Serum Uric Acid/Serum Creatinine Ratio and Cardiovascular Mortality in Diabetic Individuals—The Uric Acid Right for Heart Health (URRAH) Project
Abstract
1. Introduction
2. Materials and Methods (See Supplemental Methods)
2.1. Study Population
2.2. Examination Procedures and Outcomes Assessment
2.3. Statistical Analysis
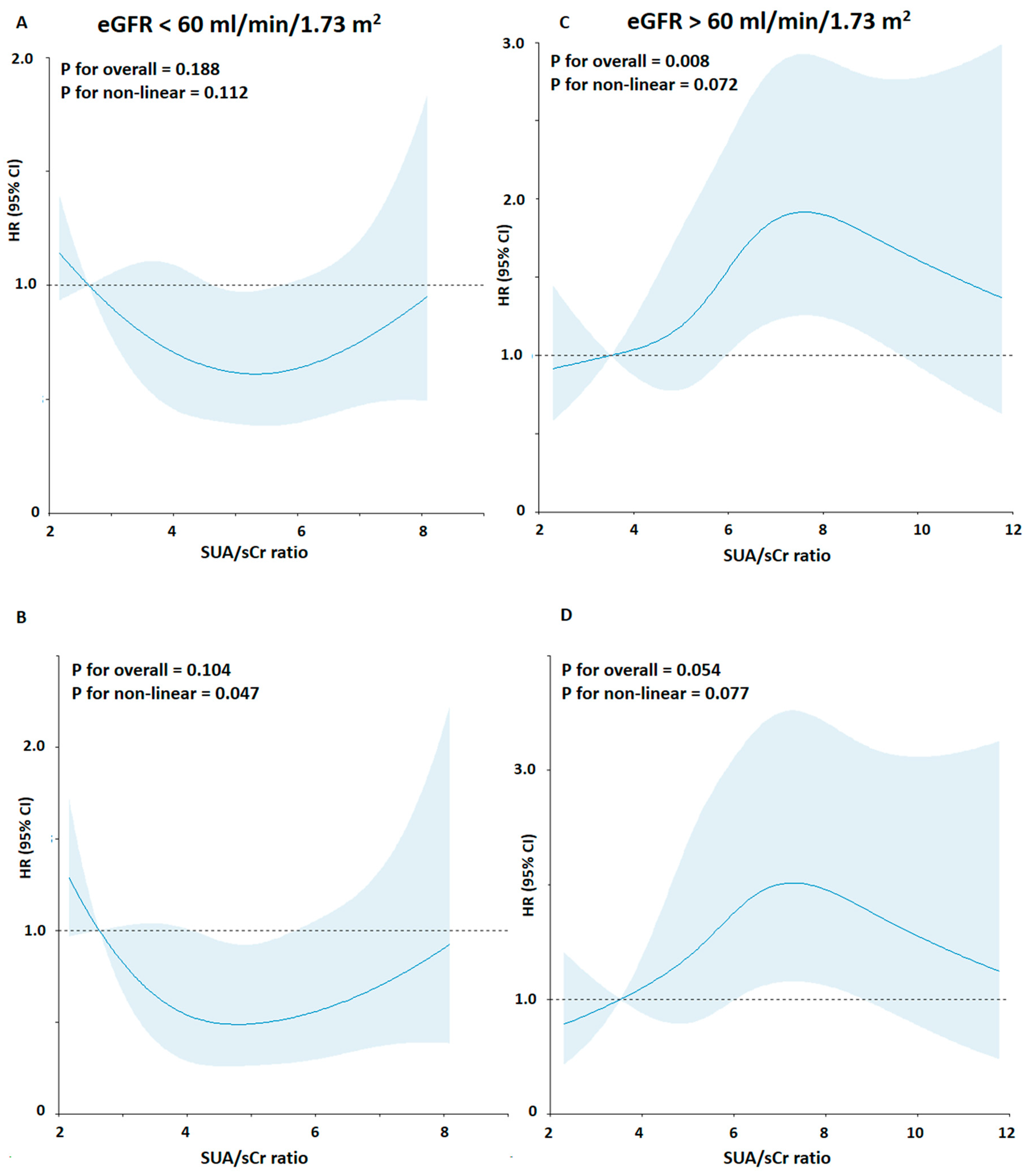
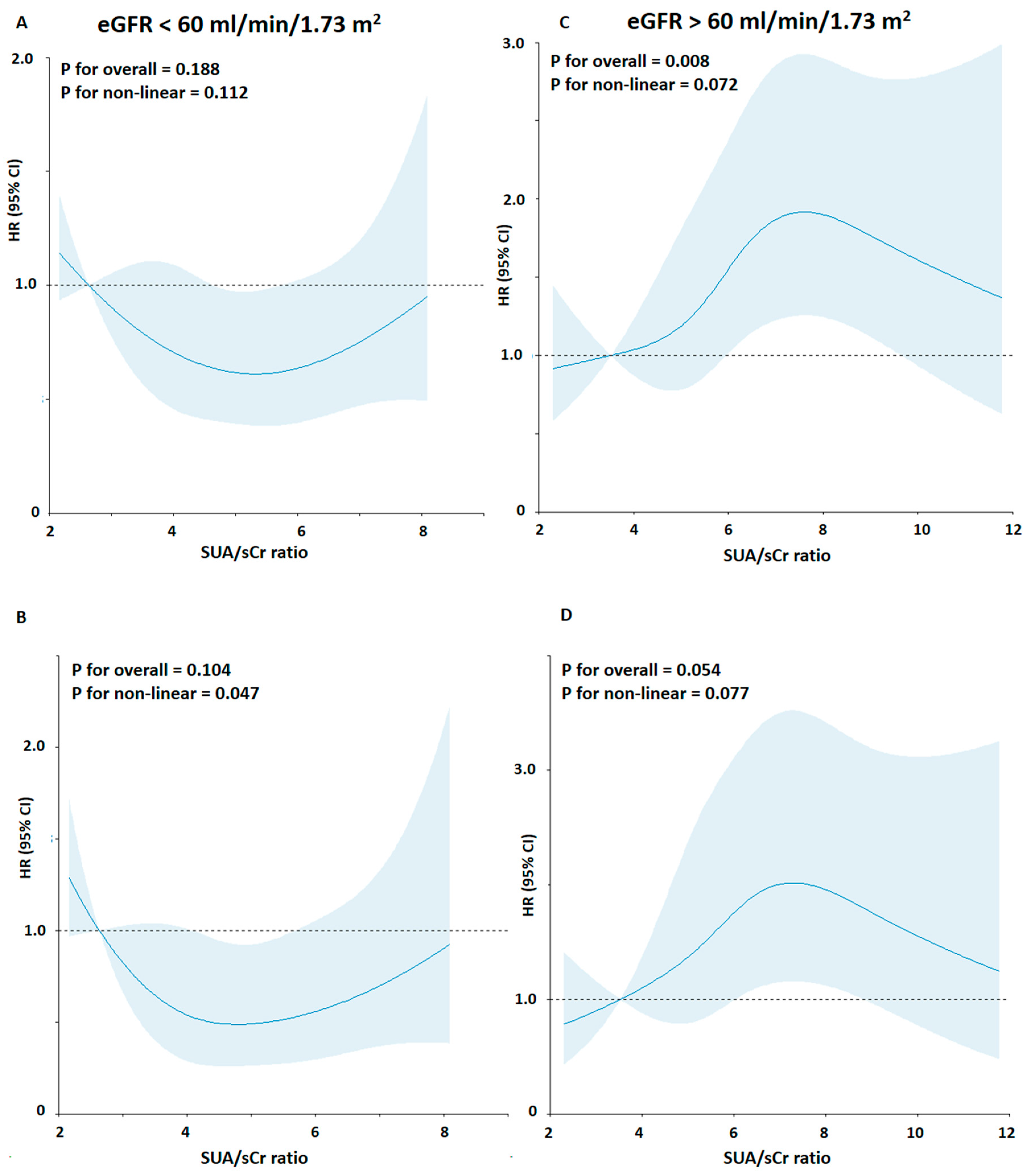
3. Results
4. Discussion
5. Conclusions
Supplementary Materials
Author Contributions
Funding
Institutional Review Board Statement
Informed Consent Statement
Data Availability Statement
Acknowledgments
Conflicts of Interest
References
- Maloberti, A.; Mengozzi, A.; Russo, E.; Cicero, A.F.G.; Angeli, F.; Agabiti Rosei, E.; Barbagallo, C.M.; Bernardino, B.; Bombelli, M.; Cappelli, F.; et al. The Results of the URRAH (Uric Acid Right for Heart Health) Project: A Focus on Hyperuricemia in Relation to Cardiovascular and Kidney Disease and its Role in Metabolic Dysregulation. High Blood Press Cardiovasc. Prev. 2023, 30, 411–425. [Google Scholar] [CrossRef]
- Saito, Y.; Tanaka, A.; Node, K.; Kobayashi, Y. Uric acid and cardiovascular disease: A clinical review. J. Cardiol. 2021, 78, 51–57. [Google Scholar] [CrossRef]
- Gu, L.; Huang, L.; Wu, H.; Lou, Q.; Bian, R. Serum uric acid to creatinine ratio: A predictor of incident chronic kidney disease in type 2 diabetes mellitus patients with preserved kidney function. Diab. Vasc. Dis. Res. 2017, 14, 221–225. [Google Scholar] [CrossRef]
- Kawamoto, R.; Kikuchi, A.; Ninomiya, D.; Tokumoto, Y.; Kumagi, T. Serum uric acid to creatinine ratio is a useful predictor of all-cause mortality among hypertensive patients. Clin. Hypertens. 2023, 29, 10. [Google Scholar] [CrossRef] [PubMed]
- Silva, N.R.; Gonçalves, C.E.T.; Gonçalves, D.L.N.; Cotta, R.M.M.; da Silva, L.S. Association of uric acid and uric acid to creatinine ratio with chronic kidney disease in hypertensive patients. BMC Nephrol. 2021, 22, 311. [Google Scholar] [CrossRef] [PubMed]
- Wang, A.; Tian, X.; Wu, S.; Zuo, Y.; Chen, S.; Mo, D.; Luo, Y.; Wang, Y. Metabolic factors mediate the association between serum uric acid to serum creatinine ratio and cardiovascular disease. J. Am. Heart Assoc. 2021, 10, e023054. [Google Scholar] [CrossRef] [PubMed]
- Tao, J.; Shen, X.; Li, J.; Cha, E.; Gu, P.P.; Liu, J.; Zhu, W.; He, L.-L.; Li, G.-Q.; Wang, Z. Serum uric acid to creatinine ratio and metabolic syndrome in postmenopausal Chinese women. Medicine 2020, 17, e19959. [Google Scholar] [CrossRef] [PubMed]
- Li, M.; Gu, L.; Yang, J.; Lou, Q. Serum uric acid to creatinine ratio correlates with β-cell function in type 2 diabetes. Diabetes Metab. Res. Rev. 2018, 34, e3001. [Google Scholar] [CrossRef] [PubMed]
- Kocak, N.D.; Sasak, G.; Akturk, U.A.; Akgun, M.; Boga, S.; Sengul, A.; Gungor, S.; Arinc, S. Serum uric acid levels and uric acid/creatinine ratios in stable chronic obstructive pulmonary disease (COPD) patients: Are these parameters efficient predictors of patients at risk for exacerbation and/or severity of disease? Med. Sci. Monit. 2016, 22, 4169–4176. [Google Scholar] [CrossRef] [PubMed]
- Casiglia, E.; Tikhonoff, V.; Virdis, A.; Grassi, G.; Angeli, F.; Barbagallo, C.M.; Bombelli, M.; Cicero, A.F.G.; Cirillo, M.; Cirillo, P.; et al. Serum uric acid/serum creatinine ratio as a predictor of cardiovascular events. Detection of prognostic cardiovascular cut-off values. J. Hypertens. 2023, 41, 180–186. [Google Scholar] [CrossRef]
- Koenig, W.; Meisinger, C. Uric acid, type 2 diabetes, and cardiovascular diseases: Fueling the common soil hypothesis? Clin. Chem. 2008, 54, 231–233. [Google Scholar] [CrossRef]
- Virdis, A.; Masi, S.; Casiglia, E.; Tikhonoff, V.; Cicero, A.F.G.; Ungar, A.; Rivasi, G.; Salvetti, M.; Barbagallo, C.M.; Bombelli, M.; et al. Identification of the Uric Acid Thresholds Predicting an Increased Total and Cardiovascular Mortality over 20 Years. Hypertension 2020, 75, 302–308. [Google Scholar] [CrossRef]
- Mancia, G.; Kreutz, R.; Brunström, M.; Burnier, M.; Grassi, G.; Januszewicz, A.; Muiesan, M.L.; Tsioufis, K.; Agabiti-Rosei, E.; Algharably, E.A.E.; et al. 2023 ESH Guidelines for the management of arterial hypertension The Task Force for the management of arterial hypertension of the European Society of Hypertension: Endorsed by the International Society of Hypertension (ISH) and the European Renal Association (ERA). J. Hypertens. 2023, 41, 1874–2071. [Google Scholar] [CrossRef]
- Masulli, M.; D’Elia, L.; Angeli, F.; Barbagallo, C.M.; Bilancio, G.; Bombelli, M.; Bruno, B.; Casiglia, E.; Cianci, R.; Cicero, A.F.G.; et al. Serum uric acid levels threshold for mortality in diabetic individuals: The URic acid Right for heArt Health (URRAH) project. Nutr. Metab. Cardiovasc. Dis. 2022, 32, 1245–1252. [Google Scholar] [CrossRef]
- Levey, A.S.; Inker, L.A.; Coresh, J. GFR estimation: From physiology to public health. Am. J. Kidney Dis. 2014, 63, 820–834. [Google Scholar] [CrossRef] [PubMed]
- Levin, A.; Stevens, P.E. Summary of Recommendation Statements. Kidney Int. Suppl. 2013, 3, 5–14. [Google Scholar] [CrossRef]
- Yao, C.; Gu, L.; Wang, T.; Xing, C. The association between serum uric acid to creatinine ratio and renal disease progression in type 2 diabetic patients in Chinese communities. J. Diabetes Complicat. 2019, 33, 473–476. [Google Scholar] [CrossRef]
- Kawamoto, R.; Ninomiya, D.; Kikuchi, A.; Akase, T.; Kasai, Y.; Ohtsuka, N.; Kumagi, T. Serum uric acid to creatinine ratio is a useful predictor of renal dysfunction among diabetic persons. Diabetes Metab. Synd. 2019, 13, 1851–1856. [Google Scholar] [CrossRef] [PubMed]
- Chen, L.; Zhu, Z.; Ye, S.; Zheng, M. The Serum Uric Acid to Serum Creatinine Ratio is an Independent Risk Factor for Diabetic Kidney Disease. Diabetes Metab. Syndr. Obes. 2022, 28, 3693–3703. [Google Scholar] [CrossRef] [PubMed]
- Timsans, J.; Kauppi, J.E.; Kerola, A.M.; Lehto, T.M.; Kautiainen, H.J.; Kauppi, M.J. Hyperuricaemiaassociated all-cause mortality risk effect is increased by non-impaired kidney function—Is renal hyperuricaemia less dangerous? Eur. J. Intern. Med. 2023, 121, 56–62. [Google Scholar] [CrossRef] [PubMed]
- Agnoletti, D.; Cicero, A.F.G.; Borghi, C. The Impact of Uric Acid and Hyperuricemia on Cardiovascular and Renal Systems. Cardiol. Clin. 2021, 39, 365–376. [Google Scholar] [CrossRef] [PubMed]




| Variables | Total Sample | SUA/sCr Ratio | |
|---|---|---|---|
| ≤5.35 | >5.35 | ||
| No. of participants | 2230 | 1038 | 1192 |
| Age (years) | 65.0 (12.7) | 64.6 (12.9) | 65.3 (12.6) |
| Gender (M/F%) | 51.2/48.8 | 52.3/47.7 | 50.2/49.8 |
| Cigarette Smoking (%) | 18.3 | 20.0 | 16.8 * |
| BMI (kg/m2) | 28.5 (4.6) | 27.8 (4.5) | 29.1 (4.6) * |
| Normal-weight (%) | 21.4 | 26.4 | 17.0 |
| Overweight (%) | 45.7 | 45.5 | 46.0 |
| Obesity (%) | 32.9 | 28.1 | 37.0 * |
| Systolic BP (mmHg) | 151.5 (26.1) | 150.6 (26.0) | 152.3 (26.1) |
| Diastolic BP (mmHg) | 85.3 (12.5) | 85.1 (12.4) | 85.5 (12.6) |
| Hypertension (%) | 76.2 | 74.3 | 77.9 * |
| Creatinine (mg/dL) a | 0.93 (1.3) | 1.01 (1.3) | 0.88 (1.2) * |
| eGFR (mL/min/1.73 m2) a | 72.4 (1.4) | 66.1 (1.4) | 77.6 (1.3) * |
| Kidney dysfunction-eGFR ≤ 60 mL/min/1.73 m2 (%) | 23.9 | 32.4 | 16.5 * |
| Serum Uric Acid (mg/dL) a | 5.01 (1.3) | 4.2 (1.3) | 5.9 (1.2) * |
| Glucose (mg/dL) a,b | 134.9 (1.4) | 138.0 (1.4) | 131.8 (1.3) |
| Total cholesterol (mg/dL) a,c | 208.9 (1.2) | 204.2 (1.2) | 208.9 (1.2) |
| Triglycerides (mg/dL) a,c | 134.9 (1.7) | 131.8 (1.7) | 141.2 (1.7) * |
| HDL-cholesterol (mg/dL) a,d | 46.8 (1.3) | 46.8 (1.3) | 46.9 (1.2) |
| Triglycerides (mg/dL)/HDL-cholesterol (mg/dL) d | 3. 7 (3.1) | 3.5 (2.9) | 3.8 (3.3) |
| Statin use (%) | 6.7 | 5.6 | 7.7 |
| Variables | Cardiovascular Mortality | |
|---|---|---|
| No | Yes | |
| No. of participants | 1850 | 380 |
| Age (years) | 63.3 (12.6) | 73.2 (9.5) * |
| Gender (M/F%) | 53/47 | 41/59 * |
| Cigarette Smoking (%) | 20 | 11 * |
| BMI (kg/m2) | 28.6 (4.6) | 28.3 (4.7) |
| Hypertension (%) | 74 | 86 * |
| Glucose (mg/dL) a,b | 131.8 (1.3) | 147.9 (1.4) * |
| Total cholesterol (mg/dL) a,c | 204.2 (1.2) | 208.9 (1.2) |
| Triglycerides (mg/dL) a,c | 134.9 (1.7) | 134.9 (1.6) |
| HDL-cholesterol (mg/dL) a,d | 46.8 (1.3) | 48.9 (1.3) |
| Triglycerides (mg/dL)/HDL-cholesterol (mg/dL) d | 3.7 (3.2) | 3.6 (3.0) |
| Statin use (%) | 8 | 2 * |
| Variables | KD [−] > 60 mL/min/1.73 m2 | KD [+] ≤ 60 mL/min/1.73 m2 | ||
|---|---|---|---|---|
| SUA/sCr Ratio | SUA/sCr Ratio | |||
| ≤5.35 | >5.35 | ≤5.35 | >5.35 | |
| No. of participants | 702 | 995 | 336 | 197 |
| Age (years) | 60.9 (12.4) | 63.9 (12.6) * | 72.4 (10.0) | 72.6 (9.8) |
| Gender (M/F%) | 59.9/40.1 | 55.4/44.6 | 36.6/63.4 | 23.9/76.1 * |
| Cigarette Smoking (%) | 23.1 | 17.6 * | 13.7 | 12.7 |
| BMI (kg/m2) | 27.8 (4.4) | 29.1 (4.6) * | 27.9 (4.7) | 29.3 (4.5) * |
| Normal-weight (%) | 25.0 | 17.5 | 29.0 | 14.4 |
| Overweight (%) | 46.9 | 46.0 | 42.6 | 45.6 |
| Obesity (%) | 28.1 | 36.5 * | 28.4 | 40.0 * |
| Systolic BP (mmHg) | 149.7 (26.1) | 151.4 (26.2) * | 154.6 (25.5) | 156.6 (25.0) |
| Diastolic BP (mmHg) | 84.9 (12.1) | 85.4 (12.2) | 85.4 (12.9) | 86.1 (14.4) |
| Hypertension (%) | 69.5 | 76.2 * | 84.2 | 86.3 |
| Creatinine (mg/dL) a | 0.91 (1.2) | 0.84 (1.2) * | 1.26 (1.3) | 1.11 (1.1) * |
| eGFR (mL/min/1.73 m2) a | 79.4 (1.2) | 85.1 (1.3) * | 44.7 (1.3) | 51.3 (1.1) * |
| Serum Uric Acid (mg/dL) a | 3.9 (1.3) | 5.8 (1.2) * | 4.8 (1.3) | 7.1 (1.2) * |
| Glucose (mg/dL) a,b | 135.8 (1.4) | 131.0 (1.3) | 141.2 (1.4) | 138.6 (1.3) |
| Total cholesterol (mg/dL) a,c | 208.9 (1.2) | 208.4 (1.2) | 200.0 (1.24) | 210.2 (1.2) * |
| Triglycerides (mg/dL) a | 125.9 (1.7) | 134.9 (1.7) * | 141.2 (1.7) | 162.2 (1.7) * |
| HDL-cholesterol (mg/dL) a,d | 46.8 (1.3) | 47.9 (1.3) | 46.8 (1.4) | 46.8 (1.3) |
| Triglycerides(mg/dL)/HDL-cholesterol (mg/dL) d | 3.7 (2.8) | 3.6 (3.3) | 3.9 (3.1) | 4.4 (3.3) |
| Statin use (%) | 4.0 | 7.6 * | 8.6 | 8.2 |
| KD[−] | KD[+] | |
|---|---|---|
| SUA/sCr Ratio >5.35 vs. ≤5.35 | SUA/sCr Ratio >5.35 vs. ≤5.35 | |
| HR (95% CI *) | HR (95% CI *) | |
| Unadjusted | 1.62 (1.23–2.20) § | 0.96 (0.66–1.35) |
| Multivariable Model 1 a | 1.32 (1.01–1.74) § | 1.01 (0.72–1.42) |
| Multivariable Model 2 b | 1.35 (1.01–1.81) § | 0.98 (0.69–1.40) |
| Multivariable Model 3 c | 1.61 (1.15–2.26) § | 0.98 (0.65–1.48) |
| Multivariable Model 4 d | 1.58 (1.11–2.23) § | 0.97 (0.64–1.49) |
| KD[+] <60 mL/min/1.73 m2 | |
|---|---|
| SUA/sCr ratio ≥7.50 vs. <7.50 | |
| HR (95% CI *) | |
| Unadjusted | 1.79 (1.02–3.17) § |
| Multivariable Model 1 a | 1.92 (1.06–3.45) § |
| Multivariable Model 2 b | 2.92 (1.46–5.86) § |
| Multivariable Model 3 c | 2.90 (1.44–5.86) § |
Disclaimer/Publisher’s Note: The statements, opinions and data contained in all publications are solely those of the individual author(s) and contributor(s) and not of MDPI and/or the editor(s). MDPI and/or the editor(s) disclaim responsibility for any injury to people or property resulting from any ideas, methods, instructions or products referred to in the content. |
© 2024 by the authors. Licensee MDPI, Basel, Switzerland. This article is an open access article distributed under the terms and conditions of the Creative Commons Attribution (CC BY) license (https://creativecommons.org/licenses/by/4.0/).
Share and Cite
D’Elia, L.; Masulli, M.; Cirillo, P.; Virdis, A.; Casiglia, E.; Tikhonoff, V.; Angeli, F.; Barbagallo, C.M.; Bombelli, M.; Cappelli, F.; et al. Serum Uric Acid/Serum Creatinine Ratio and Cardiovascular Mortality in Diabetic Individuals—The Uric Acid Right for Heart Health (URRAH) Project. Metabolites 2024, 14, 164. https://doi.org/10.3390/metabo14030164
D’Elia L, Masulli M, Cirillo P, Virdis A, Casiglia E, Tikhonoff V, Angeli F, Barbagallo CM, Bombelli M, Cappelli F, et al. Serum Uric Acid/Serum Creatinine Ratio and Cardiovascular Mortality in Diabetic Individuals—The Uric Acid Right for Heart Health (URRAH) Project. Metabolites. 2024; 14(3):164. https://doi.org/10.3390/metabo14030164
Chicago/Turabian StyleD’Elia, Lanfranco, Maria Masulli, Pietro Cirillo, Agostino Virdis, Edoardo Casiglia, Valerie Tikhonoff, Fabio Angeli, Carlo Maria Barbagallo, Michele Bombelli, Federica Cappelli, and et al. 2024. "Serum Uric Acid/Serum Creatinine Ratio and Cardiovascular Mortality in Diabetic Individuals—The Uric Acid Right for Heart Health (URRAH) Project" Metabolites 14, no. 3: 164. https://doi.org/10.3390/metabo14030164
APA StyleD’Elia, L., Masulli, M., Cirillo, P., Virdis, A., Casiglia, E., Tikhonoff, V., Angeli, F., Barbagallo, C. M., Bombelli, M., Cappelli, F., Cianci, R., Ciccarelli, M., Cicero, A. F. G., Cirillo, M., Dell’Oro, R., Desideri, G., Ferri, C., Gesualdo, L., Giannattasio, C., ... Galletti, F., on behalf of Working Group on Uric Acid and Cardiovascular Risk of the Italian Society of Hypertension (SIIA). (2024). Serum Uric Acid/Serum Creatinine Ratio and Cardiovascular Mortality in Diabetic Individuals—The Uric Acid Right for Heart Health (URRAH) Project. Metabolites, 14(3), 164. https://doi.org/10.3390/metabo14030164

