Quantitation and Distribution of Epichloë-Derived Alkaloids in Perennial Ryegrass Tissues
Abstract
1. Introduction
2. Materials and Methods
2.1. Chemicals
2.2. Plants and Alkaloid Extractions
2.3. Calibration and Method Validation
2.4. LC-MS Paramaters
2.5. Alkaloid Quantitation
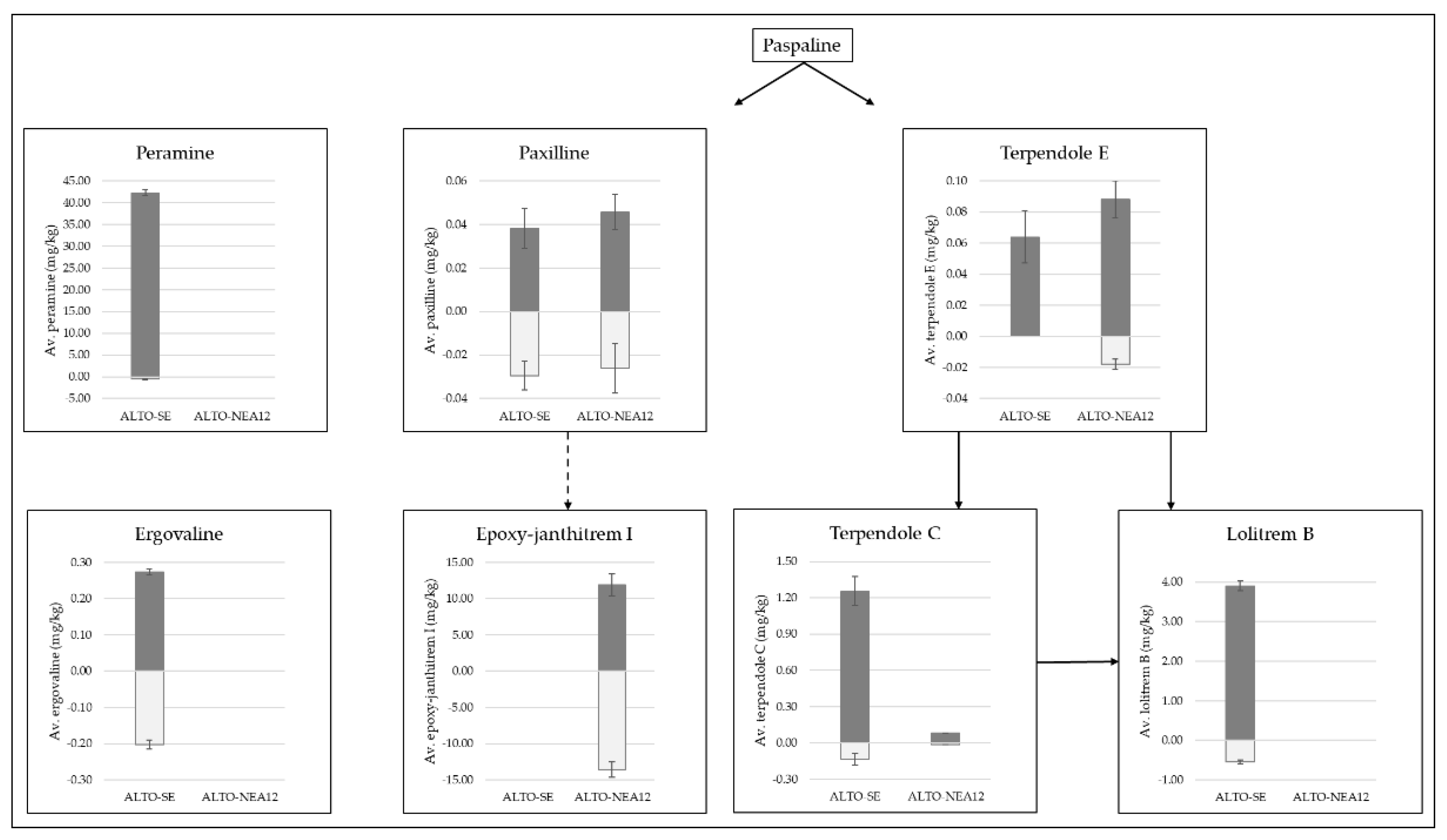
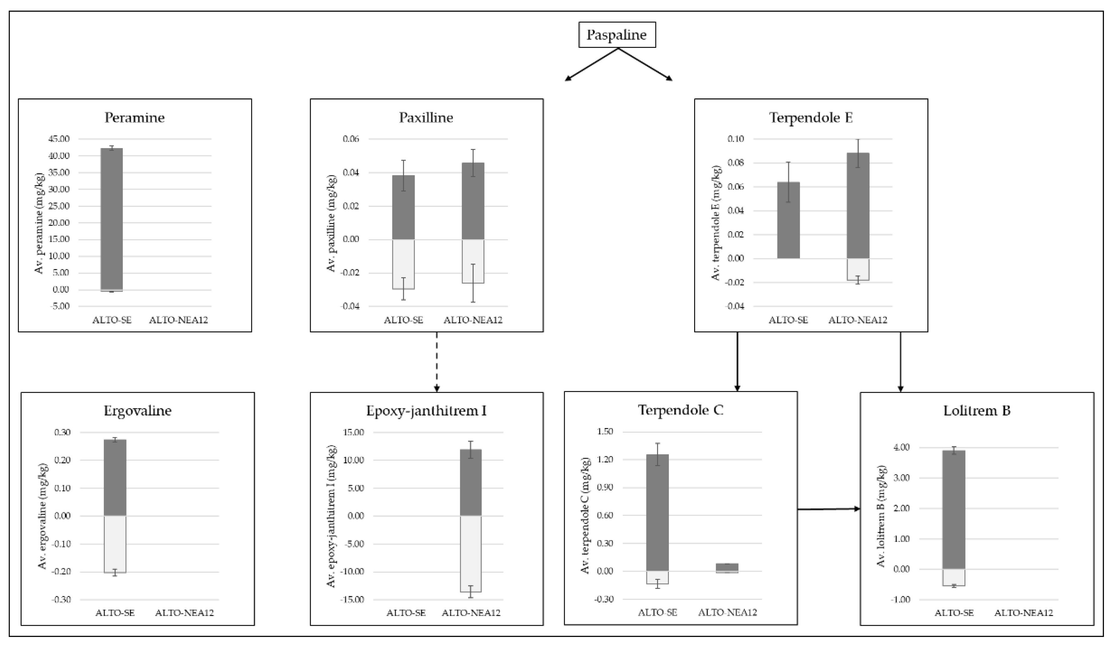
3. Results and Discussion
3.1. Alkaloid Recovery and the Impact of Plant Matrix
3.2. Quantitation and Distribution of Alkaloids
4. Conclusions
Supplementary Materials
Author Contributions
Funding
Institutional Review Board Statement
Informed Consent Statement
Data Availability Statement
Acknowledgments
Conflicts of Interest
References
- Scott, B. Epichloë endophytes: Fungal symbionts of grasses. Curr. Opin. Microbiol. 2001, 4, 393–398. [Google Scholar] [CrossRef] [PubMed]
- Schardl, C.L. Epichloë festucae and related mutualistic symbionts of grasses. Fungal Genet. Biol. 2001, 33, 69–82. [Google Scholar] [CrossRef] [PubMed]
- Schardl, C.L.; Young, C.A.; Hesse, U.; Amyotte, S.G.; Andreeva, K.; Calie, P.J.; Fleetwood, D.J.; Haws, D.C.; Moore, N.; Oeser, B. Plant-symbiotic fungi as chemical engineers: Multi-genome analysis of the clavicipitaceae reveals dynamics of alkaloid Loci. PLoS Genet. 2013, 9, 28. [Google Scholar] [CrossRef]
- Malinowski, D.; Belesky, D. Epichloë (formerly Neotyphodium) fungal endophytes increase adaptation of cool-season perennial grasses to environmental stresses. Acta Agrobot. 2019, 72, 1767. [Google Scholar] [CrossRef]
- Saikkonen, K.; Wäli, P.; Helander, M.; Faeth, S.H. Evolution of endophyte–plant symbioses. Trends Plant Sci. 2004, 9, 275–280. [Google Scholar] [CrossRef]
- Malinowski, D.P.; Belesky, D.P. Adaptations of endophyte-infected cool-season grasses to environmental stresses: Mechanisms of drought and mineral stress tolerance. Crop Sci. 2000, 40, 923–940. [Google Scholar] [CrossRef]
- Clay, K.; Schardl, C. Evolutionary origins and ecological consequences of endophyte symbiosis with grasses. Am. Nat. 2002, 160, S99–S127. [Google Scholar] [CrossRef]
- Zain, M.E. Impact of mycotoxins on humans and animals. J. Saudi Chem. Soc. 2011, 15, 129–144. [Google Scholar] [CrossRef]
- Wilson, D. Fungal endophytes: Out of sight but should not be out of mind. Oikos 1993, 68, 379–384. [Google Scholar] [CrossRef]
- Bush, L.P.; Wilkinson, H.H.; Schardl, C.L. Bioprotective alkaloids of grass-fungal endophyte symbioses. Plant Physiol. 1997, 114, 1. [Google Scholar] [CrossRef]
- Rowan, D.D.; Hunt, M.B.; Gaynor, D.L. Peramine, a novel insect feeding deterrent from ryegrass infected with the endophyte Acremonium loliae. J. Chem. Soc. Chem. Commun. 1986, 12, 935–936. [Google Scholar] [CrossRef]
- Siegel, M.; Latch, G.; Bush, L.; Fannin, F.; Rowan, D.; Tapper, B.; Bacon, C.; Johnson, M. Fungal endophyte-infected grasses: Alkaloid accumulation and aphid response. J. Chem. Ecol. 1990, 16, 3301–3315. [Google Scholar] [CrossRef] [PubMed]
- Popay, A.; Hume, D.; Davis, K.; Tapper, B. Interactions between endophyte (Neotyphodium spp.) and ploidy in hybrid and perennial ryegrass cultivars and their effects on Argentine stem weevil (Listronotus bonariensis). New Zealand J. Agric. Res. 2003, 46, 311–319. [Google Scholar] [CrossRef]
- Fletcher, L.; Sutherland, B. Sheep responses to grazing ryegrass with AR37 endophyte. Proc. New Zealand Grassl. Assoc. 2009, 71, 127–132. [Google Scholar] [CrossRef]
- Fletcher, L.; Finch, S.; Sutherland, B.; deNicolo, G.; Mace, W.; Van Koten, C.; Hume, D. The occurrence of ryegrass staggers and heat stress in sheep grazing ryegrass-endophyte associations with diverse alkaloid profiles. New Zealand Vet. J. 2017, 65, 232–241. [Google Scholar] [CrossRef]
- Tapper, B.A.; Lane, G.A. Janthitrems found in a Neotyphodium endophyte of perennial ryegrass. In Proceedings of the 5th International Symposium on Neotyphodium/Grass Interactions, Fayetteville, AR, USA, 23–26 May 2004. [Google Scholar]
- Finch, S.; Fletcher, L.; Babu, J. The evaluation of endophyte toxin residues in sheep fat. New Zealand Vet. J. 2011, 60, 56–60. [Google Scholar] [CrossRef]
- Ludlow, E.J.; Vassiliadis, S.; Ekanayake, P.N.; Hettiarachchige, I.K.; Reddy, P.; Sawbridge, T.I.; Rochfort, S.J.; Spangenberg, G.C.; Guthridge, K.M. Analysis of the indole diterpene gene cluster for biosynthesis of the epoxy-janthitrems in Epichloë endophytes. Microorganisms 2019, 7, 560. [Google Scholar] [CrossRef]
- Babu, J.V.; Popay, A.J.; Miles, C.O.; Wilkins, A.L.; di Menna, M.E.; Finch, S.C. Identification and structure elucidation of janthitrems A and D from Penicillium janthinellum and determination of the tremorgenic and anti-insect activity of janthitrems A and B. J. Agric. Food Chem. 2018, 66, 13116–13125. [Google Scholar] [CrossRef]
- Hennessy, L.M.; Popay, A.J.; Finch, S.C.; Clearwater, M.J.; Cave, V.M. Temperature and plant genotype alter alkaloid concentrations in ryegrass infected with an Epichloë endophyte and this affects an insect herbivore. Front. Plant Sci. 2016, 7, 1097. [Google Scholar] [CrossRef]
- Mantle, P.G.; Penn, J. A role for paxilline in the biosynthesis of indole–diterpenoid penitrem mycotoxins. J. Chem. Soc. Perkin Trans. 1 1989, 1539–1540. [Google Scholar] [CrossRef]
- Penn, J.; Mantle, P.G. Biosynthetic intermediates of indole-diterpenoid mycotoxins from selected transformations at C-10 of paxilline. Phytochemistry 1994, 35, 921–926. [Google Scholar] [CrossRef]
- Young, C.A.; Tapper, B.A.; May, K.; Moon, C.D.; Schardl, C.L.; Scott, B. Indole-diterpene biosynthetic capability of Epichloë endophytes as predicted by ltm gene analysis. Appl. Environ. Microbiol. 2009, 75, 2200–2211. [Google Scholar] [CrossRef] [PubMed]
- Schardl, C.L.; Young, C.A.; Faulkner, J.R.; Florea, S.; Pan, J. Chemotypic diversity of Epichloë, fungal symbionts of grasses. Fungal Ecol. 2012, 5, 331–344. [Google Scholar] [CrossRef]
- Reddy, P.; Rochfort, S.; Read, E.; Deseo, M.; Jaehne, E.; Van Den Buuse, M.; Guthridge, K.; Combs, M.; Spangenberg, G.; Quinn, J. Tremorgenic effects and functional metabolomics analysis of lolitrem B and its biosynthetic intermediates. Sci. Rep. 2019, 9, 9364. [Google Scholar] [CrossRef]
- Reddy, P.; Guthridge, K.; Vassiliadis, S.; Hemsworth, J.; Hettiarachchige, I.; Spangenberg, G.; Rochfort, S. Tremorgenic mycotoxins: Structure diversity and biological activity. Toxins 2019, 11, 302. [Google Scholar] [CrossRef]
- Weedon, C.M.; Mantle, P.G. Paxilline biosynthesis by Acremonium loliae; a step towards defining the origin of lolitrem neurotoxins. Phytochemistry 1987, 26, 969–971. [Google Scholar] [CrossRef]
- Gallagher, R.; Campbell, A.; Hawkes, A.; Holland, P.; McGaveston, D.; Pansier, E.; Harvey, I. Ryegrass staggers: The presence of lolitrem neurotoxins in perennial ryegrass seed. New Zealand Vet. J. 1982, 30, 183–184. [Google Scholar] [CrossRef]
- Miles, C.O.; Munday, S.C.; Wilkins, A.L.; Ede, R.M.; Towers, N.R. Large-scale isolation of lolitrem B and structure determination of lolitrem E. J. Agric. Food Chem. 1994, 42, 1488–1492. [Google Scholar] [CrossRef]
- Reddy, P.; Deseo, M.; Ezernieks, V.; Guthridge, K.; Spangenberg, G.; Rochfort, S. Toxic indole diterpenes from endophyte-infected perennial ryegrass Lolium perenne L.: Isolation and stability. Toxins 2019, 11, 16. [Google Scholar] [CrossRef]
- Bailey, P.T. Pests of Field Crops and Pastures: Identification and Control; CSIRO Publishing: Clayton, Australia, 2007. [Google Scholar]
- Popay, A.J.; Cox, N.R. Aploneura lentisci (Homoptera: Aphididae) and its interactions with fungal endophytes in perennial ryegrass (Lolium perenne). Front. Plant Sci. 2016, 7, 1395. [Google Scholar] [CrossRef]
- Hume, D.; Ryan, D.; Cooper, B.; Popay, A. Agronomic performance of AR37-infected ryegrass in northern New Zealand. Proc. Conf.-New Zealand Grassl. Assoc. 2007, 69, 201. [Google Scholar] [CrossRef]
- Popay, A.; Gerard, P. Cultivar and endophyte effects on a root aphid Aploneura lentisci in perennial ryegrass. New Zealand Plant Prot. 2007, 60, 223–227. [Google Scholar] [CrossRef]
- Vassiliadis, S.; Elkins, A.C.; Reddy, P.; Guthridge, K.M.; Spangenberg, G.C.; Rochfort, S.J. A simple LC–MS method for the quantitation of alkaloids in endophyte-infected perennial ryegrass. Toxins 2019, 11, 649. [Google Scholar] [CrossRef]
- Peters, F.T.; Drummer, O.H.; Musshoff, F. Validation of new methods. Forensic Sci. Int. 2007, 165, 216–224. [Google Scholar] [CrossRef]
- Rasmussen, S.; Lane, G.A.; Mace, W.; Parsons, A.J.; Fraser, K.; Xue, H. The use of genomics and metabolomics methods to quantify fungal endosymbionts and alkaloids in grasses. In Plant Metabolomics. Methods in Molecular Biology; Humana Press: Totova, NJ, USA, 2011; pp. 213–226. [Google Scholar]
- Spiering, M.J.; Davies, E.; Tapper, B.A.; Schmid, J.; Lane, G.A. Simplified extraction of ergovaline and peramine for analysis of tissue distribution in endophyte-infected grass tillers. J. Agric. Food Chem. 2002, 50, 5856–5862. [Google Scholar] [CrossRef] [PubMed]
- Zaiontz, C. Real Statistics Using Excel; Scientific Research Publishing Inc.: Wuhan, China, 2020. [Google Scholar]
- Smith, D.; Shappell, N. Epimerization of ergopeptine alkaloids in organic and aqueous solvents. J. Anim. Sci. 2002, 80, 1616–1622. [Google Scholar] [CrossRef]
- Hafner, M.; Sulyok, M.; Schuhmacher, R.; Crews, C.; Krska, R. Stability and epimerisation behaviour of ergot alkaloids in various solvents. World Mycotoxin J. 2008, 1, 67–78. [Google Scholar] [CrossRef]
- Lea, K.; Smith, L.; Gaskill, C.; Coleman, R.; Smith, S. Ergovaline stability in tall fescue based on sample handling and storage methods. Front. Chem. 2014, 2, 76. [Google Scholar] [CrossRef]
- Craig, A.M.; Bilich, D.; Hovermale, J.T.; Welty, R.E. Improved extraction and HPLC methods for ergovaline from plant material and rumen fluid. J. Vet. Diagn. Investig. 1994, 6, 348–352. [Google Scholar] [CrossRef]
- Rottinghaus, G.E.; Garner, G.B.; Cornell, C.N.; Ellis, J.L. HPLC method for quantitating ergovaline in endophyte-infested tall fescue: Seasonal variation of ergovaline levels in stems with leaf sheaths, leaf blades, and seed heads. J. Agric. Food Chem. 1991, 39, 112–115. [Google Scholar] [CrossRef]
- Ball, O.-P.; Barker, G.; Prestidge, R.; Lauren, D. Distribution and accumulation of the alkaloid peramine in Neotyphodium lolii-infected perennial ryegrass. J. Chem. Ecol. 1997, 23, 1419–1434. [Google Scholar] [CrossRef]
- Hewitt, K.G.; Mace, W.J.; McKenzie, C.M.; Matthew, C.; Popay, A.J. Fungal alkaloid occurrence in endophyte-infected perennial ryegrass during seedling establishment. J. Chem. Ecol. 2020, 46, 410–421. [Google Scholar] [CrossRef]
- Ruppert, K.G.; Matthew, C.; McKenzie, C.M.; Popay, A.J. Impact of Epichloë endophytes on adult Argentine stem weevil damage to perennial ryegrass seedlings. Entomol. Exp. Et Appl. 2017, 163, 328–337. [Google Scholar] [CrossRef]
- Popay, A.J.; Hume, D.E.; Mace, W.J.; Faville, M.J.; Finch, S.C.; Cave, V. A root aphid Aploneura lentisci is affected by Epichloë endophyte strain and impacts perennial ryegrass growth in the field. Crop Pasture Sci. 2021, 72, 155–164. [Google Scholar] [CrossRef]
- Repussard, C.; Zbib, N.; Tardieu, D.; Guerre, P. Ergovaline and lolitrem B concentrations in perennial ryegrass in field culture in southern France: Distribution in the plant and impact of climatic factors. J. Agric. Food Chem. 2014, 62, 12707–12712. [Google Scholar] [CrossRef]
- Rowan, D.D.; Dymock, J.J.; Brimble, M.A. Effect of fungal metabolite peramine and analogs on feeding and development of Argentine stem weevil (Listronotus bonariensis). J. Chem. Ecol. 1990, 16, 1683–1695. [Google Scholar] [CrossRef]
- Kanehisa, M. Toward understanding the origin and evolution of cellular organisms. Protein Sci. 2019, 28, 1947–1951. [Google Scholar] [CrossRef]
- Kanehisa, M.; Furumichi, M.; Sato, Y.; Ishiguro-Watanabe, M.; Tanabe, M. KEGG: Integrating viruses and cellular organisms. Nucleic Acids Res. 2021, 49, D545–D551. [Google Scholar] [CrossRef]
- Kanehisa, M.; Goto, S. KEGG: Kyoto encyclopedia of genes and genomes. Nucleic Acids Res. 2000, 28, 27–30. [Google Scholar] [CrossRef]
- Springer, J.P.; Clardy, J. Paspaline and paspalicine, two indole-mevalonate metabolites from Claviceps paspali. Tetrahedron Lett. 1980, 21, 231–234. [Google Scholar] [CrossRef]
- Munday-Finch, S.C. Aspects of the chemistry and toxicology of indole-diterpenoid mycotoxins involved in tremorganic disorder of livestock. Mycotoxin Res. 1997, 13, 88. [Google Scholar] [CrossRef] [PubMed]
- Eady, C. The impact of alkaloid-producing Epichloë endophyte on forage ryegrass breeding: A New Zealand perspective. Toxins 2021, 13, 158. [Google Scholar] [CrossRef]
- Gardner, D.R.; Welch, K.D.; Lee, S.T.; Cook, D.; Riet-Correa, F. Tremorgenic indole diterpenes from Ipomoea asarifolia and Ipomoea muelleri and the identification of 6, 7-dehydro-11-hydroxy-12, 13-epoxyterpendole A. J. Nat. Prod. 2018, 81, 1682–1686. [Google Scholar] [CrossRef] [PubMed]
- Popay, A.; Thom, E. Endophyte effects on major insect pests in Waikato dairy pasture. Proc. New Zealand Grassl. Assoc. 2009, 71, 121–126. [Google Scholar] [CrossRef]
- Pennell, C.; Popay, A.; Ball, O.J.P.; Hume, D.; Baird, D. Occurrence and impact of pasture mealybug (Balanococcus poae) and root aphid (Aploneura lentisci) on ryegrass (Lolium spp.) with and without infection by Neotyphodium fungal endophytes. New Zealand J. Agric. Res. 2005, 48, 329–337. [Google Scholar] [CrossRef]



| Standard | 1 | 2 | 3 | 4 * | 5 | 6 | 7* | 8 | 9 | 10 * |
|---|---|---|---|---|---|---|---|---|---|---|
| Peramine | 0.46 | 0.91 | 4.55 | 9.11 | 22.77 | 45.54 | 91.07 | 227.68 | 455.35 | 910.71 |
| Ergotamine | 0.54 | 1.08 | 5.41 | 10.83 | 27.06 | 54.13 | 108.25 | 270.64 | 541.27 | 1082.54 |
| Janthitrem A | 0.60 | 1.20 | 5.99 | 11.97 | 29.93 | 59.85 | 119.70 | 299.25 | 598.50 | 1197.00 |
| Paxilline | 0.55 | 1.10 | 5.50 | 11.00 | 27.50 | 55.00 | 110.00 | 275.00 | 550.00 | 1100.00 |
| Terpendole E | 0.48 | 0.95 | 4.75 | 9.50 | 23.75 | 47.50 | 95.00 | 237.50 | 475.00 | 950.00 |
| Lolitrem B | 0.60 | 1.20 | 6.00 | 12.00 | 30.00 | 60.00 | 120.00 | 300.00 | 600.00 | 1200.00 |
| Terpendole C | 0.50 | 1.00 | 5.00 | 10.00 | 25.00 | 50.00 | 100.00 | 250.00 | 500.00 | 1000.00 |
| Alkaloid | Ion | RT | Formula | Δ ppm | Resolution | LOD/LOQ | Equation | R2 | Level | Actual Concentration | Measured Concentration | Accuracy | Precision |
|---|---|---|---|---|---|---|---|---|---|---|---|---|---|
| (m/z) | (min) | [M+H]+ | (ng/mL) | (ng/mL) | (ng/mL) | (% Bias) | (% RSD) | ||||||
| Low | 9.1 | 10.1 | 110.9 | 4.4 | |||||||||
| Peramine | 248.1504 | 3.56 | C12H18N5O | −0.79 | 34,407 | 0.2/0.5 | y = 571,742x | 0.9928 | Med | 91.1 | 91.0 | 99.9 | 2.4 |
| High | 910.7 | 910.5 | 100.0 | 6.8 | |||||||||
| Low | 10.8 | 9.8 | 90.4 | 3.5 | |||||||||
| Ergotamine | 582.2708 | 5.79 | C33H36N5O5 | −0.70 | 23,707 | 0.2/0.5 | y = 320,514x | 0.9983 | Med | 108.3 | 108.4 | 100.1 | 5.0 |
| High | 1082.5 | 1085.5 | 100.3 | 1.8 | |||||||||
| Low | 12.0 | 10.8 | 90.5 | 4.7 | |||||||||
| Janthitrem A 1 | 602.3461 | 8.85 | C37H48NO6 | −2.56 | 23,307 | 0.2/0.6 | y = 90,835x | 0.9970 | Med | 119.7 | 119.8 | 100.1 | 2.4 |
| High | 1197.0 | 1200.0 | 100.2 | 3.6 | |||||||||
| Low | 12.0 | 13.4 | 112.2 | 5.6 | |||||||||
| Janthitrem A 2 | 526.2939 | 8.85 | C34H40NO4 | −2.35 | 24,707 | 0.2/0.6 | y = 99,906x | 0.9989 | Med | 119.7 | 119.6 | 99.9 | 3.0 |
| High | 1197.0 | 1197.8 | 100.1 | 2.5 | |||||||||
| Low | 11.0 | 10.4 | 94.5 | 3.4 | |||||||||
| Paxilline | 436.2478 | 9.92 | C27H34NO4 | −1.00 | 27,407 | 0.2/0.6 | y = 213,433x | 0.9975 | Med | 110.0 | 110.1 | 100.1 | 2.8 |
| High | 1100.0 | 1101.3 | 100.1 | 3.8 | |||||||||
| Low | 9.5 | 8.9 | 93.9 | 4.3 | |||||||||
| Terpendole E 1 | 438.2995 | 10.07 | C28H40NO3 | −1.76 | 27,207 | 0.2/0.5 | y = 128,737x | 0.9921 | Med | 95.0 | 95.1 | 100.1 | 3.1 |
| High | 950.0 | 952.7 | 100.3 | 6.6 | |||||||||
| Low | 9.5 | 9.4 | 99.4 | 3.5 | |||||||||
| Terpendole E 2 | 420.2894 | 10.07 | C28H38NO2 | −0.82 | 28,007 | 0.2/0.5 | y = 362,759x | 0.9980 | Med | 95.0 | 95.0 | 100.0 | 3.7 |
| High | 950.0 | 950.2 | 100.0 | 3.5 | |||||||||
| Low | 10.0 | 2.0 | 20.2 | 66.8 | |||||||||
| Terpendole C 1 | 520.3053 | 11.18 | C32H42NO5 | −0.87 | 24,807 | 0.2/0.6 | y = 362,759 | 0.9980 | Med | 100.0 | 100.8 | 100.8 | 4.7 |
| High | 1000.0 | 1003.2 | 100.3 | 6.6 | |||||||||
| Low | 10.0 | 9.7 | 96.7 | 3.8 | |||||||||
| Terpendole C 2 | 436.2481 | 11.18 | C27H34NO4 | −0.29 | 27,407 | 0.2/0.6 | y = 44,335x | 0.9919 | Med | 100.0 | 100.0 | 100.0 | 3.7 |
| High | 1000.0 | 1000.5 | 100.1 | 3.9 | |||||||||
| Low | 12.0 | 11.5 | 96.2 | 7.3 | |||||||||
| Lolitrem B | 686.4049 | 11.25 | C42H56NO7 | −0.32 | 21,607 | 0.2/0.5 | y = 119,033x | 0.9971 | Med | 120.0 | 120.0 | 100.0 | 4.3 |
| High | 1200.0 | 1200.9 | 100.1 | 4.2 |
| Peramine | Ergotamine | Janthitrem A 1 | Janthitrem A 2 | Paxilline | Terpendole E 1 | Terpendole E 2 | Terpendole C 1 | Terpendole C 2 | Lolitrem B | |||||||||||||
|---|---|---|---|---|---|---|---|---|---|---|---|---|---|---|---|---|---|---|---|---|---|---|
| Tissue | Plant | Level | RE | ME | RE | ME | RE | ME | RE | ME | RE | ME | RE | ME | RE | ME | RE | ME | RE | ME | RE | ME |
| Alto-WE | Low | 51 | 117 | 81 | 94 | 85 | 104 | 85 | 107 | 90 | 100 | 91 | 103 | 89 | 98 | 94 | 215 | 91 | 95 | 91 | 91 | |
| Med | 58 | 113 | 88 | 93 | 92 | 101 | 93 | 103 | 95 | 98 | 97 | 101 | 95 | 98 | 100 | 103 | 95 | 95 | 93 | 97 | ||
| High | 62 | 96 | 88 | 94 | 92 | 93 | 93 | 96 | 94 | 93 | 92 | 94 | 95 | 93 | 95 | 96 | 98 | 93 | 99 | 87 | ||
| Roots | Alto-SE | Low | 51 | 96 | 81 | 100 | 89 | 102 | 93 | 101 | 90 | 106 | 92 | 102 | 91 | 99 | 110 | 175 | 88 | 101 | 86 | 100 |
| Med | 55 | 98 | 82 | 95 | 91 | 95 | 91 | 100 | 91 | 98 | 92 | 100 | 92 | 96 | 89 | 108 | 93 | 95 | 93 | 98 | ||
| High | 62 | 90 | 84 | 95 | 91 | 89 | 92 | 94 | 92 | 95 | 89 | 96 | 92 | 93 | 92 | 95 | 92 | 92 | 93 | 92 | ||
| Alto-NEA12 | Low | 52 | 101 | 76 | 100 | 90 | 104 | 90 | 109 | 91 | 101 | 88 | 104 | 90 | 100 | 179 | 140 | 88 | 102 | 88 | 98 | |
| Med | 59 | 99 | 81 | 96 | 91 | 102 | 91 | 107 | 90 | 101 | 92 | 102 | 89 | 99 | 102 | 103 | 89 | 96 | 91 | 97 | ||
| High | 63 | 91 | 85 | 92 | 93 | 89 | 93 | 97 | 92 | 94 | 93 | 93 | 92 | 93 | 99 | 90 | 95 | 90 | 95 | 91 | ||
| Alto-WE | Low | 99 | 88 | 93 | 93 | 96 | 66 | 88 | 77 | 96 | 61 | 96 | 69 | 96 | 66 | 120 | 120 | 96 | 59 | 123 | 61 | |
| Med | 96 | 89 | 90 | 88 | 87 | 66 | 85 | 72 | 88 | 62 | 90 | 69 | 91 | 65 | 88 | 61 | 92 | 59 | 94 | 72 | ||
| High | 88 | 85 | 81 | 87 | 64 | 74 | 65 | 80 | 60 | 74 | 64 | 74 | 70 | 74 | 62 | 71 | 63 | 69 | 81 | 81 | ||
| Shoots | Alto-SE | Low | 188 | 85 | 87 | 84 | 82 | 72 | 85 | 74 | 95 | 60 | 87 | 67 | 90 | 62 | 139 | 127 | 82 | 71 | 30 | 31 |
| Med | 84 | 74 | 89 | 79 | 77 | 68 | 78 | 72 | 75 | 63 | 77 | 69 | 81 | 66 | 74 | 64 | 76 | 57 | 90 | 73 | ||
| High | 82 | 84 | 77 | 86 | 52 | 75 | 54 | 80 | 50 | 73 | 53 | 73 | 58 | 78 | 46 | 72 | 49 | 71 | 75 | 85 | ||
| Alto-NEA12 | Low | 92 | 97 | 83 | 96 | 78 | 73 | 82 | 79 | 55 | 69 | 75 | 73 | 80 | 68 | 89 | 126 | 83 | 63 | 64 | 31 | |
| Med | 94 | 98 | 89 | 87 | 82 | 66 | 81 | 71 | 81 | 62 | 83 | 69 | 84 | 66 | 85 | 61 | 80 | 60 | 92 | 70 | ||
| High | 86 | 91 | 83 | 85 | 59 | 73 | 61 | 78 | 56 | 72 | 59 | 72 | 64 | 76 | 54 | 68 | 57 | 69 | 83 | 78 | ||
| Alto-WE | Low | 87 | 104 | 84 | 94 | 87 | 98 | 91 | 97 | 93 | 99 | 92 | 100 | 92 | 92 | 92 | 367 | 91 | 92 | 93 | 87 | |
| Med | 94 | 98 | 88 | 88 | 97 | 88 | 95 | 93 | 96 | 94 | 97 | 97 | 101 | 85 | 92 | 99 | 93 | 87 | 94 | 90 | ||
| High | 95 | 92 | 95 | 92 | 90 | 90 | 88 | 94 | 94 | 91 | 97 | 89 | 95 | 90 | 90 | 88 | 93 | 86 | 95 | 86 | ||
| Seeds | Alto-SE | Low | 50 | 284 | 87 | 88 | 91 | 105 | 92 | 93 | 78 | 98 | 74 | 112 | 75 | 90 | 37 | 190 | 61 | 71 | 18 | 166 |
| Med | 79 | 102 | 90 | 85 | 93 | 98 | 93 | 93 | 93 | 95 | 92 | 102 | 92 | 87 | 55 | 124 | 43 | 79 | 80 | 86 | ||
| High | 91 | 87 | 90 | 91 | 89 | 90 | 89 | 93 | 89 | 92 | 91 | 92 | 91 | 89 | 84 | 97 | 85 | 83 | 90 | 85 | ||
| Alto-NEA12 | Low | 85 | 100 | 80 | 96 | 85 | 100 | 86 | 97 | 83 | 98 | 79 | 111 | 86 | 89 | 85 | 470 | 80 | 74 | 93 | 85 | |
| Med | 87 | 101 | 85 | 86 | 88 | 91 | 87 | 93 | 87 | 95 | 89 | 95 | 88 | 90 | 88 | 97 | 87 | 87 | 91 | 85 | ||
| High | 90 | 92 | 90 | 90 | 86 | 91 | 86 | 93 | 90 | 90 | 89 | 89 | 90 | 89 | 88 | 88 | 90 | 85 | 94 | 83 | ||
Disclaimer/Publisher’s Note: The statements, opinions and data contained in all publications are solely those of the individual author(s) and contributor(s) and not of MDPI and/or the editor(s). MDPI and/or the editor(s) disclaim responsibility for any injury to people or property resulting from any ideas, methods, instructions or products referred to in the content. |
© 2023 by the authors. Licensee MDPI, Basel, Switzerland. This article is an open access article distributed under the terms and conditions of the Creative Commons Attribution (CC BY) license (https://creativecommons.org/licenses/by/4.0/).
Share and Cite
Vassiliadis, S.; Reddy, P.; Hemsworth, J.; Spangenberg, G.C.; Guthridge, K.M.; Rochfort, S.J. Quantitation and Distribution of Epichloë-Derived Alkaloids in Perennial Ryegrass Tissues. Metabolites 2023, 13, 205. https://doi.org/10.3390/metabo13020205
Vassiliadis S, Reddy P, Hemsworth J, Spangenberg GC, Guthridge KM, Rochfort SJ. Quantitation and Distribution of Epichloë-Derived Alkaloids in Perennial Ryegrass Tissues. Metabolites. 2023; 13(2):205. https://doi.org/10.3390/metabo13020205
Chicago/Turabian StyleVassiliadis, Simone, Priyanka Reddy, Joanne Hemsworth, German C. Spangenberg, Kathryn M. Guthridge, and Simone J. Rochfort. 2023. "Quantitation and Distribution of Epichloë-Derived Alkaloids in Perennial Ryegrass Tissues" Metabolites 13, no. 2: 205. https://doi.org/10.3390/metabo13020205
APA StyleVassiliadis, S., Reddy, P., Hemsworth, J., Spangenberg, G. C., Guthridge, K. M., & Rochfort, S. J. (2023). Quantitation and Distribution of Epichloë-Derived Alkaloids in Perennial Ryegrass Tissues. Metabolites, 13(2), 205. https://doi.org/10.3390/metabo13020205

