 2013-12-27 | |||||||
| 00049419003 | 0.58 | 2015-09-06 | |||||||
| 00049419005 | 0.57 | 2016-04-01 | |||||||
| J | 2MASX J | 48.01 | 50.49 | 6.15 | 3.45 | 00038026002 | Swift | 6.83 | 2008-12-07 |
| 00038026001 | 1.62 | 2008-10-11 | |||||||
| J | 2MASX J | 52.72 | 5.64 | 4.58 | 1.16 | 00039819001 | Swift | 8.86 | 2009-07-04 |
| 00039819002 | 2.51 | 2009-07-15 | |||||||
| 00047706001 | 0.56 | 2013-01-03 | |||||||
| 00047706002 | 0.40 | 2013-01-09 | |||||||
| J | 2MASX J | 53.33 | 37.30 | 5.47 | 1.48 | 00040693001 | Swift | 6.41 | 2011-04-03 |
| 00031490001 | 5.02 | 2009-09-16 | |||||||
| 00047806001 | 1.47 | 2013-01-06 | |||||||
| J | 2MASX J | 65.92 | 4.13 | 4.62 | 12.6 | 13897 | Chandra | 20.06 | 2012-10-20 |
| J | LEDA 097068 | 75.74 | 23.00 | 5.81 | 23.4 | 00037117001 | Swift | 9.26 | 2007-10-17 |
| 00037117002 | 0.81 | 2008-02-17 | |||||||
| J | 2MASX J | 91.45 | −27.91 | 8.98 | 2.64 | 00090155001 | Swift | 3.89 | 2009-07-06 |
| 00040696003 | 3.43 | 2011-05-22 | |||||||
| 00040696001 | 1.95 | 2011-01-30 | |||||||
| 00047747001 | 1.31 | 2013-06-24 | |||||||
| J | 1RXS J | 113.29 | 45.92 | 14.15 | 7.19 | 00041758001 | Swift | 6.56 | 2010-12-19 |
| 00041758002 | 3.23 | 2010-12-28 | |||||||
| 00081466001 | 1.99 | 2015-12-26 | |||||||
| 00047790002 | 1.08 | 2015-05-25 | |||||||
| 00041758003 | 1.00 | 2010-12-29 | |||||||
| 00047790001 | 0.39 | 2015-05-24 | |||||||
| J | Mrk 9 | 114.24 | 58.77 | 3.99 | 4.83 | 00080535001 | Swift | 6.49 | 2013-10-29 |
| 00041759002 | 4.80 | 2010-12-17 | |||||||
| 00041759005 | 2.69 | 2021-09-22 | |||||||
| 00041759004 | 2.39 | 2010-12-23 | |||||||
| 00041759003 | 1.81 | 2010-12-19 | |||||||
| 00041759001 | 1.74 | 2010-12-07 | |||||||
| 07021915001 | 0.18 | 2019-10-01 | |||||||
| J | Mrk 79 | 115.64 | 49.81 | 2.21 | 5.43 | 00037589002 | Swift | 2.92 | 2009-02-26 |
| 00037589003 | 2.83 | 2021-09-22 | |||||||
| 00037589001 | 2.34 | 2009-02-19 | |||||||
| 00096121001 | 2.17 | 2021-09-01 | |||||||
| J | 2MASX J | 118.07 | 19.60 | 11.70 | 4.06 | 00039551001 | Swift | 5.10 | 2010-05-30 |
| 00038041001 | 4.20 | 2008-10-31 | |||||||
| 00038041004 | 2.91 | 2010-05-30 | |||||||
| 00038041003 | 1.74 | 2009-09-12 | |||||||
| 00038041002 | 1.37 | 2009-02-24 | |||||||
| J | 2MASX J | 120.86 | 8.70 | 4.68 | 2.87 | 00038042002 | Swift | 6.60 | 2010-09-15 |
| J | Mrk 1210 | 121.02 | 5.11 | 1.35 | 3.86 | 00037233002 | Swift | 9.61 | 2010-09-10 |
| 00080387001 | 6.00 | 2012-10-05 | |||||||
| 00035588001 | 2.33 | 2006-10-06 | |||||||
| 00035588003 | 2.32 | 2007-02-25 | |||||||
| 00035588002 | 1.52 | 2007-01-22 | |||||||
| 00037233001 | 1.26 | 2008-04-29 | |||||||
| J | 2MASX J | 127.43 | 41.91 | 12.61 | 3.57 | 00040937004 | Swift | 4.41 | 2011-01-17 |
| J | FBQS J | 128.11 | 37.13 | 9.20 | 3.27 | 00035634002 | Swift | 4.76 | 2007-02-17 |
| 00035634003 | 2.51 | 2007-02-24 | |||||||
| 00035634004 | 1.82 | 2007-05-01 | |||||||
| 00035483003 | 1.69 | 2021-02-14 | |||||||
| 00035483001 | 1.55 | 2006-01-08 | |||||||
| 00035483002 | 1.12 | 2011-09-09 | |||||||
| 00035483004 | 1.10 | 2021-03-14 | |||||||
| 00035634001 | 0.96 | 2007-01-08 | |||||||
| J | 4C +29.30 | 130.01 | 29.82 | 6.47 | 4.56 | 11688 | Chandra | 125.09 | 2010-02-19 |
| J | 2MASX J | 130.52 | 7.99 | 13.37 | 5.76 | 00040938004 | Swift | 7.13 | 2011-01-18 |
| 00040938002 | 1.14 | 2010-12-31 | |||||||
| 00040938003 | 0.98 | 2011-01-09 | |||||||
| 00040938001 | 0.50 | 2010-12-18 | |||||||
| J | 2MASX J | 130.94 | 35.83 | 5.39 | 2.98 | 18143 | Chandra | 25.07 | 2016-12-26 |
| J | 2MASX J | 136.15 | 55.60 | 3.72 | 2.32 | 00035260002 | Swift | 7.76 | 2006-01-06 |
| 00035260001 | 6.08 | 2005-12-15 | |||||||
| 07000264001 | 0.06 | 2016-01-13 | |||||||
| J | Mrk 704 | 139.61 | 16.31 | 2.95 | 2.74 | 00080414001 | Swift | 6.60 | 2014-12-28 |
| 00035590003 | 5.60 | 2006-09-28 | |||||||
| 00035590002 | 2.26 | 2006-06-14 | |||||||
| 00031965001 | 1.85 | 2011-04-23 | |||||||
| 00031965003 | 1.85 | 2022-04-23 | |||||||
| 00035590005 | 1.75 | 2007-01-21 | |||||||
| 00015881001 | 1.60 | 2023-02-20 | |||||||
| 00031965002 | 1.14 | 2011-04-23 | |||||||
| 00080414002 | 1.05 | 2021-03-17 | |||||||
| 00035590001 | 0.67 | 2006-01-06 | |||||||
| J | MCG | 140.93 | 22.91 | 3.30 | 3.60 | 00035263001 | Swift | 9.20 | 2005-12-10 |
| 00080416001 | 3.95 | 2012-12-26 | |||||||
| 00089106003 | 1.93 | 2021-03-20 | |||||||
| 00089106001 | 1.92 | 2020-06-05 | |||||||
| 00089106004 | 1.68 | 2021-05-30 | |||||||
| 00089106002 | 1.66 | 2020-10-20 | |||||||
| 00035263002 | 1.02 | 2019-12-25 | |||||||
| J | Mrk 110 | 141.30 | 52.29 | 3.52 | 1.27 | 00037561001 | Swift | 10.42 | 2010-01-06 |
| 03111716005 | 4.68 | 2022-09-15 | |||||||
| 00092396006 | 4.12 | 2016-04-29 | |||||||
| 00092396007 | 4.10 | 2016-04-30 | |||||||
| J | Mrk 705 | 141.51 | 12.73 | 2.86 | 3.43 | 00090998001 | Swift | 1.77 | 2011-05-24 |
| 00085341001 | 1.01 | 2015-01-02 | |||||||
| 00085341004 | 0.91 | 2015-04-05 | |||||||
| 00085341002 | 0.90 | 2015-01-17 | |||||||
| J | 2MASX J | 143.86 | 26.29 | 12.21 | 1.56 | 00040947001 | Swift | 5.82 | 2011-01-02 |
| 00040947003 | 3.24 | 2011-01-12 | |||||||
| 00040947002 | 1.57 | 2011-01-11 | |||||||
| J | CGCG | 145.52 | 23.69 | 2.13 | 2.42 | 00090166001 | Swift | 5.37 | 2009-11-25 |
| J | 3C 227 | 146.94 | 7.42 | 8.60 | 2.00 | 00080695001 | Swift | 3.17 | 2014-02-20 |
| 00080695002 | 2.40 | 2014-02-21 | |||||||
| 00080695003 | 2.08 | 2014-02-26 | |||||||
| J | NGC 3080 | 149.98 | 13.04 | 3.54 | 2.25 | 00081059001 | Swift | 6.42 | 2017-10-21 |
| 00037365004 | 4.32 | 2008-10-10 | |||||||
| 00037365003 | 3.60 | 2008-10-09 | |||||||
| 00037365001 | 1.49 | 2008-06-14 | |||||||
| 00037365002 | 0.97 | 2008-06-30 | |||||||
| J | 3C 234.0 | 150.46 | 28.79 | 18.48 | 1.62 | 0864430101 | XMM | 95.20 | 2021-05-22 |
| J | NGC 3227 | 155.88 | 19.87 | 0.33 | 1.86 | 00092212006 | Swift | 4.16 | 2015-05-09 |
| 00092212011 | 3.96 | 2015-10-25 | |||||||
| 00092212013 | 3.91 | 2015-11-08 | |||||||
| 00092212016 | 3.87 | 2015-11-29 | |||||||
| 00092212014 | 3.68 | 2015-11-15 | |||||||
| J | SDSS J | 160.86 | 11.09 | 4.77 | 2.38 | 00040954001 | Swift | 9.95 | 2010-10-29 |
| 00081072001 | 5.68 | 2016-06-14 | |||||||
| 00088253001 | 4.79 | 2019-05-06 | |||||||
| J | UGC 08327 | 198.82 | 44.41 | 3.55 | 1.68 | 00037093001 | Swift | 11.49 | 2007-06-03 |
| 00080109001 | 6.64 | 2013-04-21 | |||||||
| 00037093003 | 2.45 | 2007-09-20 | |||||||
| 00080109002 | 2.01 | 2013-11-18 | |||||||
| 00080109003 | 1.94 | 2013-11-23 | |||||||
| 00088636002 | 1.62 | 2017-11-19 | |||||||
| 00037093002 | 1.23 | 2007-09-19 | |||||||
| 00088636001 | 0.31 | 2017-11-15 | |||||||
| J | CGCG | 221.40 | 27.03 | 2.96 | 2.37 | 0865140901 | XMM | 27.00 | 2021-01-19 |
| J | Mrk 1393 | 227.22 | −197.00 | 5.44 | 4.64 | 00030309001 | Swift | 9.76 | 2005-09-10 |
| 00088254003 | 7.11 | 2019-03-02 | |||||||
| 00088254001 | 6.04 | 2018-03-27 | |||||||
| 00088254002 | 5.76 | 2018-05-13 | |||||||
| 4FGL | |||||||||
| J | 3C 17 | 9.59 | −2.13 | 22.04 | 2.48 | 9292 | Chandra | 8.04 | 2008-02-02 |
| J | 1H 0323+342 | 51.17 | 34.18 | 6.29 | 11.7 | 00035630002 | Swift | 8.96 | 2006-07-09 |
| 00035372001 | 8.36 | 2006-07-06 | |||||||
| 00035630003 | 6.87 | 2006-07-14 | |||||||
| J | GB6 J | 144.30 | 50.15 | 27.55 | 1.31 | 00040543003 | Swift | 2.99 | 2012-09-06 |
| 00040543002 | 1.08 | 2011-03-30 | |||||||
| 00040543001 | 0.85 | 2011-03-30 | |||||||
| J | 3C 232 | 149.59 | 32.40 | 53.06 | 1.57 | 00010070001 | Swift | 1.96 | 2017-04-29 |
| J | 3C 303 | 220.76 | 52.03 | 14.12 | 1.66 | 1623 | Chandra | 15.10 | 2001-03-23 |
| J | PKS 1514+00 | 229.17 | 0.25 | 5.26 | 4.17 | 00088374001 | Swift | 6.53 | 2020-03-15 |
| 00036340002 | 6.28 | 2007-06-22 | |||||||
| 00036340003 | 4.59 | 2008-01-06 | |||||||
| 00036340006 | 2.41 | 2018-12-23 | |||||||
| 00036340004 | 2.38 | 2010-09-25 | |||||||
| 00036340007 | 1.25 | 2018-12-26 | |||||||
| J | PKS | 301.98 | −44.58 | 24.00 | 2.97 | 00032492015 | Swift | 12.26 | 2013-11-20 |
| 00032492006 | 11.62 | 2013-07-14 | |||||||
| 00032492005 | 11.45 | 2013-07-07 | |||||||
| 00032492017 | 9.70 | 2014-03-16 | |||||||
| 00032492007 | 8.42 | 2013-09-27 | |||||||
| J | PMN J | 319.57 | 0.22 | 46.28 | 5.87 | 00091075002 | Swift | 3.58 | 2011-08-11 |
| 00040665003 | 2.69 | 2012-08-26 | |||||||
| 00091075006 | 2.14 | 2011-08-22 | |||||||
| 00091075004 | 1.83 | 2011-08-16 | |||||||
| 00040665004 | 1.56 | 2012-09-02 | |||||||
| 00091075001 | 0.76 | 2011-05-29 | |||||||
| 00040665001 | 0.57 | 2011-08-27 | |||||||
| 00091075003 | 0.48 | 2011-08-15 | |||||||
| 00091075005 | 0.47 | 2011-08-17 | |||||||
| 00040665002 | 0.31 | 2011-08-30 | |||||||
| J | TXS | 319.72 | −7.54 | 26.01 | 7.99 | 00011263004 | Swift | 3.79 | 2019-08-05 |
| 00011263005 | 3.79 | 2019-09-05 | |||||||
| 00011263003 | 3.37 | 2019-07-05 | |||||||
| 00011263006 | 2.71 | 2019-10-11 | |||||||
| 00011263001 | 2.55 | 2019-05-05 | |||||||
| 00011263002 | 2.18 | 2019-06-05 | |||||||
| 00011263008 | 1.27 | 2019-10-21 | |||||||
| 00011263009 | 1.21 | 2019-10-22 | |||||||
| IAU Name | dof | Model | |||||||||
|---|---|---|---|---|---|---|---|---|---|---|---|
| [keV] | [keV] | [keV] | [keV] | erg | erg | ||||||
| BASS | |||||||||||
| J | - | - | - | - | - | 33/38 | ABS+PL | 394.05 | 0.99 | ||
| J | - | - | - | 113/104 | PL | 14.57 | 9.24 | 0.0 | |||
| J | - | - | - | - | - | 198/184 | PL | 21.07 | 8.88 | 0.0 | |
| J | - | - | - | - | - | 104/111 | PL | 7.48 | 1.13 | 0.0 | |
| J | - | - | - | 293/262 | ABS+BPL | 25.99 | 0.15 | ||||
| J | - | - | - | - | - | 181/180 | PL | 10.94 | 9.35 | 0.0 | |
| J | - | - | - | - | - | 52/48 | ABS+PL | 9.11 | 0.11 | ||
| J | - | - | - | - | - | 62/59 | PL | 6.31 | 3.38 | 0.0 | |
| J | - | - | - | - | - | 87/90 | ABS+PL | 11.48 | 9.26 | ||
| J | 1.90 | - | - | - | - | 61/33 | OBS | 1.51 | 8.28 | ||
| J | - | - | - | - | - | 149/149 | PL | 19.71 | 0.18 | 0.0 | |
| J | - | - | - | - | - | 81/88 | PL | 10.85 | 0.20 | 0.0 | |
| J | - | - | - | - | - | 91/78 | PL | 5.19 | 0.32 | 0.0 | |
| J | - | - | - | - | - | 231/170 | PL | 10.06 | 3.77 | 0.0 | |
| J | - | - | - | - | 240/212 | OBS | 30.96 | 3.92 | |||
| J | 1.90 | - | - | - | - | 32/34 | OBS | 6.02 | 0.33 | ||
| J | - | - | - | - | - | 62/54 | ABS+PL | 7.85 | 4.31 | ||
| J | - | - | - | 34/41 | OBS+FE | 7.54 | 1.50 | ||||
| J | - | - | - | - | - | 57/74 | ABS+PL | 11.09 | 0.46 | ||
| J | - | - | - | - | - | 85/76 | PL | 6.71 | 0.14 | 0.0 | |
| J | - | - | - | - | 46/29 | OBS | 1.26 | 9.12 | |||
| J | - | - | - | - | - | 24/36 | ABS+PL | 6.97 | 0.36 | ||
| J | 1.90 | - | - | - | - | 44/36 | OBS | 1.52 | 5.38 | ||
| J | - | - | - | - | - | 97/75 | BPL | 7.40 | 2.20 | 0.0 | |
| J | - | - | - | 251/215 | ABS+BPL | 14.54 | 3.14 | ||||
| J | - | - | - | 363/297 | BPL | 26.24 | 6.59 | 0.0 | |||
| J | - | - | - | 397/373 | BPL | 60.55 | 0.16 | 0.0 | |||
| J | - | - | - | - | - | 103/82 | PL | 22.47 | 4.37 | 0.0 | |
| J | 1.79 | - | - | - | - | - | 84/98 | PL | 9.65 | 0.35 | 0.0 |
| J | - | - | - | - | - | 30/19 | ABS+BPL | 4.23 | 1.17 | ||
| J | - | - | - | - | - | 64/39 | OBS | 11.81 | 0.25 | ||
| J | - | - | - | - | - | 74/64 | PL | 5.08 | 1.41 | 0.0 | |
| J | - | 483/369 | 2APEC+FE | 1.37 | 0.22 | ||||||
| J | - | - | - | 398/364 | BPL | 38.11 | 11.25 | 0.0 | |||
| J | - | - | - | - | - | 118/137 | ABS+PL | 9.00 | 4.67 | ||
| J | - | - | - | - | 54/66 | OBS | 7.77 | 5.11 | |||
| J | - | - | - | - | 173/125 | OBS | 1.20 | 1.03 | |||
| J | - | - | - | 167/168 | BPL | 10.81 | 7.48 | 0.0 | |||
| 4FGL | |||||||||||
| J | - | - | - | 77/66 | BPL | 2.36 | 0.28 | 0.0 | |||
| J | - | - | - | 261/231 | PL | 15.76 | 0.28 | 0.0 | |||
| J | - | - | - | - | - | 8/11 | PL | 3.02 | 0.61 | 0.0 | |
| J | - | - | - | - | - | 13/22 | PL | 0.78 | 0.71 | 0.0 | |
| J | - | - | - | - | - | 148/121 | PL | 2.11 | 9.43 | 0.0 | |
| J | - | - | - | - | - | 43/65 | PL | 2.78 | 1.77 | 0.0 | |
| J | - | - | - | - | - | 46/54 | PL | 1.37 | 0.20 | 0.0 | |
| J | - | - | - | - | - | 5/3 | PL | 0.43 | 24.74 | 0.0 | |
| J | - | - | - | - | - | 11/8 | PL | 0.57 | 0.11 | 0.0 | |
| Abbreviation | Extended Name | Model |
|---|---|---|
| PL | Power-law | tbabs*zpo |
| BPL | Broken power-law | tbabs*bknpo |
| ABS | Intrinsic absorption | tbabs*ztbabs*zpo |
| tbabs*ztbabs*bknpo | ||
| OBS | Obscured-type emission | tbabs*(zpo+ztbabs*zpo) |
| FE | Iron line | (One of the previous)+zgauss |
| APEC | Collisionally ionized diffuse gas | (One of the previous)+apec |
Appendix B

| 1 | https://www.cosmos.esa.int/web/xmm-newton/sas-threads (accessed on 28 January 2024) |
| 2 | https://heasarc.gsfc.nasa.gov/cgi-bin/Tools/w3nh/w3nh.pl (accessed on 28 January 2024) |
| 3 | https://heasarc.gsfc.nasa.gov/xanadu/xspec/manual/Models.html (accessed on 28 January 2024) |
References
- Osterbrock, D.E.; Koski, A.T. NGC 4151 and Markarian 6—Two intermediate–type Seyfert galaxies. Mon. Not. R. Astron. Soc. 1976, 176, 61P–66P. [Google Scholar] [CrossRef]
- Osterbrock, D.E. Spectrophotometry of Seyfert 1 galaxies. Astrophys. J. 1977, 215, 733–745. [Google Scholar] [CrossRef]
- Keel, W. Inclination effects on the recognition of Seyfert galaxies. Astronom. J. 1980, 85, 198–203. [Google Scholar] [CrossRef]
- Antonucci, R. Unified models for active galactic nuclei and quasars. Astron. Astrophys. 1993, 31, 473–521. [Google Scholar] [CrossRef]
- Urry, M.C.; Padovani, P. Unified Schemes for Radio–Loud Active Galactic Nuclei. Publ. Astron. Soc. Pac. 1995, 107, 83. [Google Scholar] [CrossRef]
- Dalla Barba, B.; Berton, M.; Foschini, L.; La Mura, G.; Vietri, A.; Ciroi, S. Optical Properties of Two Complementary Samples of Intermediate Seyfert Galaxies. Physics 2023, 5, 1061–1080. [Google Scholar] [CrossRef]
- Järvelä, E.; Berton, M.; Ciroi, S.; Congiu, E.; Lähteenmäki, A.; Di Mille, F. SDSS J211852.96–073227.5: The first non-local, interacting, late–type intermediate Seyfert galaxy with relativistic jets. Astron. Astrophys. 2020, 636, L12. [Google Scholar] [CrossRef]
- Foschini, L.; Lister, M.L.; Andernach, H.; Ciroi, S.; Marziani, P.; Antón, S.; Berton, M.; Dalla Bontà, E.; Järvelä, E.; Marchã, M.J.M.; et al. A New sample of gamma–ray emitting jetted active galactic nuclei. Universe 2022, 8, 587. [Google Scholar] [CrossRef]
- Heckmann, T.M.; Ptak, A.; Hornschemeier, A.; Kauffmann, G. The relationship of hard X-ray and optical line emission in low–redshift active galactic nuclei. Astrophys. J. 2005, 634, 161–168. [Google Scholar] [CrossRef]
- Risaliti, G.; Salvati, M.; Marconi, A. [O III] equivalent width and orientation effects in quasars. Mon. Not. R. Astron. Soc. 2011, 411, 2223–2229. [Google Scholar] [CrossRef]
- Marin, F. Are there reliable methods to estimate the nuclear orientation of Seyfert galaxies? Mon. Not. R. Astron. Soc. 2016, 460, 3679–3705. [Google Scholar] [CrossRef]
- Haas, M.; Siebenmorgen, R.; Schulz, B.; Krügel, E.; Chini, R. Spitzer IRS spectroscopy of 3CR radio galaxies and quasars: Testing the unified schemes. Astron. Astrophys. 2005, 442, L39–L43. [Google Scholar] [CrossRef][Green Version]
- Baum, S.A.; Gallimore, J.F.; O’Dea, C.P.; Buchanan, C.L.; Noel-Storr, J.; Axon, D.J.; Robinson, A.; Elitzur, M.; Dorn, M.; Staudaher, S. Infrared diagnostics for the extended 12 μm Sample of Seyferts. Astrophys. J. 2010, 710, 289–308. [Google Scholar] [CrossRef][Green Version]
- Binette, L.; Raga, A.C.; Calvet, N.; Canto, J. Balmer decrements in Seyfert 2 galaxies. Publ. Astron. Soc. Pac. 1990, 102, 723–725. [Google Scholar] [CrossRef]
- Nagao, T.; Murayama, T.; Taniguchi, Y. Seyfert-type dependences of narrow emission-line ratios and physical properties of high-ionization nuclear emission-line regions in Seyfert galaxies. Publ. Astron. Soc. Jpn. 2001, 53, 629–645. [Google Scholar] [CrossRef]
- Schnorr-Müller, A.; Davies, R.I.; Korista, K.T.; Burtscher, L.; Rosario, D.; Storchi-Bergmann, T.; Contursi, A.; Genzel, R.; Graciá-Carpio, J.; Hicks, E.K.S.; et al. Constraints on the broad-line region properties and extinction in local Seyferts. Mon. Not. R. Astron. Soc. 2016, 462, 3570–3590. [Google Scholar] [CrossRef]
- Whittle, M. Virial and Jet-induced Velocities in Seyfert Galaxies. I. A Compilation of Narrow Line Region and Host Galaxy Properties. Astrophys. J. Suppl. 1992, 79, 49. [Google Scholar] [CrossRef]
- Netzer, H. Active Galactic Nuclei. In Saas-Fee Advanced Course 20; Springer: Berlin/Heidelberg, Germany, 1990; p. 57. [Google Scholar]
- Riess, A.G.; Yuan, W.; Macri, L.M.; Scolnic, D.; Brout, D.; Casertano, S.; Jones, D.O.; Murakami, Y.; Anand, G.S.; Breuval, L.; et al. A comprehensive measurement of the local value of the Hubble constant with 1 km s−1 Mpc−1 uncertainty from the Hubble Space Telescope and the SH0ES team. Astrophys. J. Lett. 2022, 934, L7. [Google Scholar] [CrossRef]
- Ben Bekhti, N. et al. [HI4PI Collaboration] HI4PI: A full-sky H I survey based on EBHIS and GASS. Astron. Astrophys. 2016, 594, A116. [Google Scholar]
- Zhao, X.; Marchesi, S.; Ajello, M.; Cole, D.; Hu, Z.; Silver, R.; Torres-Albà, N. The properties of the AGN torus as revealed from a set of unbiased NuSTAR observations. Astron. Astrophys. 2021, 650, A57. [Google Scholar] [CrossRef]
- Piconcelli, E.; Bianchi, S.; Miniutti, G.; Fiore, F.; Guainazzi, M.; Jimenez-Bailon, E.; Matt, G. Heavy absorption and soft X-ray emission lines in the XMM-Newton spectrum of the type 2 radio-loud quasar 3C 234. Astron. Astrophys. 2008, 480, 671–676. [Google Scholar] [CrossRef]
- Stern, J.; Laor, A. Type 1 AGN at low z - II. The relative strength of narrow lines and the nature of intermediate type AGN. Mon. Not. R. Astron. Soc. 2012, 426, 2703–2718. [Google Scholar] [CrossRef]
- Panessa, F.; Bassani, L.; Cappi, M.; Dadina, M.; Barcons, X.; Carrera, F.J.; Ho, L.C.; Iwasawa, K. On the X-ray, optical emission line and black hole mass properties of local Seyfert galaxies. Astron. Astrophys. 2006, 455, 173–185. [Google Scholar] [CrossRef]
- Cardelli, J.A.; Clayton, G.C.; Mathis, J.S. The Relationship between Infrared, Optical, and Ultraviolet Extinction. Astrophys. J. 1989, 345, 245. [Google Scholar] [CrossRef]
- Predehl, P.; Schmitt, J.H.M.M. X-raying the interstellar medium: ROSAT observations of dust scattering halos. Astron. Astrophys. 1995, 293, 889–905. [Google Scholar]
- Nowak, M.A.; Neilsen, J.; Markoff, S.B.; Baganoff, F.K.; Porquet, D.; Grosso, N.; Levin, Y.; Houck, J.; Eckart, A.; Falcke, H.; et al. Chandra/HETGS Observations of the Brightest Flare Seen from Sgr A*. Astrophys. J. 2012, 759, 9. [Google Scholar] [CrossRef]
- Burtscher, L.; Davies, R.I.; Graciá-Carpio, J.; Koss, M.J.; Lin, M.-Y.; Lutz, D.; Nandra, P.; Netzer, H.; Orban de Xivry, G.; Ricci, C.; et al. On the relation of optical obscuration and X-ray absorption in Seyfert galaxies. Astron. Astrophys. 2016, 586, 7. [Google Scholar] [CrossRef]
- Merloni, A.; Bongiorno, A.; Brusa, M.; Iwasawa, K.; Mainieri, V.; Magnelli, B.; Salvato, M.; Berta, S.; Cappelluti, N.; Comastri, A.; et al. The incidence of obscuration in active galactic nuclei. Mon. Not. R. Astron. Soc. 2014, 437, 3550–3567. [Google Scholar] [CrossRef]
- Risaliti, G.; Maiolino, R.; Salvati, M. The Distribution of Absorbing Column Densities among Seyfert 2 Galaxies. Astrophys. J. 1999, 522, 157–164. [Google Scholar] [CrossRef]
- Smith, K.L.; Mushotzky, R.F.; Vogel, S.; Shimizu, T.T.; Miller, N. Radio Properties of the BAT AGNs: The FIR-radio Relation, the Fundamental Plane, and the Main Sequence of Star Formation. Astrophys. J. 2016, 832, 15. [Google Scholar] [CrossRef]
- Berton, M.; Järvelä, E. Peaked sources and narrow-line Seyfert 1s: A love story. Astron. Nachrichten 2021, 342, 1066–1070. [Google Scholar] [CrossRef]
- Komossa, S.; Grupe, D. Extreme accretion events: TDEs and changing-look AGN. Astron. Nachrichten 2023, 344, e20230015. [Google Scholar] [CrossRef]

Disclaimer/Publisher’s Note: The statements, opinions and data contained in all publications are solely those of the individual author(s) and contributor(s) and not of MDPI and/or the editor(s). MDPI and/or the editor(s) disclaim responsibility for any injury to people or property resulting from any ideas, methods, instructions or products referred to in the content. |
© 2024 by the authors. Licensee MDPI, Basel, Switzerland. This article is an open access article distributed under the terms and conditions of the Creative Commons Attribution (CC BY) license (https://creativecommons.org/licenses/by/4.0/).
Share and Cite
Dalla Barba, B.; Foschini, L.; Berton, M.; Crepaldi, L.; Vietri, A. X-ray Properties of Two Complementary Samples of Intermediate Seyfert Galaxies. Universe 2024, 10, 69. https://doi.org/10.3390/universe10020069
Dalla Barba B, Foschini L, Berton M, Crepaldi L, Vietri A. X-ray Properties of Two Complementary Samples of Intermediate Seyfert Galaxies. Universe. 2024; 10(2):69. https://doi.org/10.3390/universe10020069
Chicago/Turabian StyleDalla Barba, Benedetta, Luigi Foschini, Marco Berton, Luca Crepaldi, and Amelia Vietri. 2024. "X-ray Properties of Two Complementary Samples of Intermediate Seyfert Galaxies" Universe 10, no. 2: 69. https://doi.org/10.3390/universe10020069
APA StyleDalla Barba, B., Foschini, L., Berton, M., Crepaldi, L., & Vietri, A. (2024). X-ray Properties of Two Complementary Samples of Intermediate Seyfert Galaxies. Universe, 10(2), 69. https://doi.org/10.3390/universe10020069

