Influence of High-Temperature and Intense Light on the Enzymatic Antioxidant System in Ginger (Zingiber officinale Roscoe) Plantlets
Abstract
:1. Introduction
2. Materials and Methods
2.1. Plant Materials
2.2. Evaluation of Ambient Conditions, Chlorophyll Index, and Plant Phenotypic Changes
2.3. Determination of MDA Content and Activity Assay of Enzymes
2.3.1. Determination of MDA Content
2.3.2. Determination of SOD Activity
2.3.3. Determination of CAT Activity
2.3.4. Determination of LOX Activity
2.3.5. Determination of NR Activity
2.4. Analysis of Enzyme Coding Genes
2.5. Expression Analysis of Enzyme Coding Genes by qRT-PCR
2.6. Statistical Analyses
3. Results
3.1. The Changes of Chlorophyll Index under HT and IL Stress
3.2. Malondialdehyde Contents
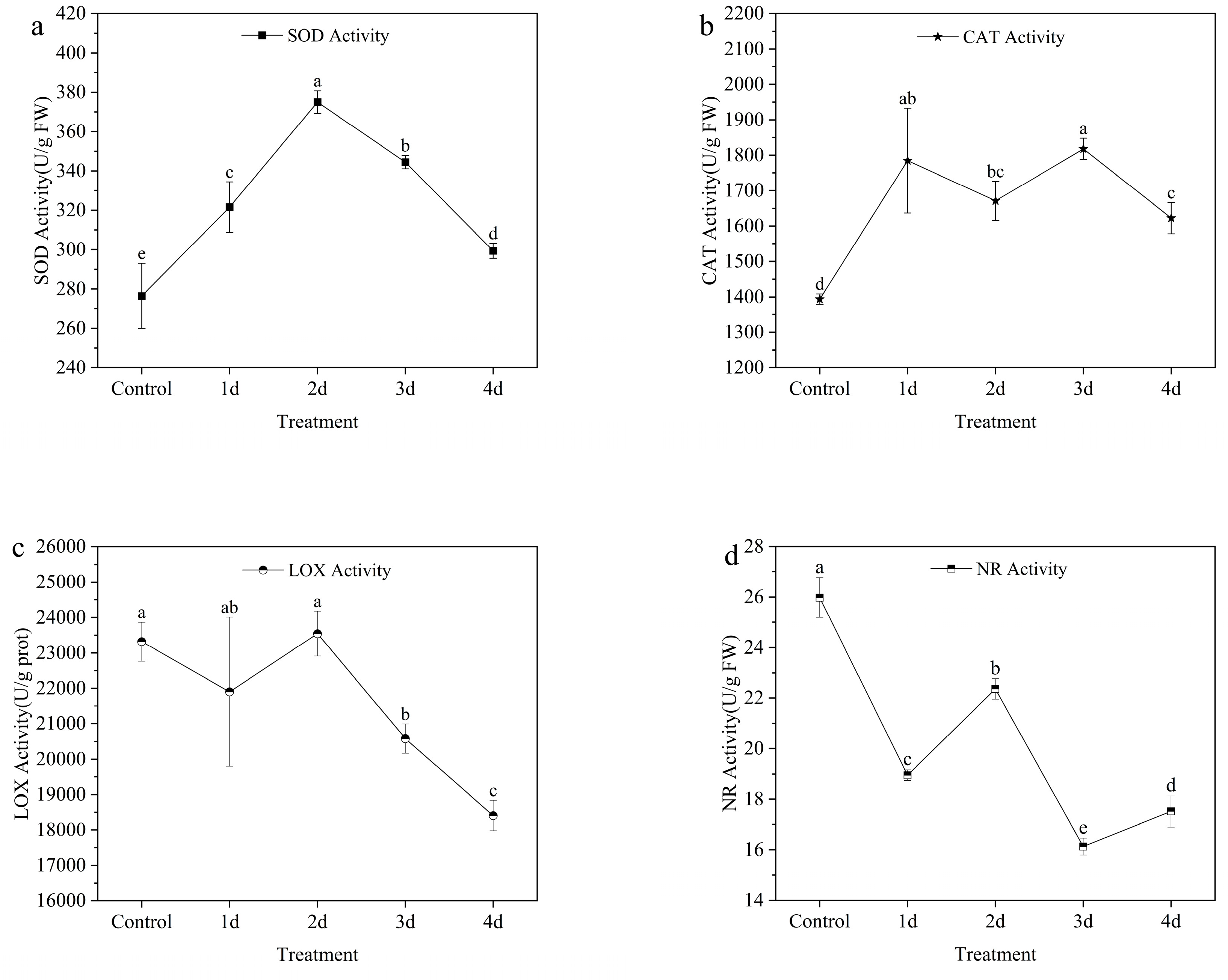
3.3. Protective Enzyme Activities
3.4. Identification of Enzyme Coding Genes in Ginger
3.5. Phylogeny of the Enzyme Coding Genes
3.6. Expression Pattern of Enzyme Genes
4. Discussion
5. Conclusions
Author Contributions
Funding
Institutional Review Board Statement
Informed Consent Statement
Data Availability Statement
Conflicts of Interest
References
- Gomez-Zavaglia, A.; Mejuto, J.C.; Simal-Gandara, J. Mitigation of emerging implications of climate change on food production systems. Food Res. Int. 2020, 134, 109256. [Google Scholar] [CrossRef] [PubMed]
- Franco, J.; Bañón, S.; Vicente, M.; Miralles, J.; Martínez-Sánchez, J. Root development in horticultural plants grown under abiotic stress conditions-a review. J. Hortic. Sci. Biotechnol. 2011, 86, 543–556. [Google Scholar] [CrossRef]
- Castoria, R.; Caputo, L.; De Curtis, F.; De Cicco, V. Resistance of postharvest biocontrol yeasts to oxidative stress: A possible new mechanism of action. Phytopathology 2003, 93, 564–572. [Google Scholar] [CrossRef] [PubMed]
- Rivero, R.M.; Mittler, R.; Blumwald, E.; Zandalinas, S.I. Developing climate-resilient crops: Improving plant tolerance to stress combination. Plant J. 2022, 109, 373–389. [Google Scholar] [CrossRef]
- Pillai, S.; Oresajo, C.; Hayward, J. Ultraviolet radiation and skin aging: Roles of reactive oxygen species, inflammation and protease activation, and strategies for prevention of inflammation-induced matrix degradation—A review. Int. J. Cosmet. Sci. 2005, 27, 17–34. [Google Scholar] [CrossRef]
- Sharma, P.; Jha, A.B.; Dubey, R.S.; Pessarakli, M. Reactive oxygen species, oxidative damage, and antioxidative defense mechanism in plants under stressful conditions. J. Bot. 2012, 2012, 217037. [Google Scholar] [CrossRef]
- Ippolito, A.; Nigro, F. Impact of preharvest application of biological control agents on postharvest diseases of fresh fruits and vegetables. Crop Prot. 2000, 19, 715–723. [Google Scholar] [CrossRef]
- Kong, F.; Ran, Z.; Zhang, J.; Zhang, M.; Wu, K.; Zhang, R.; Liao, K.; Cao, J.; Zhang, L.; Xu, J. Synergistic effects of temperature and light intensity on growth and physiological performance in Chaetoceros calcitrans. Aquac. Rep. 2021, 21, 100805. [Google Scholar] [CrossRef]
- Lamaoui, M.; Jemo, M.; Datla, R.; Bekkaoui, F. Heat and drought stresses in crops and approaches for their mitigation. Front. Chem. 2018, 6, 26. [Google Scholar] [CrossRef]
- Ozfidan-Konakci, C.; Yildiztugay, E.; Cavusoglu, H.; Arikan, B.; Elbasan, F.; Kucukoduk, M.; Turkan, I. Influences of sulfonated graphene oxide on gas exchange performance, antioxidant systems and redox states of ascorbate and glutathione in nitrate and/or ammonium stressed-wheat (Triticum aestivum L.). Environ. Sci. Nano 2021, 8, 3343–3364. [Google Scholar] [CrossRef]
- Meitha, K.; Pramesti, Y.; Suhandono, S. Reactive oxygen species and antioxidants in postharvest vegetables and fruits. Int. J. Food Sci. 2020, 2020, 8817778. [Google Scholar] [CrossRef] [PubMed]
- Karuppanapandian, T.; Moon, J.-C.; Kim, C.; Manoharan, K.; Kim, W. Reactive oxygen species in plants: Their generation, signal transduction, and scavenging mechanisms. Aust. J. Crop Sci. 2011, 5, 709–725. [Google Scholar]
- Shu-Hsien, H.; Chih-Wen, Y.; Lin, C.H. Hydrogen peroxide functions as a stress signal in plants. Bot. Bull. Acad. Sin. 2005, 46, 1–10. [Google Scholar]
- Bahuguna, R.N.; Jha, J.; Pal, M.; Shah, D.; Lawas, L.M.; Khetarpal, S.; Jagadish, K.S. Physiological and biochemical characterization of NERICA-L-44: A novel source of heat tolerance at the vegetative and reproductive stages in rice. Physiol. Plant. 2015, 154, 543–559. [Google Scholar] [CrossRef] [PubMed]
- Porta, H.; Rocha-Sosa, M. Plant lipoxygenases. Physiological and molecular features. Plant Physiol. 2002, 130, 15–21. [Google Scholar] [CrossRef]
- Fu, Y.-F.; Zhang, Z.-W.; Yang, X.-Y.; Wang, C.-Q.; Lan, T.; Tang, X.-Y.; Chen, G.-D.; Zeng, J.; Yuan, S. Nitrate reductase is a key enzyme responsible for nitrogen-regulated auxin accumulation in Arabidopsis roots. Biochem. Biophys. Res. Commun. 2020, 532, 633–639. [Google Scholar] [CrossRef]
- Mittler, R.; Zandalinas, S.I.; Fichman, Y.; Van Breusegem, F. Reactive oxygen species signalling in plant stress responses. Nat. Rev. Mol. Cell Biol. 2022, 23, 663–679. [Google Scholar] [CrossRef]
- Zhang, Y.; Luan, Q.; Jiang, J.; Li, Y. Prediction and utilization of malondialdehyde in exotic pine under drought stress using near-infrared spectroscopy. Front. Plant Sci. 2021, 12, 735275. [Google Scholar] [CrossRef]
- Xu, Y.; Chu, C.; Yao, S. The impact of high-temperature stress on rice: Challenges and solutions. Crop J. 2021, 9, 963–976. [Google Scholar] [CrossRef]
- Llorente, F.; López-Cobollo, R.M.; Catalá, R.; Martínez-Zapater, J.M.; Salinas, J. A novel cold-inducible gene from Arabidopsis, RCI3, encodes a peroxidase that constitutes a component for stress tolerance. Plant J. 2002, 32, 13–24. [Google Scholar] [CrossRef]
- Zhang, B.; Chen, K.; Bowen, J.; Allan, A.; Espley, R.; Karunairetnam, S.; Ferguson, I. Differential expression within the LOX gene family in ripening kiwifruit. J. Exp. Bot. 2006, 57, 3825–3836. [Google Scholar] [CrossRef] [PubMed]
- Upadhyay, R.K.; Handa, A.K.; Mattoo, A.K. Transcript abundance patterns of 9-and 13-lipoxygenase subfamily gene members in response to abiotic stresses (heat, cold, drought or salt) in tomato (Solanum lycopersicum L.) highlights member-specific dynamics relevant to each stress. Genes 2019, 10, 683. [Google Scholar] [CrossRef] [PubMed]
- Jayaraman, A.; Puranik, S.; Rai, N.K.; Vidapu, S.; Sahu, P.P.; Lata, C.; Prasad, M. cDNA-AFLP analysis reveals differential gene expression in response to salt stress in foxtail millet (Setaria italica L.). Mol. Biotechnol. 2008, 40, 241–251. [Google Scholar] [CrossRef]
- Curtis, I.; Power, J.; De Laat, A.; Caboche, M.; Davey, M. Expression of a chimeric nitrate reductase gene in transgenic lettuce reduces nitrate in leaves. Plant Cell Rep. 1999, 18, 889–896. [Google Scholar] [CrossRef]
- Semwal, R.B.; Semwal, D.K.; Combrinck, S.; Viljoen, A.M. Gingerols and shogaols: Important nutraceutical principles from ginger. Phytochemistry 2015, 117, 554–568. [Google Scholar] [CrossRef]
- Wang, Z.Q.; Wang, X.L.; Pu, Q.L. Analysis of meteorological conditions for high quality and high yield of Laiwu ginger. Meteor. Mon. 2006, 12, 102–106. (In Chinese) [Google Scholar]
- Wang, Q.Z.; Fan, Y.Q.; Xu, F.X. The temperature suitability of Laiwu ginger. J. Agric. 2020, 10, 38–42. (In Chinese) [Google Scholar]
- Jiang, S.G.; Xu, D.S.; Wu, Y.X.; Liu, M.Q. Impacts of Meteorological Conditions on Ginger Production and High-Yield Measures in Dabie Mountain Area. Meteor. Sci. Technol. 2011, 39, 106–109. (In Chinese) [Google Scholar]
- Cao, X.Z.; Liu, L.; Zhang, K.Y.; Sun, L.H. Analysis of meteorological conditions during the growing period of ginger in Funing District, Qinhuangdao City, China. Mod. Agric. Sci. Technol. 2019, 09, 67–68. (In Chinese) [Google Scholar]
- Li, H.L.; Huang, M.J.; Tan, D.Q.; Liao, Q.H.; Zou, Y.; Jiang, Y.S. Effects of soil moisture content on the growth and physiological status of ginger (Zingiber officinale Roscoe). Acta Physiol. Plant. 2018, 40, 125. [Google Scholar] [CrossRef]
- Senthilkumar, M.; Amaresan, N.; Sankaranarayanan, A.; Senthilkumar, M.; Amaresan, N.; Sankaranarayanan, A. Estimation of malondialdehyde (MDA) by thiobarbituric acid (TBA) assay. In Plant-Microbe Interactions; Springer: New York, NY, USA, 2021. [Google Scholar]
- Shi, G.; Zhu, X. Genome-wide identification and functional characterization of CDPK gene family reveal their involvement in response to drought stress in Gossypium barbadense. PeerJ 2022, 10, e12883. [Google Scholar] [CrossRef]
- Kumar, S.; Stecher, G.; Tamura, K. MEGA7: Molecular evolutionary genetics analysis version 7.0 for bigger datasets. Mol. Biol. Evol. 2016, 33, 1870–1874. [Google Scholar] [CrossRef]
- Livak, K.J.; Schmittgen, T.D. Analysis of relative gene expression data using real-time quantitative PCR and the 2−ΔΔCT method. Methods 2001, 25, 402–408. [Google Scholar] [CrossRef]
- Qu, X.; Wang, H.; Chen, M.; Liao, J.; Yuan, J.; Niu, G. Drought stress–induced physiological and metabolic changes in leaves of two oil tea cultivars. J. Am. Soc. Hortic. Sci. 2019, 144, 439–447. [Google Scholar] [CrossRef]
- Almeselmani, M.; Deshmukh, P.S.; Sairam, R.K.; Kushwaha, S.R.; Singh, T.P. Protective role of antioxidant enzymes under high temperature stress. Plant Sci. 2006, 171, 382–388. [Google Scholar] [CrossRef]
- Berwal, M.; Ram, C. Superoxide dismutase: A stable biochemical marker for abiotic stress tolerance in higher plants. In Abiotic and Biotic Stress in Plants; Intech Open: London, UK, 2018; pp. 1–10. [Google Scholar]
- Aleem, M.; Aleem, S.; Sharif, I.; Wu, Z.; Aleem, M.; Tahir, A.; Atif, R.M.; Cheema, H.M.N.; Shakeel, A.; Lei, S. Characterization of SOD and GPX gene families in the soybeans in response to drought and salinity stresses. Antioxidants 2022, 11, 460. [Google Scholar] [CrossRef]
- Manivannan, P.; Jaleel, C.A.; Sankar, B.; Kishorekumar, A.; Somasundaram, R.; Lakshmanan, G.A.; Panneerselvam, R. Growth, biochemical modifications and proline metabolism in Helianthus annuus L. as induced by drought stress. Colloids Surf. B 2007, 59, 141–149. [Google Scholar] [CrossRef]
- Fahad, S.; Bajwa, A.A.; Nazir, U.; Anjum, S.A.; Farooq, A.; Zohaib, A.; Sadia, S.; Nasim, W.; Adkins, S.; Saud, S. Crop production under drought and heat stress: Plant responses and management options. Front. Plant Sci. 2017, 8, 1147. [Google Scholar] [CrossRef]
- Filiz, E.; Ozyigit, I.I.; Saracoglu, I.A.; Uras, M.E.; Sen, U.; Yalcin, B. Abiotic stress-induced regulation of antioxidant genes in different Arabidopsis ecotypes: Microarray data evaluation. Biotechnol. Biotechnol. Equip. 2019, 33, 128–143. [Google Scholar] [CrossRef]
- Hu, W.; Zhang, J.; Yan, K.; Zhou, Z.; Zhao, W.; Zhang, X.; Pu, Y.; Yu, R. Beneficial effects of abscisic acid and melatonin in overcoming drought stress in cotton (Gossypium hirsutum L.). Physiol. Plant. 2021, 173, 2041–2054. [Google Scholar] [CrossRef]
- Baek, K.-H.; Skinner, D.Z. Alteration of antioxidant enzyme gene expression during cold acclimation of near-isogenic wheat lines. Plant Sci. 2003, 165, 1221–1227. [Google Scholar] [CrossRef]
- Hong, E.; Xia, X.Z.; Ji, W.; Li, T.Y.; Xu, X.Y.; Chen, J.R.; Chen, X.; Zhu, X.T. Effects of High Temperature Stress on the Physiological and Biochemical Characteristics of Paeonia ostia. Int. J. Mol. Sci. 2023, 24, 11180. [Google Scholar] [CrossRef]
- Das, K.; Roychoudhury, A. Reactive oxygen species (ROS) and response of antioxidants as ROS-scavengers during environmental stress in plants. Front. Environ. Sci. 2014, 2, 53. [Google Scholar] [CrossRef]
- Wang, J.; Xu, J.; Wang, L.; Zhou, M.; Nian, J.; Chen, M.; Lu, X.; Liu, X.; Wang, Z.; Cen, J. SEMI-ROLLED LEAF 10 stabilizes catalase isozyme B to regulate leaf morphology and thermotolerance in rice (Oryza sativa L.). Plant Biotechnol. J. 2023, 21, 819–838. [Google Scholar] [CrossRef]
- McClung, C.R. Regulation of catalases in Arabidopsis. Free Radic. Biol. Med. 1997, 23, 489–496. [Google Scholar] [CrossRef]
- Sytykiewicz, H. Transcriptional responses of catalase genes in maize seedlings exposed to cereal aphids' herbivory. Biochem. Syst. Ecol. 2015, 60, 131–142. [Google Scholar] [CrossRef]
- Joo, J.; Lee, Y.H.; Song, S.I. Rice CatA, CatB, and CatC are involved in environmental stress response, root growth, and photorespiration, respectively. J. Plant Biol. 2014, 57, 375–382. [Google Scholar] [CrossRef]
- Hu, L.; Yang, Y.; Jiang, L.; Liu, S. The catalase gene family in cucumber: Genome-wide identification and organization. Genet. Mol. Res. 2016, 39, 408–415. [Google Scholar] [CrossRef]
- Guo, P.; Li, Z.; Huang, P.; Li, B.; Fang, S.; Chu, J.; Guo, H. A tripartite amplification loop involving the transcription factor WRKY75, salicylic acid, and reactive oxygen species accelerates leaf senescence. Plant Cell 2017, 29, 2854–2870. [Google Scholar] [CrossRef]
- Koo, A.J.; Cooke, T.F.; Howe, G.A. Cytochrome P450 CYP94B3 mediates catabolism and inactivation of the plant hormone jasmonoyl-L-isoleucine. Proc. Natl. Acad. Sci. USA 2011, 108, 9298–9303. [Google Scholar] [CrossRef]
- Browse, J. Jasmonate passes muster: A receptor and targets for the defense hormone. Annu. Rev. Plant Biol. 2009, 60, 183–205. [Google Scholar] [CrossRef]
- de la Haba, P.; Agüera, E.; Benítez, L.; Maldonado, J.M. Modulation of nitrate reductase activity in cucumber (Cucumis sativus) roots. Plant Sci. 2001, 161, 231–237. [Google Scholar] [CrossRef]
- ul Hassan, M.N.; Zainal, Z.; Ismail, I. Green leaf volatiles: Biosynthesis, biological functions and their applications in biotechnology. Plant Biotechnol. J. 2015, 13, 727–739. [Google Scholar] [CrossRef]
- Rockel, P.; Strube, F.; Rockel, A.; Wildt, J.; Kaiser, W.M. Regulation of nitric oxide (NO) production by plant nitrate reductase in vivo and in vitro. J. Exp. Bot. 2002, 53, 103–110. [Google Scholar] [CrossRef]
- Yamasaki, H.; Sakihama, Y. Simultaneous production of nitric oxide and peroxynitrite by plant nitrate reductase: In vitro evidence for the NR-dependent formation of active nitrogen species. FEBS Lett. 2000, 468, 89–92. [Google Scholar] [CrossRef]
- Beligni, M.V.; Lamattina, L. Nitric oxide counteracts cytotoxic processes mediated by reactive oxygen species in plant tissues. Planta 1999, 208, 337–344. [Google Scholar] [CrossRef]
- Delledonne, M.; Murgia, I.; Ederle, D.; Sbicego, P.F.; Biondani, A.; Polverari, A.; Lamb, C. Reactive oxygen intermediates modulate nitric oxide signaling in the plant hypersensitive disease-resistance response. Plant Physiol. Biochem. 2002, 40, 605–610. [Google Scholar] [CrossRef]





| Gene Name | Forward Primer (5′ → 3′) | Reverse Primer (5′ → 3′) |
|---|---|---|
| ZoSOD3 | GTGACCTGGGAAACATCG | GCCAATCTTCCTCCAGCA |
| ZoSOD11 | AAACAGGCGGAACACGAC | CAGTCCCTTCCCATCCAG |
| ZoSOD13 | TTTCTGCTTCTGTTGCCGAGTT | GCTGCTTCCTCGGTCAAA |
| ZoSOD14 | GGCTGTTGCTGTCCTGGGTA | AGGGGAATCTGGCTATCAACA |
| ZoCAT1 | GCTGCTGCGATTCTGTCT | CTTTCGGTTCTCCAGTCG |
| ZoCAT2 | GCACCGTCTAGGACCAAAC | GCTTTCTCACGCCTTCCT |
| ZoCAT3 | ATTCTTGACTTCTCGCACCA | CAGCAGCAATAGAATCATAAAG |
| ZoCAT4 | GTGGGCAGGCTGGTGCTC | TGAGTCCGTCGTAGTGGTTG |
| ZoLOX5 | GCCTACGCCTACTACAACGACC | CACATAGATGTCCAGGCTTAGC |
| ZoLOX12 | GCAAGGTGGAGATGATAACG | TCGGGCGTATCGTATCTG |
| ZoLOX18 | CGAGGCGTTGGAGCAGAAGA | TAATGCCGTCGCAGTTGAT |
| ZoLOX21 | GCCCTGCTGGATGAACCT | ATCGCCCGAGTTGGACCTG |
| ZoNR2 | TGTGAAGGTCTACACCCTGACTGAG | TCCTGGTTGTAGTGCGGTTG |
| ZoNR6 | TCATCCACTGGGAAAGATGC | AATCTGAGGCCCACAGCA |
| ZoNR7 | TTCTGAAGTAACTGAGGGCACA | CTGCCAGTTGCTCCACGA |
| ZoNR22 | GTTCTTTACGGTGCTGGCTTTG | GGTCCACCTGGTCCATAAA |
| ZoTUB2 | GAACATGATGTGTGCTGCCG | ATCTTCAGCCCTTTCGGAGG |
| Treatments | Daily Temperature Range (°C) | Average Ambient Temperature during Measurement (°C) | Leaf Temperature (°C) | Light Intensity (μE m−2 s−1) | Chlorophyll Index (SPAD) |
|---|---|---|---|---|---|
| control | 25 | 30.67 ± 0.57 d | 28.95 ± 0.49 d | 982.44 ± 78.60 e | 29.93 ± 0.85 a |
| 1d | 33~41 | 39.00 ± 0.26 c | 34.70 ± 0.63 b | 1920.01 ± 6.49 a | 29.27 ± 0.57 a |
| 2d | 34~40 | 41.23 ± 0.40 b | 33.58 ± 0.70 c | 1786.31 ± 10.38 d | 24.17 ± 0.31 b |
| 3d | 31~39 | 41.30 ± 0.75 b | 35.04 ± 0.59 ab | 1792.85 ± 16.23 c | 20.53 ± 1.25 c |
| 4d | 34~40 | 42.90 ± 0.66 a | 36.04 ± 0.32 a | 1810.04 ± 9.26 b | 15.90 ± 0.55 d |
Disclaimer/Publisher’s Note: The statements, opinions and data contained in all publications are solely those of the individual author(s) and contributor(s) and not of MDPI and/or the editor(s). MDPI and/or the editor(s) disclaim responsibility for any injury to people or property resulting from any ideas, methods, instructions or products referred to in the content. |
© 2023 by the authors. Licensee MDPI, Basel, Switzerland. This article is an open access article distributed under the terms and conditions of the Creative Commons Attribution (CC BY) license (https://creativecommons.org/licenses/by/4.0/).
Share and Cite
Gong, M.; Jiang, D.; Liu, R.; Tian, S.; Xing, H.; Chen, Z.; Shi, R.; Li, H.-L. Influence of High-Temperature and Intense Light on the Enzymatic Antioxidant System in Ginger (Zingiber officinale Roscoe) Plantlets. Metabolites 2023, 13, 992. https://doi.org/10.3390/metabo13090992
Gong M, Jiang D, Liu R, Tian S, Xing H, Chen Z, Shi R, Li H-L. Influence of High-Temperature and Intense Light on the Enzymatic Antioxidant System in Ginger (Zingiber officinale Roscoe) Plantlets. Metabolites. 2023; 13(9):992. https://doi.org/10.3390/metabo13090992
Chicago/Turabian StyleGong, Min, Dongzhu Jiang, Ran Liu, Shuming Tian, Haitao Xing, Zhiduan Chen, Rujie Shi, and Hong-Lei Li. 2023. "Influence of High-Temperature and Intense Light on the Enzymatic Antioxidant System in Ginger (Zingiber officinale Roscoe) Plantlets" Metabolites 13, no. 9: 992. https://doi.org/10.3390/metabo13090992
APA StyleGong, M., Jiang, D., Liu, R., Tian, S., Xing, H., Chen, Z., Shi, R., & Li, H.-L. (2023). Influence of High-Temperature and Intense Light on the Enzymatic Antioxidant System in Ginger (Zingiber officinale Roscoe) Plantlets. Metabolites, 13(9), 992. https://doi.org/10.3390/metabo13090992
