Contributions of the Swift/UV Optical Telescope to the Study of Short Gamma-ray Bursts
Abstract
1. Introduction
2. Methods and Results of the Study of Short GRB
2.1. The Swift UV/Optical Telescope
2.2. Short GRBs Observations and Their Physical Parameters
2.3. Short GRB Host Galaxies
2.4. Opening Angle of the Ejecta Jet
2.5. sGRB 170817A—GW 170817—AT2017gfo
2.6. Other Short GRBs Hosting Kilonovae
2.7. GRB 060614: Short GRBs Masqueraded as Long GRBs?
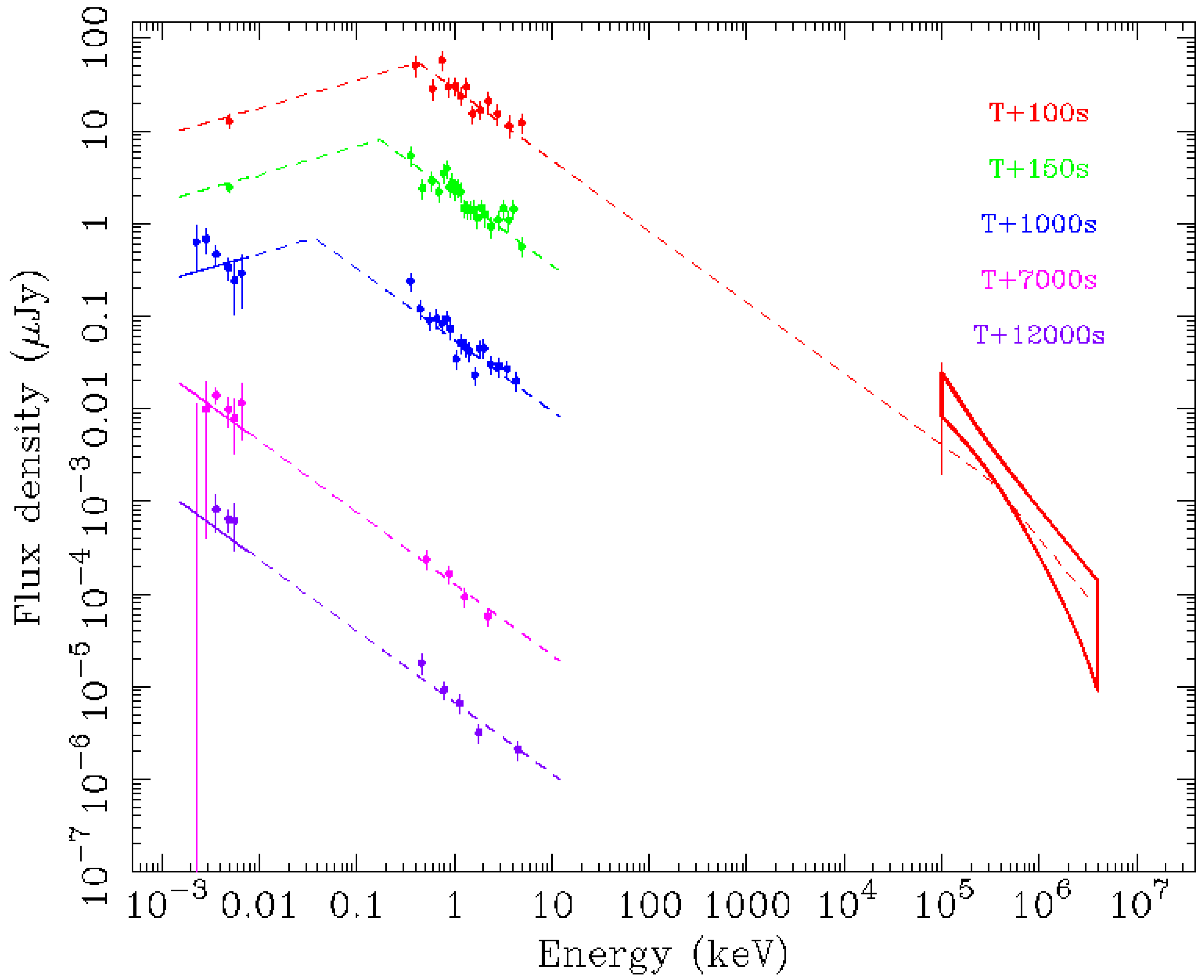
2.8. sGRB 090510: The Only Short GRB That Triggered Both Swift and Fermi
3. Discussion
3.1. General Properties of Short GRB in the Swift Era
3.2. Host Galaxies of Short GRBs
3.3. Kilonovae: AT2017gfo and Other Sources
3.4. The ”Progenitor” of GRBs: The Real Distinction between Long and Short GRBs
3.5. sGRB090510: One of the Brightest Short GRBs, Which Triggered both Swift and Fermi
3.6. Is the Central Engine Always the Same?
4. Conclusions
Funding
Acknowledgments
Conflicts of Interest
Abbreviations
| 2MASS | Two micron all sky survey |
| BAT | Burst alert telescope |
| BH | Black hole |
| CCD | Charged-coupled device |
| CGRO | Compton Gamma-ray Observatory |
| EM | Electromagnetic |
| F15 | Fong et al. (2015) |
| F22 | Fong et al. (2022) |
| FS | Forward shock |
| FWHM | Full width at half maximum |
| Gaia DR | Gaia data release |
| GBM | Gamma-ray burst monitor |
| GeV | Giga electron volt |
| GW | Gravitational wave |
| GRB | Gamma-ray burst |
| sGRB | short Gamma-ray burst |
| HMNS | Hyper-massive neutron star |
| HST | Hubble Space Telescope |
| IGM | Intergalactic medium |
| IRAF | Image reduction and analysis facility |
| IS | Internal shock |
| KN | Kilonova |
| JWST | James Webb Space Telescope |
| LAT | Large area telescope |
| N22 | Nugent et al. (2022) |
| NS | Neutron star |
| Pan-STARRS | Panoramic survey telescope & rapid response system |
| (Beppo)SAX | Satellite per astronomia X |
| SDSS | Sloan digital sky survey |
| SED | Spectral energy distribution |
| SExtractor | Source-extractor |
| SFMS | Star-forming main sequence |
| SFR | Star formation rate |
| UVOT | UV/Optical Telescope |
| UVOIR | UV optical infrared |
| XRT | X-ray telescope |
| Z | Metallicity |
| S/N | Signal/Noise ratio |
| 1 | The duration is measured as , defined as the time interval to collect 90% of the source counts by the detector |
| 2 | https://heasarc.gsfc.nasa.gov/lheasoft/ftools/caldb/help/uvot.html, (accessed on 30 August 2017) |
References
- Klebesadel, R.W.; Strong, I.B.; Olson, R.A. Observations of Gamma-ray Bursts of Cosmic Origin. Astrophys. J. 1973, 182, L85. [Google Scholar] [CrossRef]
- Gehrels, N.; Fichtel, C.E.; Fishman, G.J.; Kurfess, J.D.; Schönfelder, V. The Compton Gamma-ray Observatory. Sci. Am. 1993, 269, 68. [Google Scholar] [CrossRef]
- Kouveliotou, C.; Meegan, C.A.; Fishman, G.J.; Bhat, N.P.; Briggs, M.S.; Koshut, T.M.; Paciesas, W.S.; Pendleton, G.N. Identification of two classes of Gamma-ray Bursts. Astrophys. J. Lett. 1993, 413, 101. [Google Scholar] [CrossRef]
- Bromberg, O.; Nakar, E.; Piran, T. An observational imprint of the collapsar model of long gamma-ray bursts. Astrophys. J. 2012, 749, 110. [Google Scholar] [CrossRef]
- Piro, L. SAX, the wide band mission for X-ray astronomy. MmSAI 1996, 67, 575. [Google Scholar] [CrossRef]
- Costa, E.E.; Frontera, F.; Heise, J.; Feroci, M.A.; In’t Zand, J.; Fiore, F.; Cinti, M.N.; Dal Fiume, D.; Nicastro, L.; Orlandini, M.; et al. Discovery of an X-ray afterglow associated with the γ-ray burst of 28 February 1997. Nature 1997, 387, 783. [Google Scholar] [CrossRef]
- De Pasquale, M.; Piro, L.; Gendre, B.; Amati, L.; Antonelli, L.A.; Costa, E.; Feroci, M.; Frontera, F.; Nicastro, L.; Soffitta, P. The BeppoSAX catalog of GRB X-ray afterglow observations. Astron. Astrophys. 2006, 455, 813. [Google Scholar] [CrossRef]
- Fruchter, A.S.; Levan, A.J.; Strolger, L.; Vreeswijk, P.M.; Thorsett, S.E.; Bersier, D.; Burud, I.; Castro Cerón, J.M.; Castro-Tirado, A.J.; Conselice, C.; et al. γ-ray bursts and core-collapse supernovae have different environments. Nature 2006, 441, 463. [Google Scholar] [CrossRef]
- Galama, T.J.; Vreeswijk, P.M.; Van Paradijs, J.; Kouveliotou, C.; Augusteijn, T.; Böhnhardt, H.; Brewer, J.P.; Doublier, V.; Gonzalez, J.F.; Leibundgut, B.; et al. An unusual supernova in the error box of the γ-ray burst of 25 April 1998. Nature 1998, 395, 670. [Google Scholar] [CrossRef]
- Hjorth, J.; Bloom, J.S. The GRB-SN Connection. In Gamma-ray Bursts; Kouveliotou, C., Wijers, R.A.M., Woosley, S., Eds.; Cambridge University Press: Cambridge, UK, 2012; pp. 169–190. [Google Scholar]
- Bloom, J.S.; Kulkarni, S.R.; Djorgovski, S.G. The Observed Offset Distribution of Gamma-ray Bursts from Their Host Galaxies: A Robust Clue to the Nature of the Progenitors. Astron. J. 2002, 123, 111. [Google Scholar] [CrossRef]
- Eichler, D.; Livio, M.; Piran, T.; Schramm, D.N. Nucleosynthesis, neutrino bursts and γ-rays from coalescing neutron stars. Nature 1989, 340, 126. [Google Scholar] [CrossRef]
- Narayan, R.; Paczyński, B.; Piran, T. Gamma-ray Bursts as the Death Throes of Massive Binary Stars. Astrophys. J. 1992, 395, L83. [Google Scholar] [CrossRef]
- Gehrels, N.; Chincarini, G.; Giommi, P.E.; Mason, K.O.; Nousek, J.A.; Wells, A.A.; White, N.E.; Barthelmy, S.D.; Burrows, D.N.; Cominsky, L.R.; et al. The Swift Gamma-ray Burst Mission. Astrophys. J. 2004, 611, 1005. [Google Scholar] [CrossRef]
- Barthelmy, S.D.; Barbier, L.M.; Cummings, J.R.; Fenimore, E.E.; Gehrels, N.; Hullinger, D.; Krimm, H.A.; Markwardt, C.B.; Palmer, D.M.; Parsons, A.; et al. The Burst Alert Telescope (BAT) on the SWIFT Midex Mission. Space Sci. Rev. 2005, 120, 143. [Google Scholar] [CrossRef]
- Burrows, D.N.; Hill, J.E.; Nousek, J.; Kennea, J.A.; Wells, A.; Osborne, J.P.; Abbey, A.F.; Beardmore, A.; Mukerjee, K.; Short, A.D.T.; et al. G The Swift X-ray Telescope. (XRT). Space Sci. Rev. 2005, 120, 165. [Google Scholar] [CrossRef]
- Roming, P.W.; Kennedy, T.E.; Mason, K.O.; Nousek, J.A.; Ahr, L.; Bingham, R.E.; Broos, P.S.; Carter, M.J.; Hancock, B.K.; Huckle, H.E.; et al. The Swift Ultra-Violet/Optical Telescope. Space Sci. Rev. 2005, 120, 95. [Google Scholar] [CrossRef]
- Still, M.; Roming, P.W.A.; Mason, K.O.; Blustin, A.; Boyd, P.; Breeveld, A.; Brown, P.; De Pasquale, M.; Gronwall, C.; Holland, S.T.; et al. Swift UVOT Detection of GRB 050318. Astrophys. J. 2005, 635, 1187. [Google Scholar] [CrossRef]
- Schady, P.; Pagani, C. Swift/UVOT Observations of GRB 060313. GCN 2005, 4877. [Google Scholar]
- Kann, D.A.; Klose, S.; Zhang, B.; Covino, S.; Butler, N.R.; Malesani, D.; Nakar, E.; Wilson, A.C.; Antonelli, L.A.; Chincarini, G.; et al. The Afterglows of Swift-era Gamma-ray Bursts. II. Type I GRB versus Type II GRB Optical Afterglows. Astrophys. J. 2011, 734, 96. [Google Scholar] [CrossRef]
- Sari, R.; Piran, T.; Narayan, R. Spectra and Light Curves of Gamma-ray Burst Afterglows. Astrophys. J. Lett. 1998, 497, 17. [Google Scholar] [CrossRef]
- Gehrels, N.; Sarazin, C.L.; O’brien, P.T.; Zhang, B.; Barbier, L.; Barthelmy, S.D.; Blustin, A.; Burrows, D.N.; Cannizzo, J.; Cummings, J.R.; et al. A short γ-ray burst apparently associated with an elliptical galaxy at redshift z = 0.225. Nature 2005, 7060, 851. [Google Scholar] [CrossRef] [PubMed]
- Berger, E. Short-Duration Gamma-ray Bursts. Annu. Rev. Astron. Astrophys. 2014, 52, 43. [Google Scholar] [CrossRef]
- Fong, W.F.; Berger, E.; Margutti, R.; Zauderer, B.A. A Decade of Short-duration Gamma-ray Burst Broadband Afterglows: Energetics, Circumburst Densities, and Jet Opening Angles. Astrophys. J. 2015, 815, 102. [Google Scholar] [CrossRef]
- Fong, W.; Nugent, A.E.; Dong, Y.; Berger, E.; Paterson, K.; Chornock, R.; Levan, A.; Blanchard, P.; Alexander, K.D.; Andrews, J.; et al. Short GRB Host Galaxies. I. Photometric and Spectroscopic Catalogs, Host Associations, and Galactocentric Offsets. Astrophys. J. 2022, 940, 56. [Google Scholar] [CrossRef]
- Hjorth, J.; Sollerman, J.; Gorosabel, J.; Granot, J.; Klose, S.; Kouveliotou, C.; Melinder, J.; Ramirez-Ruiz, E.; Starling, R.; Thomsen, B.; et al. GRB 050509B: Constraints on Short Gamma-ray Burst Models. Astrophys. J. Lett. 2005, 630, 117. [Google Scholar] [CrossRef]
- Fritschel, P. et al. [LIGO Scientific Collaboration] Advanced LIGO. arXiv 2014, arXiv:1411.4547. [Google Scholar]
- Meegan, C.; Lichti, G.; Bhat, P.N.; Bissaldi, E.; Briggs, M.S.; Connaughton, V.; Diehl, R.; Fishman, G.; Greiner, J.; Hoover, A.S.; et al. The Fermi Gamma-ray Burst Monitor. Astrophys. J. Lett. 2003, 585, 885. [Google Scholar]
- Abbott, B.P. et al. [LIGO Scientific Collaboration and Virgo Collaboration, Fermi Gamma-ray Burst Monitor, and INTEGRAL] Gravitational Waves and Gamma-rays from a Binary Neutron Star Merger: GW170817 and GRB 170817A. Astrophys. J. Lett. 2017, 848, 13. [Google Scholar] [CrossRef]
- Drout, M.R.; Piro, A.L.; Shappee, B.J.; Kilpatrick, C.D.; Simon, J.D.; Contreras, C.; Coulter, D.A.; Foley, R.J.; Siebert, M.R.; Morrell, N.; et al. Light curves of the neutron star merger GW170817/SSS17a: Implications for r-process nucleosynthesis. Science 2017, 358, 1570. [Google Scholar] [CrossRef]
- Evans, P.A.; Cenko, S.B.; Kennea, J.A.; Emery, S.W.K.; Kuin, N.P.M.; Korobkin, O.; Wollaeger, R.T.; Fryer, C.L.; Madsen, K.K.; Harrison, F.A.; et al. Swift and NuSTAR observations of GW170817: Detection of a blue kilonova. Science 2017, 358, 1565. [Google Scholar] [CrossRef]
- Li, L.X.; Paczyński, B. Transient Events from Neutron Star Mergers. Astrophys. J. Lett. 1998, 507, 59. [Google Scholar] [CrossRef]
- Pian, E.; D’Avanzo, P.; Benetti, S.; Branchesi, M.; Brocato, E.; Campana, S.; Cappellaro, E.; Covino, S.; d’Elia, V.; Fynbo, J.P.U.; et al. Spectroscopic identification of r-process nucleosynthesis in a double neutron-star merger. Nature 2017, 551, 67. [Google Scholar] [CrossRef] [PubMed]
- Ghirlanda, G.; Salafia, O.S.; Paragi, Z.; Giroletti, M.; Yang, J.; Marcote, B.; Blanchard, J.; Agudo, I.; An, T.; Bernardini, M.G.; et al. Compact radio emission indicates a structured jet was produced by a binary neutron star merger. Science 2019, 363, 968. [Google Scholar] [CrossRef]
- Mooley, K.P.; Deller, A.T.; Gottlieb, O.; Nakar, E.; Hallinan, G.; Bourke, S.; Frail, D.A.; Horesh, A.; Corsi, A.; Hotokezaka, K. Superluminal motion of a relativistic jet in the neutron-star merger GW170817. Nature 2018, 2018 561, 355. [Google Scholar] [CrossRef]
- Troja, E.; King, A.R.; O’Brien, P.T.; Lyons, N.; Cusumano, G. Different progenitors of short hard Gamma-ray bursts. Mon. Not. R. Astron. Soc. 2008, 385, L10. [Google Scholar] [CrossRef]
- Gompertz, B.P. The Progenitors of Extended Emission Gamma-ray Bursts. Ph.D. Thesis, University of Leicester, Leicester, UK, 2015. [Google Scholar]
- Zhang, B.; Zhang, B.B.; Liang, E.W.; Gehrels, N.; Burrows, D.N.; Mészáros, P. Making a Short Gamma-ray Burst from a Long One: Implications for the Nature of GRB 060614. Astrophys. J. 2007, 655, L25. [Google Scholar] [CrossRef]
- Poole, T.S.; Breeveld, A.A.; Page, M.J.; Landsman, W.; Holland, S.T.; Roming, P.; Kuin, N.P.M.; Brown, P.J.; Gronwall, C.; Hunsberger, S.; et al. Photometric calibration of the Swift ultraviolet/optical telescope. Mon. Not. R. Astron. Soc. 2008, 383, 627. [Google Scholar] [CrossRef]
- Breeveld, A.A.; Curran, P.A.; Hoversten, E.A.; Koch, S.; Landsman, W.; Marshall, F.E.; Page, M.J.; Poole, T.S.; Roming, P.; Smith, P.J.; et al. Further calibration of the Swift ultraviolet/optical telescope. Mon. Not. R. Astron. Soc. 2010, 406, 1687. [Google Scholar] [CrossRef]
- Roming, P.W.A.; Koch, T.S.; Oates, S.R.; Porterfield, B.L.; Vanden Berk, D.E.; Boyd, P.T.; Holland, S.T.; Hoversten, E.A.; Immler, S.; Marshall, F.E.; et al. The First Swift Ultraviolet/Optical Telescope GRB Afterglow Catalog. Astrophys. J. 2009, 690, 163. [Google Scholar] [CrossRef]
- Roming, P.W.; Koch, T.S.; Oates, S.R.; Porterfield, B.L.; Bayless, A.J.; Breeveld, A.A.; Gronwall, C.; Kuin, N.P.M.; Page, M.J.; De Pasquale, M.; et al. A Large Catalog of Homogeneous Ultra-Violet/Optical GRB Afterglows: Temporal and Spectral Evolution. ApJS 2017, 228, 13. [Google Scholar] [CrossRef]
- Gomboc, A.; Kobayashi, S.; Mundell, C.G.; Guidorzi, C.; Melandri, A.; Steele, I.A.; Smith, R.J.; Bersier, D.; Carter, D.; Bode, M.F. Optical flashes, reverse shocks and magnetization. AIP Conf. Proc. 2009, 1133, 145. [Google Scholar]
- Granot, J.; Sari, R. The Shape of Spectral Breaks in Gamma-ray Bur st Afterglows. Astrophys. J. 2002, 568, 820. [Google Scholar] [CrossRef]
- GAIA Collaboration. Summary of the contents and survey properties. Astron. Astrophys. 2018, 616, 1. [Google Scholar] [CrossRef]
- Magnier, E.A.; Schlafly, E.F.; Finkbeiner, D.P.; Tonry, J.L.; Goldman, B.; Röser, S.; Schilbach, E.; Casertano, S.; Chambers, K.C.; Flewelling, H.A.; et al. Pan-STARRS Photometric and Astrometric Calibration. ApJS 2020, 251, 6. [Google Scholar] [CrossRef]
- The Alfred, P. Sloan Foundation. 2014. Available online: https://skyserver.sdss.org/dr12/en/credits/creditshome.aspx (accessed on 30 August 2017).
- Skrutskie, M.F.; Cutri, R.M.; Stiening, R.; Weinberg, M.D.; Schneider, S.; Carpenter, J.M.; Beichman, C.; Capps, R.; Chester, T.; Elias, J.; et al. The Two Micron All Sky Survey (2MASS). Astrophys. J. 2006, 131, 1163. [Google Scholar] [CrossRef]
- Bertin, E.; Arnouts, S. SExtractor: Software for source extraction. Astron. Astrophys. Supp. 1996, 317, 393. [Google Scholar] [CrossRef]
- Tody, D. The IRAF Data Reduction and Analysis System. SPIE VI 1986, 627, 733. [Google Scholar]
- Tody, D. IRAF in the Nineties. ASPC 1993, 52, 173. [Google Scholar]
- Blanchard, P.K.; Berger, E.; Fong, W.F. The Offset and Host Light Distributions of Long Gamma-ray Bursts: A New View From HST Observations of Swift Bursts. Astrophys. J. 2016, 817, 144. [Google Scholar] [CrossRef]
- Nugent, A.E.; Fong, W.F.; Dong, Y.; Leja, J.; Berger, E.; Zevin, M.; Chornock, R.; Cobb, B.E.; Kelley, L.Z.; Kilpatrick, C.D.; et al. Short GRB Host Galaxies. II. A Legacy Sample of Redshifts, Stellar Population Properties, and Implications for Their Neutron Star Merger Origins. Astrophys. J. 2022, 940, 57. [Google Scholar] [CrossRef]
- Leja, J.; Johnson, B.D.; Conroy, C.; Van Dokkum, P.G.; Byler, N. Deriving Physical Properties from Broadband Photometry with PROSPECTOR: Description of the Model and a Demonstration of its Accuracy Using 129 Galaxies in the Local Universe. Astrophys. J. 2019, 837, 170. [Google Scholar] [CrossRef]
- Leja, J.; Speagle, J.S.; Johnson, B.D.; Conroy, C.; Van Dokkum, P.; Franx, M. A New Census of the 0.2 < z < 3.0 Universe. I. The Stellar Mass Function. Astrophys. J. Lett. 2020, 893, 111. [Google Scholar]
- Popesso, P.; Concas, A.; Cresci, G.; Belli, S.; Rodighiero, G.; Inami, H.; Dickinson, M.; Ilbert, O.; Pannella, M.; Elbaz, D. The main sequence of star-forming galaxies across cosmic times. Mon. Not. R. Astron. Soc. 2023, 519, 1526. [Google Scholar] [CrossRef]
- Nugent, A.E.; Fong, W.F.; Castrejon, C.; Leja, J.; Zevin, M.; Ji, A.P. A Population of Short-duration Gamma-ray Bursts with Dwarf Host Galaxies. Astrophys. J. 2023, arXiv:2310.12202v1. [Google Scholar]
- Sari, R.; Piran, T.; Halpern, J.P. Jets in Gamma-ray Bursts. Astrophys. J. Lett. 1999, 519, 17. [Google Scholar] [CrossRef]
- Racusin, J.L.; Liang, E.W.; Burrows, D.N.; Falcone, A.; Sakamoto, T.; Zhang, B.B.; Zhang, B.; Evans, P.; Osborne, J. Jet Breaks and Energetics of Swift Gamma-ray Burst X-Ray Afterglows. Astrophys. J. 2009, 698, 43. [Google Scholar] [CrossRef]
- Nathanail, A. Binary Neutron Star and Short Gamma-ray Burst Simulations in Light of GW170817. Galaxies 2018, 6, 119. [Google Scholar] [CrossRef]
- Watson, D.; Hansen, C.J.; Selsing, J.; Koch, A.; Malesani, D.B.; Andersen, A.C.; Fynbo, J.P.; Arcones, A.; Bauswein, A.; Covino, S.; et al. Identification of strontium in the merger of two neutron stars. Nature 2019, 574, 497. [Google Scholar] [CrossRef]
- Pian, E. Mergers of binary neutron star systems: A multi-messenger revolution. Front. Astron. Space Sci. 2020, 7, 108. [Google Scholar]
- Levan, A.; Gompertz, B.P. JWST detection of heavy neutron capture elements in a compact object merger. arXiv 2023, arXiv:2307.02098. [Google Scholar]
- Rosswog, S.; Sollerman, J.; Feindt, U.; Goobar, A.; Korobkin, O.; Wollaeger, R.; Fremling, C.; Kasliwal, M.M. The first direct double neutron star merger detection: Implications for cosmic nucleosynthesis. Astron. Astrophys. 2018, 615, 132. [Google Scholar] [CrossRef]
- Troja, E.; Piro, L.; van Eerten, H.; Wollaeger, R.T.; Im, M.; Fox, O.D.; Butler, N.R.; Cenko, S.B.; Sakamoto, T.; Fryer, C.L.; et al. The X-ray counterpart to the gravitational-wave event GW170817. Nature 2017, 551, 71. [Google Scholar] [CrossRef]
- Hallinan, G.; Corsi, A.; Mooley, K.P.; Hotokezaka, K.; Nakar, E.; Kasliwal, M.M.; Kaplan, D.L.; Frail, D.A.; Myers, S.T.; Murphy, T.; et al. A radio counterpart to a neutron star merger. Science 2017, 358, 1579. [Google Scholar] [CrossRef] [PubMed]
- Troja, E.; Piro, L.; Ryan, G.; van Eerten, H.; Ricci, R.; Wieringa, M.H.; Lotti, S.; Sakamoto, T.; Cenko, S.B. The outflow structure of GW170817 from late-time broad-band observations. Mon. Not. R. Astron. Soc. 2018, 478L, 18. [Google Scholar] [CrossRef]
- Layman, J.D.; Lamb, G.P.; Levan, A.J.; Mandel, I.; Tanvir, N.R.; Kobayashi, S.; Gompertz, B.; Hjorth, J.; Fruchter, A.S.; Kangas, T.; et al. The optical afterglow of the short Gamma-ray burst associated with GW170817. NatAs 2018, 2, 751. [Google Scholar] [CrossRef]
- Margutti, R.; Alexander, K.D.; Xie, X.; Sironi, L.; Metzger, B.D.; Kathirgamaraju, A.; Fong, W.; Blanchard, P.K.; Berger, E.; MacFadyen, A.; et al. The Binary Neutron Star Event LIGO/Virgo GW170817 160 Days after Merger: Synchrotron Emission across the Electromagnetic Spectrum. Astrophys. J. Lett. 2018, 856, 18. [Google Scholar] [CrossRef]
- Troja, E.; Van Eerten, H.; Ryan, G.; Ricci, R.; Burgess, J.M.; Wieringa, M.; Piro, L.; Cenko, S.B.; Sakamoto, T. A year in the life of GW 170817: The rise and fall of a structured jet from a binary neutron star merger. Mon. Not. R. Astron. Soc. 2019, 489, 1919. [Google Scholar]
- Makhathini, S.; Mooley, K.P.; Brightman, M.; Hotokezaka, K.; Nayana, A.J.; Intema, H.T.; Dobie, D.; Lenc, E.; Perley, D.A.; Fremling, C.; et al. The Panchromatic Afterglow of GW170817: The Full Uniform Data Set, Modeling, Comparison with Previous Results, and Implications. Astrophys. J. 2021, 992, 154. [Google Scholar] [CrossRef]
- Granot, J.; Panaitescu, A.; Kumar, P.; Woosley, S.E. Off-Axis Afterglow Emission from Jetted Gamma-ray Bursts. Astrophys. J. Lett. 2002, 570, 61. [Google Scholar] [CrossRef]
- Foreman-Mackey, D.; Conley, A.; Meierjurgen, F.W.; Hogg, D.W.; Lang, D.; Marshall, P.; Price-Whelan, A.; Sanders, J.; Zuntz, J. emcee: The MCMC Hammer. Publ. Astron. Soc. Pac. 2013, 125, 306. [Google Scholar] [CrossRef]
- Lazzati, D. Short Duration Gamma-ray Bursts and Their Outflows in Light of GW170817. Front. Astron. Space Sci. 2020, 7, 78L. [Google Scholar] [CrossRef]
- Troja, E. Eighteen Years of Kilonova Discoveries with Swift. Universe 2023, 9, 245. [Google Scholar] [CrossRef]
- Rossi, A.; Stratta, G.; Maiorano, E.; Spighi, D.; Masetti, N.; Palazzi, E.; Gardini, A.; Melandri, A.; Nicastro, L.; Pian, E. A comparison between short GRB afterglows and kilonova AT2017gfo: Shedding light on kilonovae properties. Mon. Not. R. Astron. Soc. 2020, 493, 3379. [Google Scholar] [CrossRef]
- Gompertz, B.P.; Levan, A.J.; Tanvir, N.R.; Hjorth, J.; Covino, S.; Evans, P.A.; Fruchter, A.S.; González-Fernández, C.; Jin, Z.P.; Lyman, J.D.; et al. The Diversity of Kilonova Emission in Short Gamma-ray Bursts. Astrophys. J. 2018, 860, 62. [Google Scholar] [CrossRef]
- Jin, Z.-P.; Kenta, H.; Xiang, L.; Masaomi, T.; Paolo, D.’A.; Fan, Y.Z.; Stefano, C.; Wei, D.M.; Tsvi, P. The Macronova in GRB 050709 and the GRB-macronova connection. Nat. Comm. 2016, 7, 12898. [Google Scholar] [CrossRef] [PubMed]
- Troja, E.; Castro-Tirado, A.J.; Becerra, G.J.; Hu, Y.; Ryan, G.S.; Cenko, S.B.; Ricci, R.; Novara, G.; Sánchez-Rámirez, R.; Acosta-Pulido, J.A.; et al. Erratum: The afterglow and kilonova of the short GRB 160821B. Mon. Not. R. Astron. Soc. 2019, 490, 4367. [Google Scholar] [CrossRef]
- Mangano, V.; Holland, S.T.; Malesani, D.; Troja, E.; Chincarini, G.; Zhang, B.; La Parola, V.; Brown, P.J.; Burrows, D.N.; Campana, S.; et al. Swift observations of GRB 060614: An anomalous burst with a well behaved afterglow. Astron. Astrophys. 2007, 470, 105. [Google Scholar] [CrossRef]
- Yang, B.; Jin, Z.P.; Li, X.; Stefano, C.; Zheng, X.Z.; Kenta, H.; Fan, Y.Z.; Tsvi, P.; Wei, D.M. A possible macronova in the late afterglow of the long-short burst GRB 060614. Nat. Comm. 2015, 6, 7323. [Google Scholar] [CrossRef]
- Jin, Z.-P.; Li, X.; Cano, Z.; Covino, S.; Fan, Y.-Z.; Wei, D.-M. The Light Curve of the Macronova Associated with the Long-Short Burst GRB 060614. Astrophys. J. Lett. 2015, 811, 22. [Google Scholar] [CrossRef]
- Zhang, B.; Fan, Y.Z.; Dyks, J.; Kobayashi, S.; Mészáros, P.; Burrows, D.N.; Nousek, J.A.; Gehrels, N. Physical Processes Shaping Gamma-ray Burst X-ray Afterglow Light Curves: Theoretical Implications from the Swift X-ray Telescope Observations. Astrophys. J. 2006, 642, 354. [Google Scholar] [CrossRef]
- Sari, R.; Mészáros, P. Impulsive and Varying Injection in Gamma-ray Burst Afterglows. Astrophys. J. 2000, 535, L33. [Google Scholar] [CrossRef] [PubMed]
- De Pasquale, M.; Schady, P.; Kuin, N.P.M.; Page, M.J.; Curran, P.A.; Zane, S.; Oates, S.R.; Holland, S.T.; Breeveld, A.A.; Hoversten, E.A.; et al. Swift and Fermi Observations of the Early Afterglow of the Short Gamma-ray Burst 090510. Astrophys. J. Lett. 2010, 709, 146. [Google Scholar] [CrossRef]
- Abdo, A.A.; Ackermann, M.; Asano, K.; Atwood, W.B.; Axelsson, M.; Baldini, L.; Ballet, J.; Band, D.L.; Barbiellini, G.; Bastieri, D.; et al. Fermi Observations of High-energy Gamma-ray Emission from GRB 080825C. Astrophys. J. 2009, 707, 580. [Google Scholar] [CrossRef]
- Evans, P.A.; Beardmore, A.P.; Page, K.L.; Tyler, L.G.; Osborne, J.P.; Goad, M.R.; O’Brien, P.T.; Vetere, L.; Racusin, J.; Morris, D.; et al. An online repository of Swift/XRT light curves of γ-ray bursts. Astron. Astrophys. 2007, 469, 379. [Google Scholar] [CrossRef]
- Evans, P.A.; Beardmore, A.P.; Page, K.L.; Osborne, J.P.; O’Brien, P.T.; Willingale, R.; Starling, R.L.C.; Burrows, D.N.; Godet, O.; Vetere, L.; et al. Methods and results of an automatic analysis of a complete sample of Swift-XRT observations of GRBs. Astron. Astrophys. 2009, 397, 1177. [Google Scholar]
- Oates, S.R.; Page, M.J.; Schady, P.; De Pasquale, M.; Koch, T.S.; Breeveld, A.A.; Brown, P.J.; Chester, M.M.; Holland, S.T.; Hoversten, E.A.; et al. A statistical study of Gamma-ray burst afterglows measured by the Swift Ultraviolet Optical Telescope. Mon. Not. R. Astron. Soc. 2009, 395, 490. [Google Scholar] [CrossRef]
- Panaitescu, A.; Kumar, P. Analytic Light Curves of Gamma-ray Burst Afterglows: Homogeneous versus Wind External Media. Mon. Not. R. Astron. Soc. 2020, 543, 66. [Google Scholar] [CrossRef]
- Sari, R. Hydrodynamics of Gamma-ray Burst Afterglow. Astrophys. J. 1997, 489, L37. [Google Scholar] [CrossRef]
- Guetta, D.; Granot, J. High-Energy Emission from the Prompt Gamma-ray Burst. Astrophys. J. Lett. 2003, 585, 885. [Google Scholar] [CrossRef]
- Nicuesa-Guelbenzu, A.; Klose, S.; Krühler, T.; Greiner, J.; Rossi, A.; Kann, D.A.; Olivares, F.; Rau, A.; Afonso, P.M.J.; Elliott, J.; et al. The late-time afterglow of the extremely energetic short burst GRB 090510 revisited. Astron. Astrophys. 2012, 538, 7. [Google Scholar] [CrossRef]
- Rosswog, S.; Ramirez-Ruiz, E.; Davies, M.B. High-resolution calculation of merging neutron stars—III. Gamma-ray bursts. Mon. Not. R. Astron. Soc. 2003, 345, 1077. [Google Scholar] [CrossRef]
- Blandford, R.D.; Znajek, R.L. Electromagnetic extraction of energy from Kerr black holes. Mon. Not. R. Astron. Soc. 1977, 179, 433. [Google Scholar] [CrossRef]
- Zhang, B.; Yan, H. The Internal-collision-induced Magnetic Reconnection and Turbulence (ICMART) Model of Gamma-ray Bursts. Astrophys. J. 2011, 726, 90. [Google Scholar] [CrossRef]
- Evans, P.A.; Osborne, J.P.; Kennea, J.A.; Campana, S.; O’Brien, P.T.; Tanvir, N.R.; Racusin, J.L.; Burrows, D.N.; Cenko, S.B.; Gehrels, N. Optimization of the Swift X-ray follow-up of Advanced LIGO and Virgo gravitational wave triggers in 2015–16. Mon. Not. R. Astron. Soc. 2016, 455, 1522. [Google Scholar] [CrossRef][Green Version]
- Abadie, J.; Abbott, B.P.; Abbott, R.; Abernathy, M.; Accadia, T.; Acernese, F.; Adams, C.; Adhikari, R.; Ajith, P.; Allen, B.; et al. TOPICAL REVIEW: Predictions for the rates of compact binary coalescences observable by ground-based gravitational-wave detectors. CQGra 2010, 27, 173001. [Google Scholar] [CrossRef]
- Nakar, E.; Gal-Yam, A.; Fox, D.B. The Local Rate and the Progenitor Lifetimes of Short-Hard Gamma-ray Bursts: Synthesis and Predictions for the Laser Interferometer Gravitational-Wave Observatory. Astrophys. J. 2006, 650, 281. [Google Scholar] [CrossRef]
- Zhang, G.Q.; Wang, F.Y. The Formation Rate of Short Gamma-ray Bursts and Gravitational Waves. Astrophys. J. 2018, 852, 1. [Google Scholar] [CrossRef]
- Metzger, B.D.; Berger, E. What is the Most Promising Electromagnetic Counterpart of a Neutron Star Binary Merger? Astrophys. J. 2012, 746, 48. [Google Scholar] [CrossRef]
- Abbott, B.P. et al. [LIGO Scientific Collaboration, Virgo Collaboration] GW170817: Observation of Gravitational Waves from a Binary Neutron Star Inspiral. PhysRevLett 2017, 119, 161101. [Google Scholar]
- Barnes, J.; Kasen, D. Effect of a High Opacity on the Light Curves of Radioactively Powered Transients from Compact Object Mergers. Astrophys. J. 2013, 775, 18. [Google Scholar] [CrossRef]
- Eichler, M.A. Nucleosynthesis in Explosive Environments: Neutron Star Mergers and Core-Collapse Supernovae. Ph.D. Thesis, University of Basel, Basel, Switzerland, 2017. Available online: https://edoc.unibas.ch/59530/1/Thesis_finalsubmit.pdf (accessed on 30 August 2017).
- Gao, H.; Zhang, B.; Lü, H.J.; Li, Y. Searching for Magnetar-powered Merger-novae from Short GRBS. Astrophys. J. 2017, 837, 50. [Google Scholar] [CrossRef]
- Dai, Z.-G.; Lu, T. Gamma-ray burst afterglows and evolution of post-burst fireballs with energy injection from strongly magnetic millisecond pulsars. Astron. Astrophys. 1998, 333, L87. [Google Scholar]
- Rowlinson, A.; O’Brien, P.T.; Metzger, B.D.; Tanvir, N.R.; Levan, A.J. Signatures of magnetar central engines in short GRB light curves. Mon. Not. R. Astron. Soc. 2013, 430, 1061. [Google Scholar] [CrossRef]
- Rastinejaad, J.; Gompertz, B.P.; Levan, A.J.; Fong, W.F.; Nicholl, M.; Lamb, G.P.; Malesani, D.B.; Nugent, A.E.; Oates, S.R.; Tanvir, N.R.; et al. A kilonova following a long-duration Gamma-ray burst at 350 Mpc. Nature 2022, 612, 223. [Google Scholar] [CrossRef]






Disclaimer/Publisher’s Note: The statements, opinions and data contained in all publications are solely those of the individual author(s) and contributor(s) and not of MDPI and/or the editor(s). MDPI and/or the editor(s) disclaim responsibility for any injury to people or property resulting from any ideas, methods, instructions or products referred to in the content. |
© 2023 by the author. Licensee MDPI, Basel, Switzerland. This article is an open access article distributed under the terms and conditions of the Creative Commons Attribution (CC BY) license (https://creativecommons.org/licenses/by/4.0/).
Share and Cite
De Pasquale, M. Contributions of the Swift/UV Optical Telescope to the Study of Short Gamma-ray Bursts. Universe 2024, 10, 5. https://doi.org/10.3390/universe10010005
De Pasquale M. Contributions of the Swift/UV Optical Telescope to the Study of Short Gamma-ray Bursts. Universe. 2024; 10(1):5. https://doi.org/10.3390/universe10010005
Chicago/Turabian StyleDe Pasquale, M. 2024. "Contributions of the Swift/UV Optical Telescope to the Study of Short Gamma-ray Bursts" Universe 10, no. 1: 5. https://doi.org/10.3390/universe10010005
APA StyleDe Pasquale, M. (2024). Contributions of the Swift/UV Optical Telescope to the Study of Short Gamma-ray Bursts. Universe, 10(1), 5. https://doi.org/10.3390/universe10010005

