Radar Observations of Liquid Water in the South Polar Region of Mars: Indications from Astrobiology Perspectives
Abstract
1. Introduction
2. Detection Principles of Mars Orbital Radars
2.1. Introduction of Mars Orbital Radars
2.2. Detection Principles of Mars Orbital Radars
3. The Permittivity Inversion
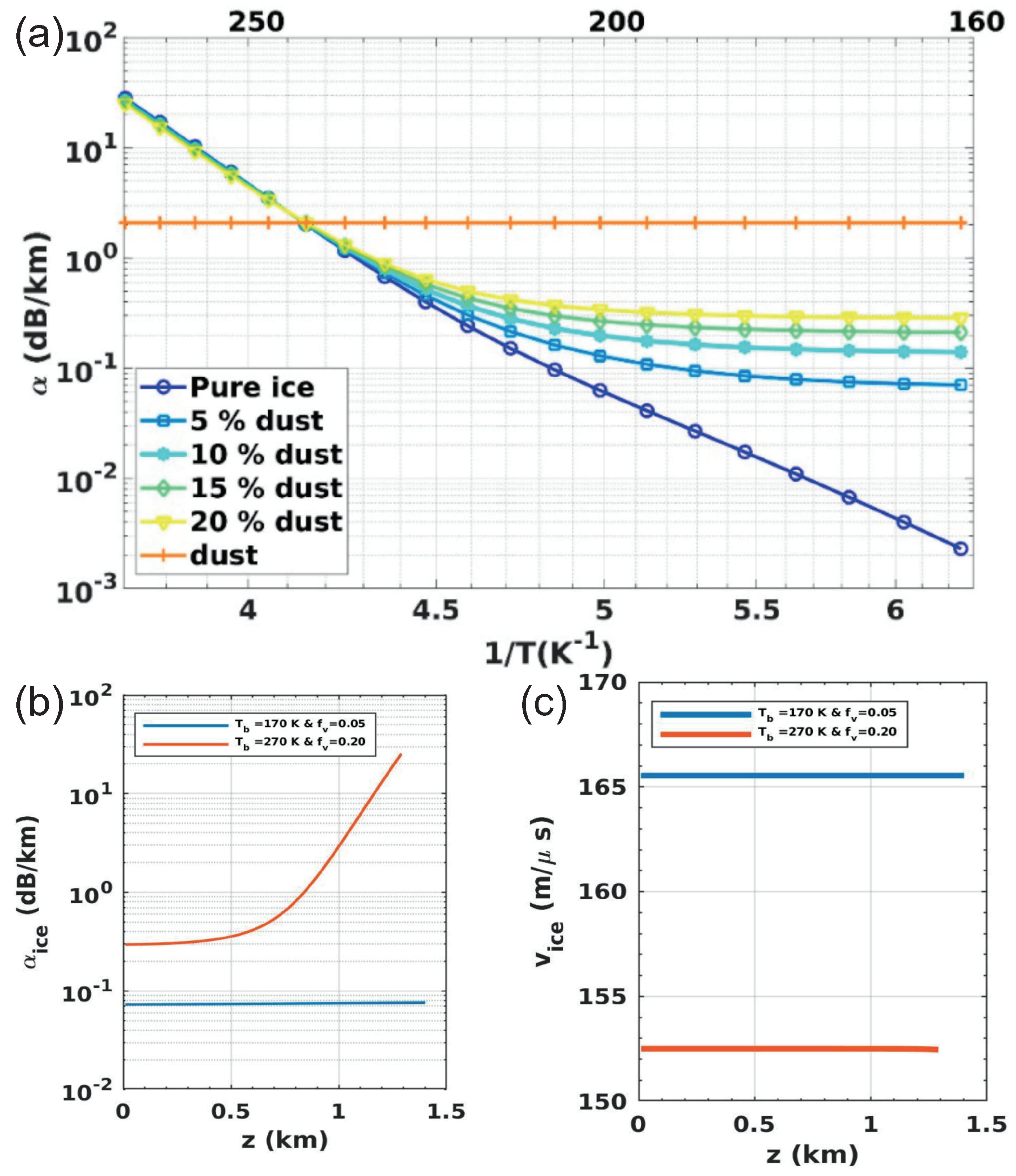
3.1. The Permittivity
3.2. The Intensity Values Collected by the Radar
3.3. Permittivity Estimated by Probabilistic-Inversion Approach
3.3.1. Ice Layer Dielectric Properties
3.3.2. Deriving the Permittivity of the SPLDs
- The ice layer consists of a uniform mixture of water ice and silicate, with the volume fraction of silicate () within the range of [0.05, 0.2].
- The temperature of the ice layer linearly increases with depth, with the surface temperature Ts at 160 K and the basal temperature Tb within the range of 170 K to 270 K.
- Different values of and will influence the value of .
4. Current Existence of Liquid Water on Mars
4.1. Discovery of Liquid Water on Mars
4.2. Dispute on the Existence of Liquid Water on the SPLDs
4.2.1. Local Environmental Factors May Not Support the Existence of Liquid Water

4.2.2. CO-Ice and Water-Ice Interference with Echoes
- Electromagnetic Model: In response to the findings by Lalich et al. [31], suggesting the third scenario as a potential cause for bright echoes, Lauro et al. [83] conducted experiments employing this scenario as a model, with the exclusion of the non-existent CO-ice layer above. Deviating from the original model, they observed that the Normalized Basal Echo Power (NBEP) values at the radar’s three frequencies (3, 4, 5 MHz) did not simultaneously reach their maximum at the same thickness of the dry-ice layer. Instead, comparable NBEP values (approximately 4.55 dB) were attained only when the radar frequencies corresponded to thicknesses of 15.4 m, 11.4 m, and 9 m, respectively.
- Dielectric Properties: Lalich et al. [31] utilized dry-ice permittivity values from Pettinelli et al. [84] in their simulation. However, Lauro et al. [83] contested the accuracy of the data interpretation from that particular article, asserting a misinterpretation leading to the citation of incorrect permittivity values.
- Materials and Geology: Contrary to Lalich et al. [31]’s simulation, which suggested that Ultimi Scopuli’s surface is covered by the residual-ice-cap unit (RIC) rather than the seasonal-ice-cap unit (SIC), Lauro et al. [83] argued that, in reality, the significant distance of approximately 400 km between the center of the Antarctic RIC and Ultimi Scopuli makes it implausible for the RIC to cover the surface of Ultimi Scopuli. Accordingly, they proposed that the surface of Ultimi Scopuli should be influenced by the SIC, with its CO-ice layer exhibiting periodic changes corresponding to the seasons.
4.2.3. Other Possibilities Causing the Bright Reflection
5. The Discovery of Liquid Water Provides Insights for the Exploration of Martian Life
5.1. Life in Extreme-Cryogenic-Brine Ecosystems
- H. lacusprofundi can adapt to higher concentrations of perchlorates, with less inhibition of growth, by increasing perchlorate concentrations within the 0–2 M range, compared to other haloarchaea.
- Divalent cations have a greater impact on microbial growth rates than monovalent cations.
- Perchlorate ions have a more significant impact on microbial growth rates than cations.
5.2. Exploring the Potential Existence of Life on Mars
6. Conclusions and Perspectives
- MARSIS detected bright radar echoes at the base of the SPLDs, and analysis indicates that these echoes were caused by a water body containing a high concentration of perchlorates. While there have been doubts suggesting that the bright radar echoes could be due to substances such as clay, simulations of the dielectric properties of relevant materials suggest that clay cannot produce such bright reflections. These studies suggest the likely presence of liquid water at the base of the SPLDs on Mars, albeit containing a significant amount of perchlorates.
- The presence of liquid water implies the possibility of microbial life. The high salinity, low temperature, and anaerobic conditions at the base of the Mars SPLDs seem unfavorable for the long-term survival of life. Research on similar extreme environments on Earth and laboratory experiments demonstrating the survival of halophilic bacteria in simulated extreme conditions suggest that if microbial life exists at the base of the Mars SPLDs, it is most likely to be halophilic bacteria.
- Additionally, studies of carbon-containing meteorites on Earth have shown that these meteorites may produce organic compounds under the influence of water and heat, which could potentially support microbial life. Mars has also been extensively impacted by meteorites, and similar reactions might have occurred on Mars. This provides insights for the selection of sampling sites and specimens in Mars sampling missions.
Author Contributions
Funding
Acknowledgments
Conflicts of Interest
References
- Mckay, C.P. The search for life on Mars. Orig. Life Evol. Biosph. 1997, 27, 263–289. [Google Scholar] [CrossRef]
- Schulze-Makuch, D.; Fairén, A.G.; Davila, A.F. The case for life on Mars. Int. J. Astrobiol. 2008, 7, 117–141. [Google Scholar] [CrossRef]
- Elson, B. Venus Project Team Finds Extensive Volcanic Activity. Aviat. Week Space Technol. 1984, 102, 44–45. [Google Scholar]
- Schaber, G.G.; Kozak, R.C.; Masursky, H. Cleopatra Patera on Venus: Venera 15/16 evidence for a volcanic origin. Geophys. Res. Lett. 1987, 14, 41–44. [Google Scholar] [CrossRef]
- Davidson, G.T.; Anderson, A.D. Venus: Volcanic eruptions may cause atmospheric obscuration. Science 1967, 156, 1729–1730. [Google Scholar] [CrossRef] [PubMed]
- Chicarro, A. Mars Express mission and astrobiology. Sol. Syst. Res. 2002, 36, 487–491. [Google Scholar] [CrossRef]
- Grady, M.M. WatSen: Searching for clues for water (and life) on Mars. Int. J. Astrobiol. 2006, 5, 211–219. [Google Scholar] [CrossRef][Green Version]
- Checinska Sielaff, A.; Smith, S.A. Habitability of mars: How welcoming are the surface and subsurface to life on the red planet? Geosciences 2019, 9, 361. [Google Scholar] [CrossRef]
- Brack, A.; Pillinger, C.T.; Sims, M.R. The Beagle 2 Lander and the Search for Traces of Life on Mars. In Life in the Universe: From the Miller Experiment to the Search for Life on Other Worlds; Springer: Dordrecht, The Netherlands, 2004; pp. 227–231. [Google Scholar]
- Langhoff, S.R. Workshop Report on Deep Mars: Accessing the Subsurface of Mars on Near Term Missions; NASA/CP-2008-214586; NASA: Washington, DC, USA, 2008. [Google Scholar]
- Voosen, P. Mars rover steps up hunt for molecular signs of life. Science 2017, 355, 444–445. [Google Scholar] [CrossRef]
- Carr, M.H. Water on mars. Nature 1987, 326, 30–35. [Google Scholar] [CrossRef]
- McEwen, A.S.; Hansen, C.; Delamere, W.A.; Eliason, E.; Herkenhoff, K.E.; Keszthelyi, L.; Gulick, V.; Kirk, R.L.; Mellon, M.; Grant, J.A.; et al. A closer look at water-related geologic activity on Mars. Science 2007, 317, 1706–1709. [Google Scholar] [CrossRef] [PubMed]
- Mustard, J.F.; Murchie, S.L.; Pelkey, S.; Ehlmann, B.; Milliken, R.; Grant, J.A.; Bibring, J.P.; Poulet, F.; Bishop, J.; Dobrea, E.N.; et al. Hydrated silicate minerals on Mars observed by the Mars Reconnaissance Orbiter CRISM instrument. Nature 2008, 454, 305–309. [Google Scholar] [CrossRef]
- Graf, J.E.; Zurek, R.W.; Eisen, H.J.; Jai, B.; Johnston, M.; DePaula, R. The Mars reconnaissance orbiter mission. Acta Astronaut. 2005, 57, 566–578. [Google Scholar] [CrossRef]
- Orosei, R.; Ding, C.; Fa, W.; Giannopoulos, A.; Hérique, A.; Kofman, W.; Lauro, S.E.; Li, C.; Pettinelli, E.; Su, Y.; et al. The global search for liquid water on Mars from orbit: Current and future perspectives. Life 2020, 10, 120. [Google Scholar] [CrossRef] [PubMed]
- Orosei, R.; Jordan, R.; Morgan, D.; Cartacci, M.; Cicchetti, A.; Duru, F.; Gurnett, D.; Heggy, E.; Kirchner, D.; Noschese, R.; et al. Mars Advanced Radar for Subsurface and Ionospheric Sounding (MARSIS) after nine years of operation: A summary. Planet. Space Sci. 2015, 112, 98–114. [Google Scholar] [CrossRef]
- Putzig, N.E.; Seu, R.; Morgan, G.A.; Smith, I.B.; Campbell, B.A.; Perry, M.R.; Mastrogiuseppe, M. Science results from sixteen years of MRO SHARAD operations. Icarus 2023, 405, 115715. [Google Scholar] [CrossRef]
- Byrne, S. The polar deposits of Mars. Annu. Rev. Earth Planet. Sci. 2009, 37, 535–560. [Google Scholar] [CrossRef]
- Langevin, Y.; Poulet, F.; Bibring, J.P.; Schmitt, B.; Douté, S.; Gondet, B. Summer evolution of the north polar cap of Mars as observed by OMEGA/Mars express. Science 2005, 307, 1581–1584. [Google Scholar] [CrossRef]
- Picardi, G.; Seu, R.; Frigeri, A.; Melacci, P. Subsurface Sounding in “Mars Advanced Radar for Subsurface and Ionosphere Sounding” (MARSIS). Geochim. Cosmochim. Acta Suppl. 2005, 69, A531. [Google Scholar]
- Plaut, J.J.; Picardi, G.; Safaeinili, A.; Ivanov, A.B.; Milkovich, S.M.; Cicchetti, A.; Kofman, W.; Mouginot, J.; Farrell, W.M.; Phillips, R.J.; et al. Subsurface radar sounding of the south polar layered deposits of Mars. Science 2007, 316, 92–95. [Google Scholar] [CrossRef]
- Fan, M.; Lyu, P.; Su, Y.; Du, K.; Zhang, Q.; Zhang, Z.; Dai, S.; Hong, T. The Mars orbiter subsurface investigation radar (MOSIR) on China’s Tianwen-1 mission. Space Sci. Rev. 2021, 217, 8. [Google Scholar] [CrossRef]
- Hong, T.; Su, Y.; Fan, M.; Dai, S.; Lv, P.; Ding, C.; Zhang, Z.; Wang, R.; Liu, C.; Du, W.; et al. Flight Experiment Validation of Altitude Measurement Performance of MOSIR on Tianwen-1 Orbiter. Remote Sens. 2021, 13, 5049. [Google Scholar] [CrossRef]
- Qiu, X.; Ding, C. Radar Observation of the Lava Tubes on the Moon and Mars. Remote Sens. 2023, 15, 2850. [Google Scholar] [CrossRef]
- Orosei, R.; Lauro, S.E.; Pettinelli, E.; Cicchetti, A.; Coradini, M.; Cosciotti, B.; Di Paolo, F.; Flamini, E.; Mattei, E.; Pajola, M.; et al. Radar evidence of subglacial liquid water on Mars. Science 2018, 361, 490–493. [Google Scholar] [CrossRef] [PubMed]
- Lauro, S.E.; Pettinelli, E.; Caprarelli, G.; Guallini, L.; Rossi, A.P.; Mattei, E.; Cosciotti, B.; Cicchetti, A.; Soldovieri, F.; Cartacci, M.; et al. Multiple subglacial water bodies below the south pole of Mars unveiled by new MARSIS data. Nat. Astron. 2021, 5, 63–70. [Google Scholar] [CrossRef]
- Ojha, L.; Karimi, S.; Buffo, J.; Nerozzi, S.; Holt, J.W.; Smrekar, S.; Chevrier, V. Martian mantle heat flow estimate from the lack of lithospheric flexure in the south pole of Mars: Implications for planetary evolution and basal melting. Geophys. Res. Lett. 2021, 48, e2020GL091409. [Google Scholar] [CrossRef]
- Bierson, C.; Tulaczyk, S.; Courville, S.; Putzig, N. Strong MARSIS radar reflections from the base of Martian south polar cap may be due to conductive ice or minerals. Geophys. Res. Lett. 2021, 48, e2021GL093880. [Google Scholar] [CrossRef]
- Smith, I.; Lalich, D.; Rezza, C.; Horgan, B.; Whitten, J.; Nerozzi, S.; Holt, J. A solid interpretation of bright radar reflectors under the Mars south polar ice. Geophys. Res. Lett. 2021, 48, e2021GL093618. [Google Scholar] [CrossRef]
- Lalich, D.; Hayes, A.; Poggiali, V. Explaining bright radar reflections below the south pole of mars without liquid water. Nat. Astron. 2022, 6, 1142–1146. [Google Scholar] [CrossRef]
- Mattei, E.; Pettinelli, E.; Lauro, S.E.; Stillman, D.E.; Cosciotti, B.; Marinangeli, L.; Tangari, A.C.; Soldovieri, F.; Orosei, R.; Caprarelli, G. Assessing the role of clay and salts on the origin of MARSIS basal bright reflections. Earth Planet. Sci. Lett. 2022, 579, 117370. [Google Scholar] [CrossRef]
- Cosciotti, B.; Mattei, E.; Brin, A.; Lauro, S.E.; Stillman, D.E.; Cunje, A.; Hickson, D.; Caprarelli, G.; Pettinelli, E. Can clay mimic the high reflectivity of briny water below the Martian SPLD? J. Geophys. Res. Planets 2023, 128, e2022JE007513. [Google Scholar] [CrossRef]
- Nielsen, E. Mars express and MARSIS. Space Sci. Rev. 2004, 111, 245–262. [Google Scholar] [CrossRef]
- Picardi, G.; Biccari, D.; Seu, R.; Plaut, J.; Johnson, W.; Jordan, R.; Safaeinili, A.; Gurnett, D.; Huff, R.; Orosei, R.; et al. MARSIS: Mars advanced radar for subsurface and ionosphere sounding. In Mars Express: The Scientific Payload; ESA Publications Division: Noordwijk, The Netherlands, 2004; Volume 1240, pp. 51–69. [Google Scholar]
- Biccari, D.; Picardi, G.; Seu, R.; Orosei, R.; Melacci, P.T. Mars orbital laser altimeter and mars advanced radar for subsurface and ionosphere sounding (MARSIS). In Electronic Imaging and Multimedia Technology III; SPIE: Bellingham, WA, USA, 2002; Volume 4925, pp. 10–17. [Google Scholar]
- Picardi, G.; Biccari, D.; Seu, R.; Marinangeli, L.; Johnson, W.; Jordan, R.; Plaut, J.; Safaenili, A.; Gurnett, D.; Ori, G.G.; et al. Performance and surface scattering models for the Mars Advanced Radar for Subsurface and Ionosphere Sounding (MARSIS). Planet. Space Sci. 2004, 52, 149–156. [Google Scholar] [CrossRef]
- Seu, R.; Biccari, D.; Orosei, R.; Lorenzoni, L.; Phillips, R.; Marinangeli, L.; Picardi, G.; Masdea, A.; Zampolini, E. SHARAD: The MRO 2005 shallow radar. Planet. Space Sci. 2004, 52, 157–166. [Google Scholar] [CrossRef]
- Croci, R.; Seu, R.; Flamini, E.; Russo, E. The SHAllow RADar (SHARAD) onboard the NASA MRO mission. Proc. IEEE 2011, 99, 794–807. [Google Scholar] [CrossRef]
- Seu, R.; Phillips, R.J.; Biccari, D.; Orosei, R.; Masdea, A.; Picardi, G.; Safaeinili, A.; Campbell, B.A.; Plaut, J.J.; Marinangeli, L.; et al. SHARAD sounding radar on the Mars Reconnaissance Orbiter. J. Geophys. Res. Planets 2007, 112. [Google Scholar] [CrossRef]
- Fois, F.; Mecozzi, R.; Iorio, M.; Calabrese, D.; Bombaci, O.; Catallo, C.; Croce, A.; Croci, R.; Guelfi, M.; Zampolini, E.; et al. Comparison between MARSIS & SHARAD results. In Proceedings of the 2007 IEEE International Geoscience and Remote Sensing Symposium, Barcelona, Spain, 23–28 July 2007; pp. 2134–2139. [Google Scholar]
- Grima, C.; Kofman, W.; Mouginot, J.; Phillips, R.J.; Hérique, A.; Biccari, D.; Seu, R.; Cutigni, M. North polar deposits of Mars: Extreme purity of the water ice. Geophys. Res. Lett. 2009, 36. [Google Scholar] [CrossRef]
- Selvans, M.; Aharonson, O.; Plaut, J.; Safaeinili, A. Structure of the basal unit of the north polar Plateau of Mars, from MARSIS. In Proceedings of the 2009 IEEE Radar Conference, Pasadena, CA, USA, 4–8 May 2009; pp. 1–3. [Google Scholar]
- Smith, I.B.; Holt, J.W. Spiral trough diversity on the north pole of Mars, as seen by Shallow Radar (SHARAD). J. Geophys. Res. Planets 2015, 120, 362–387. [Google Scholar] [CrossRef]
- Carter, L.M.; Campbell, B.A.; Watters, T.R.; Phillips, R.J.; Putzig, N.E.; Safaeinili, A.; Plaut, J.J.; Okubo, C.H.; Egan, A.F.; Seu, R.; et al. Shallow radar (SHARAD) sounding observations of the Medusae Fossae Formation, Mars. Icarus 2009, 199, 295–302. [Google Scholar] [CrossRef]
- Simon, M.N.; Carter, L.M.; Campbell, B.A.; Phillips, R.J.; Mattei, S. Studies of lava flows in the Tharsis region of Mars using SHARAD. J. Geophys. Res. Planets 2014, 119, 2291–2299. [Google Scholar] [CrossRef]
- Stuurman, C.; Osinski, G.; Holt, J.; Levy, J.; Brothers, T.; Kerrigan, M.; Campbell, B. SHARAD detection and characterization of subsurface water ice deposits in Utopia Planitia, Mars. Geophys. Res. Lett. 2016, 43, 9484–9491. [Google Scholar] [CrossRef]
- Xiong, S.; Muller, J.P.; Tao, Y.; Ding, C.; Zhang, B.; Li, Q. Combination of MRO SHARAD and deep-learning-based DTM to search for subsurface features in Oxia Planum, Mars. Astron. Astrophys. 2023, 676, 13. [Google Scholar] [CrossRef]
- Spagnuolo, M.; Grings, F.; Perna, P.; Franco, M.; Karszenbaum, H.; Ramos, V. Multilayer simulations for accurate geological interpretations of SHARAD radargrams. Planet. Space Sci. 2011, 59, 1222–1230. [Google Scholar] [CrossRef]
- Restano, M.; Mastrogiuseppe, M.; Masdea, A.; Picardi, G.; Seu, R. Shallow Radar (SHARAD) investigations over Sinus Meridiani. In Proceedings of the 2012 IEEE International Geoscience and Remote Sensing Symposium, Munich, Germany, 22–27 July 2012; pp. 3206–3209. [Google Scholar]
- Campbell, B.A.; Morgan, G.A. Fine-scale layering of Mars polar deposits and signatures of ice content in nonpolar material from multiband SHARAD data processing. Geophys. Res. Lett. 2018, 45, 1759–1766. [Google Scholar] [CrossRef]
- Xiong, S.; Tao, Y.; Persaud, D.M.; Campbell, J.D.; Putri, A.R.D.; Muller, J.P. Subsurface reflectors detected by SHARAD reveal stratigraphy and buried channels over central Elysium Planitia, Mars. Earth Space Sci. 2021, 8, e2019EA000968. [Google Scholar] [CrossRef]
- Zou, Y.; Zhu, Y.; Bai, Y.; Wang, L.; Jia, Y.; Shen, W.; Fan, Y.; Liu, Y.; Wang, C.; Zhang, A.; et al. Scientific objectives and payloads of Tianwen-1, China’s first Mars exploration mission. Adv. Space Res. 2021, 67, 812–823. [Google Scholar] [CrossRef]
- Hong, T.; Su, Y.; Dai, S.; Zhang, Z.; Du, W.; Liu, C.; Liu, S.; Wang, R.; Ding, C.; Li, C. An Improved Method of Surface Clutter Simulation Based on Orbiting Radar in Tianwen-1 Mars Exploration. Radio Sci. 2022, 57, e2022RS007491. [Google Scholar] [CrossRef]
- Cartacci, M.; Amata, E.; Cicchetti, A.; Noschese, R.; Giuppi, S.; Langlais, B.; Frigeri, A.; Orosei, R.; Picardi, G. Mars ionosphere total electron content analysis from MARSIS subsurface data. Icarus 2013, 223, 423–437. [Google Scholar] [CrossRef]
- Ilyushin, Y.A.; Kunitsyn, V. Methods for correcting ionosphere distortions of orbital ground-penetrating radar signals. J. Commun. Technol. Electron. C/C Radiotekh. Elektron. 2004, 49, 154–165. [Google Scholar]
- Mouginot, J.; Kofman, W.; Safaeinili, A.; Hérique, A. Correction of the ionospheric distortion on the MARSIS surface sounding echoes. Planet. Space Sci. 2008, 56, 917–926. [Google Scholar] [CrossRef]
- Safaeinili, A.; Kofman, W.; Nouvel, J.; Herique, A.; Jordan, R. Impact of Mars ionosphere on orbital radar sounder operation and data processing. Planet. Space Sci. 2003, 51, 505–515. [Google Scholar] [CrossRef]
- Zhang, Z.; Nielsen, E.; Plaut, J.J.; Orosei, R.; Picardi, G. Ionospheric corrections of MARSIS subsurface sounding signals with filters including collision frequency. Planet. Space Sci. 2009, 57, 393–403. [Google Scholar] [CrossRef]
- Alberti, G.; Dinardo, S.; Mattei, S.; Papa, C.; Santovito, M. SHARAD radar signal processing technique. In Proceedings of the 2007 4th International Workshop on, Advanced Ground Penetrating Radar, Naples, Italy, 27–29 June 2007; pp. 261–264. [Google Scholar]
- Nouvel, J.F.; Herique, A.; Kofman, W.; Safaeinili, A. Radar signal simulation: Surface modeling with the facet method. Radio Sci. 2004, 39, 1–17. [Google Scholar] [CrossRef]
- Herique, A.; Kofman, W.; Mouginot, J.; Eyraud, C.; Nouvel, J.F.; Safaeinili, A. Surface echo reduction by clutter simulation, Application to the Marsis data. In Proceedings of the 7th European Conference on Synthetic Aperture Radar, Friedrichshafen, Germany, 2–5 June 2008; pp. 1–4. [Google Scholar]
- Restano, M.; Seu, R.; Picardi, G. A phase-gradient-autofocus algorithm for the recovery of marsis subsurface data. IEEE Geosci. Remote Sens. Lett. 2016, 13, 806–810. [Google Scholar] [CrossRef]
- Withers, P. Attenuation of radio signals by the ionosphere of Mars: Theoretical development and application to MARSIS observations. Radio Sci. 2011, 46, 1–16. [Google Scholar] [CrossRef]
- Jordan, R.; Picardi, G.; Plaut, J.; Wheeler, K.; Kirchner, D.; Safaeinili, A.; Johnson, W.; Seu, R.; Calabrese, D.; Zampolini, E.; et al. The Mars express MARSIS sounder instrument. Planet. Space Sci. 2009, 57, 1975–1986. [Google Scholar] [CrossRef]
- Restano, M.; Masdea, A.; Picardi, G.; Seu, R. Weighting network influence on the geometric term correction in MARSIS data inversion. In Proceedings of the 2012 13th International Radar Symposium, Warsaw, Poland, 23–25 May 2012; pp. 213–217. [Google Scholar]
- Ulaby, F.T.; Long, D.G.; Blackwell, W.J.; Elachi, C.; Fung, A.K.; Ruf, C.; Sarabandi, K.; Zebker, H.A.; Van Zyl, J. Microwave Radar and Radiometric Remote Sensing; University of Michigan Press: Ann Arbor, MI, USA, 2014; Volume 4. [Google Scholar]
- Lauro, S.E.; Soldovieri, F.; Orosei, R.; Cicchetti, A.; Cartacci, M.; Mattei, E.; Cosciotti, B.; Di Paolo, F.; Noschese, R.; Pettinelli, E. Liquid water detection under the south polar layered deposits of Mars—A probabilistic inversion approach. Remote Sens. 2019, 11, 2445. [Google Scholar] [CrossRef]
- Oswald, G.; Gogineni, S. Recovery of subglacial water extent from Greenland radar survey data. J. Glaciol. 2008, 54, 94–106. [Google Scholar] [CrossRef]
- Zuber, M.T.; Phillips, R.J.; Andrews-Hanna, J.C.; Asmar, S.W.; Konopliv, A.S.; Lemoine, F.G.; Plaut, J.J.; Smith, D.E.; Smrekar, S.E. Density of Mars’ south polar layered deposits. Science 2007, 317, 1718–1719. [Google Scholar] [CrossRef]
- Maidique, M.; Von Hippel, A.; Westphal, W. Transfer of Protons through “Pure” Ice I h Single Crystals. III. Extrinsic versus Intrinsic Polarization; Surface versus Volume Conduction. J. Chem. Phys. 1971, 54, 150–160. [Google Scholar] [CrossRef]
- Pettinelli, E.; Cosciotti, B.; Di Paolo, F.; Lauro, S.E.; Mattei, E.; Orosei, R.; Vannaroni, G. Dielectric properties of Jovian satellite ice analogs for subsurface radar exploration: A review. Rev. Geophys. 2015, 53, 593–641. [Google Scholar] [CrossRef]
- Kawada, S. Dielectric anisotropy in ice Ih. J. Phys. Soc. Jpn. 1978, 44, 1881–1886. [Google Scholar] [CrossRef]
- Sihvola, A.H. Electromagnetic Mixing Formulas and Applications; Number 47; IET: Stevenage, UK, 1999. [Google Scholar]
- Nerozzi, S.; Holt, J. Buried ice and sand caps at the north pole of Mars: Revealing a record of climate change in the cavi unit with SHARAD. Geophys. Res. Lett. 2019, 46, 7278–7286. [Google Scholar] [CrossRef]
- Putzig, N.E.; Phillips, R.J.; Campbell, B.A.; Mellon, M.T.; Holt, J.W.; Brothers, T.C. SHARAD soundings and surface roughness at past, present, and proposed landing sites on Mars: Reflections at Phoenix may be attributable to deep ground ice. J. Geophys. Res. Planets 2014, 119, 1936–1949. [Google Scholar] [CrossRef]
- Sori, M.M.; Bramson, A.M. Water on Mars, with a grain of salt: Local heat anomalies are required for basal melting of ice at the south pole today. Geophys. Res. Lett. 2019, 46, 1222–1231. [Google Scholar] [CrossRef]
- Parro, L.M.; Jiménez-Díaz, A.; Mansilla, F.; Ruiz, J. Present-day heat flow model of Mars. Sci. Rep. 2017, 7, 45629. [Google Scholar] [CrossRef] [PubMed]
- Plesa, A.C.; Padovan, S.; Tosi, N.; Breuer, D.; Grott, M.; Wieczorek, M.; Spohn, T.; Smrekar, S.; Banerdt, W. The thermal state and interior structure of Mars. Geophys. Res. Lett. 2018, 45, 12–198. [Google Scholar] [CrossRef]
- Ruiz, J.; López, V.; Dohm, J.M. The present-day thermal state of Mars. Icarus 2010, 207, 631–637. [Google Scholar] [CrossRef]
- Lauro, S.E.; Pettinelli, E.; Caprarelli, G.; Baniamerian, J.; Mattei, E.; Cosciotti, B.; Stillman, D.E.; Primm, K.M.; Soldovieri, F.; Orosei, R. Using MARSIS signal attenuation to assess the presence of South Polar Layered Deposit subglacial brines. Nat. Commun. 2022, 13, 5686. [Google Scholar] [CrossRef]
- Orosei, R.; Caprarelli, G.; Lauro, S.; Pettinelli, E.; Cartacci, M.; Cicchetti, A.; Cosciotti, B.; De Lorenzis, A.; De Nunzio, G.; Mattei, E.; et al. Numerical simulations of radar echoes rule out basal CO2 ice deposits at Ultimi Scopuli, Mars. Icarus 2022, 386, 115163. [Google Scholar] [CrossRef]
- Lauro, S.E.; Pettinelli, E.; Caprarelli, G.; Guallini, L.; Rossi, A.P.; Mattei, E.; Cosciotti, B.; Cicchetti, A.; Soldovieri, F.; Cartacci, M.; et al. Reply to: Explaining bright radar reflections below the south pole of Mars without liquid water. Nat. Astron. 2023, 7, 259–261. [Google Scholar] [CrossRef]
- Pettinelli, E.; Vannaroni, G.; Cereti, A.; Paolucci, F.; Della Monica, G.; Storini, M.; Bella, F. Frequency and time domain permittivity measurements on solid CO2 and solid CO2–soil mixtures as Martian soil simulants. J. Geophys. Res. Planets 2003, 108. [Google Scholar] [CrossRef]
- Jones, E.G. Shallow transient liquid water environments on present-day mars, and their implications for life. Acta Astronaut. 2018, 146, 144–150. [Google Scholar] [CrossRef]
- Murray, A.; Fritsen, C.; Kenig, F.; McKay, C.; McNight, D.; Cawley, K.; Doran, P. Life in the ice cover and underlying cold brines of Lake Vida, Antarctica. Geochim. Cosmochim. Acta Suppl. 2009, 73, A922. [Google Scholar]
- Murray, A.E.; Kenig, F.; Fritsen, C.H.; McKay, C.P.; Cawley, K.M.; Edwards, R.; Kuhn, E.; McKnight, D.M.; Ostrom, N.E.; Peng, V.; et al. Microbial life at- 13 C in the brine of an ice-sealed Antarctic lake. Proc. Natl. Acad. Sci. USA 2012, 109, 20626–20631. [Google Scholar] [CrossRef]
- Mondino, L.J.; Asao, M.; Madigan, M.T. Cold-active halophilic bacteria from the ice-sealed Lake Vida, Antarctica. Arch. Microbiol. 2009, 191, 785–790. [Google Scholar] [CrossRef] [PubMed]
- Heinz, J.; Krahn, T.; Schulze-Makuch, D. A new record for microbial perchlorate tolerance: Fungal growth in NaClO4 brines and its implications for putative life on Mars. Life 2020, 10, 53. [Google Scholar] [CrossRef]
- Reid, I.; Sparks, W.; Lubow, S.; McGrath, M.; Livio, M.; Valenti, J.; Sowers, K.; Shukla, H.; MacAuley, S.; Miller, T.; et al. Terrestrial models for extraterrestrial life: Methanogens and halophiles at Martian temperatures. Int. J. Astrobiol. 2006, 5, 89–97. [Google Scholar] [CrossRef]
- DasSarma, P.; Laye, V.; Harvey, J.; Reid, C.; Shultz, J.; Yarborough, A.; Lamb, A.; Koske-Phillips, A.; Herbst, A.; Molina, F.; et al. Survival of halophilic Archaea in Earth’s cold stratosphere. Int. J. Astrobiol. 2017, 16, 321–327. [Google Scholar] [CrossRef]
- Landis, G.A. Martian water: Are there extant halobacteria on Mars? Astrobiology 2001, 1, 161–164. [Google Scholar] [CrossRef]
- Landis, G.A. Searching for life: The case for Halobacteria on Mars. AIP Conf. Proc. 2001, 552, 25–28. [Google Scholar]
- DasSarma, S.; Arora, P. Halophiles. Encycl. Life Sci. 2001. [Google Scholar] [CrossRef]
- DasSarma, S. Extreme halophiles are models for astrobiology. Microbe-Am. Soc. Microbiol. 2006, 1, 120. [Google Scholar] [CrossRef][Green Version]
- Franzmann, P.; Stackebrandt, E.; Sanderson, K.; Volkman, J.; Cameron, D.; Stevenson, P.; McMeekin, T.; Burton, H. Halobacterium lacusprofundi sp. nov., a halophilic bacterium isolated from Deep Lake, Antarctica. Syst. Appl. Microbiol. 1988, 11, 20–27. [Google Scholar] [CrossRef]
- Aerts, J.W.; Riedo, A.; Melton, D.J.; Martini, S.; Flahaut, J.; Meierhenrich, U.J.; Meinert, C.; Myrgorodska, I.; Lindner, R.; Ehrenfreund, P. Biosignature analysis of Mars soil analogs from the Atacama Desert: Challenges and implications for future missions to Mars. Astrobiology 2020, 20, 766–784. [Google Scholar] [CrossRef] [PubMed]
- Xu, L.; Li, H.; Pei, Z.; Zou, Y.; Wang, C. A Brief Introduction to the International Lunar Research Station Program and the Interstellar Express Mission. Chin. J. Space Sci. 2022, 42, 511–513. [Google Scholar] [CrossRef]
- Sun, Z. Prospects for Mars Exploration and Sample Return. Available online: https://www.koushare.com/video/videodetail/41321 (accessed on 6 June 2022).
- Xiao, L. Evolution of the Geological Environment and Exploration for Life on Mars. J. Earth Sci. 2023, 34, 1626–1628. [Google Scholar] [CrossRef]
- Fairén, A.G.; Davila, A.F.; Lim, D.; Bramall, N.; Bonaccorsi, R.; Zavaleta, J.; Uceda, E.R.; Stoker, C.; Wierzchos, J.; Dohm, J.M.; et al. Astrobiology through the ages of Mars: The study of terrestrial analogues to understand the habitability of Mars. Astrobiology 2010, 10, 821–843. [Google Scholar] [CrossRef]
- Horneck, G.; Baumstark-Khan, C. Astrobiology: The Quest for the Conditions of Life; Springer Science & Business Media: Berlin/Heidelberg, Germany, 2012. [Google Scholar]
- Nagy, B.; Kovács, J.; Ignéczi, Á.; Beleznai, S.; Mari, L.; Kereszturi, Á.; Szalai, Z. The thermal behavior of ice-bearing ground: The highest cold, dry desert on Earth as an analog for conditions on Mars, at Ojos del Salado, Puna De Atacama-Altiplano region. Astrobiology 2020, 20, 701–722. [Google Scholar] [CrossRef]
- Hallsworth, J.E.; Mancinelli, R.L.; Conley, C.A.; Dallas, T.D.; Rinaldi, T.; Davila, A.F.; Benison, K.C.; Rapoport, A.; Cavalazzi, B.; Selbmann, L.; et al. Astrobiology of life on Earth. Environ. Microbiol. 2021, 23, 3335–3344. [Google Scholar] [CrossRef]
- Kurokawa, H.; Sato, M.; Ushioda, M.; Matsuyama, T.; Moriwaki, R.; Dohm, J.M.; Usui, T. Evolution of water reservoirs on Mars: Constraints from hydrogen isotopes in martian meteorites. Earth Planet. Sci. Lett. 2014, 394, 179–185. [Google Scholar] [CrossRef]
- Rotelli, L.; Trigo-Rodríguez, J.M.; Moyano-Cambero, C.E.; Carota, E.; Botta, L.; Di Mauro, E.; Saladino, R. The key role of meteorites in the formation of relevant prebiotic molecules in a formamide/water environment. Sci. Rep. 2016, 6, 38888. [Google Scholar] [CrossRef]
- Cronin, J.R.; Pizzarello, S.; Cruikshank, D.P. Organic matter in carbonaceous chondrites, planetary satellites, asteroids and comets. Meteorites Early Sol. Syst. 1988, 819–857. [Google Scholar]
- Nyquist, L.; Bogard, D.; Shih, C.Y.; Greshake, A.; Stöffler, D.; Eugster, O. Ages and geologic histories of Martian meteorites. In Proceedings of the Chronology and Evolution of Mars: Proceedings of an ISSI Workshop, Bern, Switzerland, 10–14 April 2000; Springer: Berlin/Heidelberg, Germany, 2001; pp. 105–164. [Google Scholar]
- Jull, A.; Eastoe, C.; Xue, S.; Herzog, G. Isotopic composition of carbonates in the SNC meteorites Allan Hills 84001 and Nakhla. Meteoritics 1995, 30, 311–318. [Google Scholar] [CrossRef]
- Moyano-Cambero, C.E.; Trigo-Rodríguez, J.M.; Benito, M.I.; Alonso-Azcárate, J.; Lee, M.R.; Mestres, N.; Martínez-Jiménez, M.; Martín-Torres, F.J.; Fraxedas, J. Petrographic and geochemical evidence for multiphase formation of carbonates in the Martian orthopyroxenite Allan Hills 84001. Meteorit. Planet. Sci. 2017, 52, 1030–1047. [Google Scholar] [CrossRef]
- Velbel, M.A. Aqueous corrosion of olivine in the Mars meteorite Miller Range (MIL) 03346 during Antarctic weathering: Implications for water on Mars. Geochim. Cosmochim. Acta 2016, 180, 126–145. [Google Scholar] [CrossRef]
- Trigo-Rodríguez, J.M.; Trišić, J. What can be learned from Allan Hills 84001 carbonate globules about aqueous alteration processes in the Martian crust? In Proceedings of the European Planetary Science Congress 2021, Online, 13–24 September 2021. EPSC2021-803. [Google Scholar] [CrossRef]
- Muirhead, B.K.; Nicholas, A.; Umland, J. Mars sample return mission concept status. In Proceedings of the 2020 IEEE Aerospace Conference, Big Sky, MT, USA, 7–14 March 2020; pp. 1–8. [Google Scholar]
- Muirhead, B.K.; Nicholas, A.K.; Umland, J.; Sutherland, O.; Vijendran, S. Mars Sample Return Campaign Concept Status. Acta Astronaut. 2020, 176, 131–138. [Google Scholar] [CrossRef]








Disclaimer/Publisher’s Note: The statements, opinions and data contained in all publications are solely those of the individual author(s) and contributor(s) and not of MDPI and/or the editor(s). MDPI and/or the editor(s) disclaim responsibility for any injury to people or property resulting from any ideas, methods, instructions or products referred to in the content. |
© 2024 by the authors. Licensee MDPI, Basel, Switzerland. This article is an open access article distributed under the terms and conditions of the Creative Commons Attribution (CC BY) license (https://creativecommons.org/licenses/by/4.0/).
Share and Cite
Zhou, J.; Ding, C.; Xiong, S.; Su, Y.; Li, J.; Chen, M.; Dai, S. Radar Observations of Liquid Water in the South Polar Region of Mars: Indications from Astrobiology Perspectives. Universe 2024, 10, 43. https://doi.org/10.3390/universe10010043
Zhou J, Ding C, Xiong S, Su Y, Li J, Chen M, Dai S. Radar Observations of Liquid Water in the South Polar Region of Mars: Indications from Astrobiology Perspectives. Universe. 2024; 10(1):43. https://doi.org/10.3390/universe10010043
Chicago/Turabian StyleZhou, Junyi, Chunyu Ding, Siting Xiong, Yan Su, Jiawei Li, Mengna Chen, and Shun Dai. 2024. "Radar Observations of Liquid Water in the South Polar Region of Mars: Indications from Astrobiology Perspectives" Universe 10, no. 1: 43. https://doi.org/10.3390/universe10010043
APA StyleZhou, J., Ding, C., Xiong, S., Su, Y., Li, J., Chen, M., & Dai, S. (2024). Radar Observations of Liquid Water in the South Polar Region of Mars: Indications from Astrobiology Perspectives. Universe, 10(1), 43. https://doi.org/10.3390/universe10010043

