The Catalytic Domain of Neuropathy Target Esterase Influences Lipid Droplet Biogenesis and Lipid Metabolism in Human Neuroblastoma Cells
Abstract
:1. Introduction
2. Results
2.1. Functional Contribution of CBDs to the ER and LD Targeting of NTE
2.2. Effect of NEST on LD Biogenesis in Human Neuroblastoma Cells
2.3. Stable Expression of NEST Promoted TG Accumulation in Human Neuroblastoma Cells
2.4. Overexpression of NEST Altered Levels of TG and FFA
2.5. Stable Expression of NEST Affected Levels of LPC, but Not PC
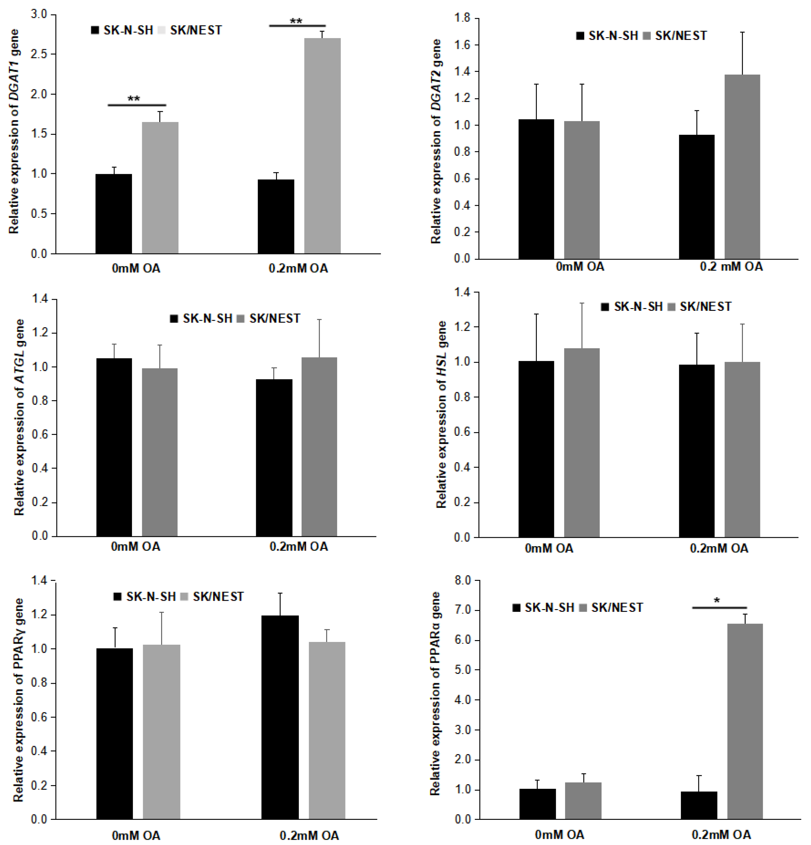
2.6. Overexpression of NEST Increased the Expression of DGAT1 and PPARα Genes
3. Discussion
4. Materials and Methods
4.1. Materials
4.2. Plasmids Construction
4.3. Cell Culture and Transfection
4.4. Confocal Fluorescence Microscopy
4.5. Measurement of TG Levels
4.6. Quantitative Targeted Lipidomic Analysis
4.7. RNA Extraction and RT-qPCR
4.8. Statistical Analysis
Supplementary Materials
Author Contributions
Funding
Institutional Review Board Statement
Informed Consent Statement
Data Availability Statement
Acknowledgments
Conflicts of Interest
References
- Richardson, R.J.; Hein, N.D.; Wijeyesakere, S.J.; Fink, J.K.; Makhaeva, G.F. Neuropathy target esterase (NTE): Overview and future. Chem. Biol. Interact. 2013, 203, 238–244. [Google Scholar] [CrossRef] [PubMed]
- Richardson, R.J.; Fink, J.K.; Glynn, P.; Hufnagel, R.B.; Makhaeva, G.F.; Wijeyesakere, S.J. Neuropathy target esterase (NTE/PNPLA6) and organophosphorus compound-induced delayed neurotoxicity (OPIDN). Adv. Neurotoxicol. 2020, 4, 1–78. [Google Scholar] [PubMed]
- Wilson, P.A.; Gardner, S.D.; Lambie, N.M.; Commans, S.A.; Crowther, D.J. Characterization of the human patatin-like phospholipase family. J. Lipid Res. 2006, 47, 1940–1949. [Google Scholar] [CrossRef] [PubMed] [Green Version]
- Kienesberger, P.C.; Oberer, M.; Lass, A.; Zechner, R. Mammalian patatin domain containing proteins: A family with diverse lipolytic activities involved in multiple biological functions. J. Lipid Res. 2009, 50, S63–S68. [Google Scholar] [CrossRef] [PubMed] [Green Version]
- Chang, P.A.; Wu, Y.J. Neuropathy target esterase: An essential enzyme for neural development and axonal maintenance. Int. J. Biochem. Cell Biol. 2010, 42, 573–575. [Google Scholar] [CrossRef]
- Li, Y.; Dinsdale, D.; Glynn, P. Protein domains, catalytic activity, and subcellular distribution of neuropathy target esterase in Mammalian cells. J. Biol. Chem. 2003, 278, 8820–8825. [Google Scholar] [CrossRef] [Green Version]
- Akassoglou, K.; Malester, B.; Xu, J.; Tessarollo, L.; Rosenbluth, J.; Chao, M.V. Brain-specific deletion of neuropathy target esterase/swiss cheese results in neurodegeneration. Proc. Natl. Acad. Sci. USA 2004, 101, 5075–5080. [Google Scholar] [CrossRef] [Green Version]
- Chang, P.; He, L.; Wang, Y.; Heier, C.; Wu, Y.; Huang, F. Characterization of the Interaction of neuropathy target esterase with the endoplasmic reticulum and lipid droplets. Biomolecules 2019, 9, 848. [Google Scholar] [CrossRef]
- Wijeyesakere, S.J.; Richardson, R.J.; Stuckey, J.A. Modeling the tertiary structure of the patatin domain of neuropathy target esterase. Protein J. 2007, 26, 165–172. [Google Scholar] [CrossRef]
- Quistad, G.B.; Barlow, C.; Winrow, C.J.; Sparks, S.E.; Casida, J.E. Evidence that mouse brain neuropathy target esterase is a lysophospholipase. Proc. Natl. Acad. Sci. USA 2003, 100, 7983–7987. [Google Scholar] [CrossRef] [Green Version]
- Zaccheo, O.; Dinsdale, D.; Meacock, P.A.; Glynn, P. Neuropathy target esterase and its yeast homologue degrade phosphatidylcholine to glycerophosphocholine in living cells. J. Biol. Chem. 2004, 279, 24024–24033. [Google Scholar] [CrossRef] [PubMed] [Green Version]
- Read, D.J.; Li, Y.; Chao, M.V.; Cavanagh, J.B.; Glynn, P. Neuropathy target esterase is required for adult vertebrate axon maintenance. J. Neurosci. 2009, 29, 11594–11600. [Google Scholar] [CrossRef] [PubMed] [Green Version]
- Vose, S.C.; Fujioka, K.; Gulevich, A.G.; Lin, A.Y.; Holland, N.T.; Casida, J.E. Cellular function of neuropathy target esterase in lysophosphatidylcholine action. Toxicol. Appl. Pharmacol. 2008, 232, 376–383. [Google Scholar] [CrossRef]
- Mühlig-Versen, M.; da Cruz, A.B.; Tschäpe, J.A.; Moser, M.; Büttner, R.; Athenstaedt, K.; Glynn, P.; Kretzschmar, D. Loss of Swiss cheese/neuropathy target esterase activity causes disruption of phosphatidylcholine homeostasis and neuronal and glial death in adult Drosophila. J. Neurosci. 2005, 25, 2865–2873. [Google Scholar] [CrossRef] [PubMed] [Green Version]
- Kmoch, S.; Majewski, J.; Ramamurthy, V.; Cao, S.; Fahiminiya, S.; Ren, H.; MacDonald, I.M.; Lopez, I.; Sun, V.; Keser, V.; et al. Mutations in PNPLA6 are linked to photoreceptor degeneration and various forms of childhood blindness. Nat. Commun. 2015, 6, 5614. [Google Scholar] [CrossRef] [PubMed] [Green Version]
- Sunderhaus, E.R.; Law, A.D.; Kretzschmar, D. ER responses play a key role in Swiss-Cheese/Neuropathy Target Esterase-associated neurodegeneration. Neurobiol. Dis. 2019, 130, 104520. [Google Scholar] [CrossRef]
- Sunderhaus, E.R.; Law, A.D.; Kretzschmar, D. Disease-associated PNPLA6 mutations maintain partial functions when analyzed in Drosophila. Front. Neurosci. 2019, 13, 1207. [Google Scholar] [CrossRef]
- Atkins, J.; Glynn, P. Membrane association of and critical residues in the catalytic domain of human neuropathy target esterase. J. Biol. Chem. 2000, 275, 24477–24483. [Google Scholar] [CrossRef] [Green Version]
- Van Tienhoven, M.; Atkins, J.; Li, Y.; Glynn, P. Human neuropathy target esterase catalyzes hydrolysis of membrane lipids. J. Biol. Chem. 2002, 277, 20942–20948. [Google Scholar] [CrossRef] [Green Version]
- Winrow, C.J.; Hemming, M.L.; Allen, D.M.; Quistad, G.B.; Casida, J.E.; Barlow, C. Loss of neuropathy target esterase in mice links organophosphate exposure to hyperactivity. Nat. Genet. 2003, 33, 477–485. [Google Scholar] [CrossRef] [Green Version]
- Moser, M.; Li, Y.; Vaupel, K.; Kretzschmar, D.; Kluge, R.; Glynn, P.; Buettner, R. Placental failure and impaired vasculogenesis result in embryonic lethality for neuropathy target esterase-deficient mice. Mol. Cell. Biol. 2004, 24, 1667–1679. [Google Scholar] [CrossRef] [PubMed] [Green Version]
- Song, Y.; Wang, M.; Mao, F.; Shao, M.; Zhao, B.; Song, Z.; Shao, C.; Gong, Y. Knockdown of Pnpla6 protein results in motor neuron defects in zebrafish. Dis. Model. Mech. 2013, 6, 404–413. [Google Scholar] [CrossRef] [PubMed] [Green Version]
- McFerrin, J.; Patton, B.L.; Sunderhaus, E.R.; Kretzschmar, D. NTE/PNPLA6 is expressed in mature Schwann cells and is required for glial ensheathment of Remak fibers. Glia 2017, 65, 804–816. [Google Scholar] [CrossRef] [PubMed] [Green Version]
- Kretzschmar, D.; Hasan, G.; Sharma, S.; Heisenberg, M.; Benzer, S. The swiss cheese mutant causes glial hyperwrapping and brain degeneration in Drosophila. J. Neurosci. 1997, 17, 7425–7432. [Google Scholar] [CrossRef] [PubMed] [Green Version]
- Dutta, S.; Rieche, F.; Eckl, N.; Duch, C.; Kretzschmar, D. Glial expression of Swiss cheese (SWS), the Drosophila orthologue of neuropathy target esterase (NTE), is required for neuronal ensheathment and function. Dis. Model. Mech. 2016, 9, 283–294. [Google Scholar]
- Ryabova, E.V.; Melentev, P.A.; Komissarov, A.E.; Surina, N.V.; Ivanova, E.A.; Matiytsiv, N.; Shcherbata, H.R.; Sarantseva, S.V. Morpho-functional consequences of Swiss Cheese knockdown in glia of Drosophila melanogaster. Cells 2021, 10, 529. [Google Scholar] [CrossRef]
- Melentev, P.A.; Ryabova, E.V.; Surina, N.V.; Zhmujdina, D.R.; Komissarov, A.E.; Ivanova, E.A.; Boltneva, N.P.; Makhaeva, G.F.; Sliusarenko, M.I.; Yatsenko, A.S.; et al. Loss of swiss cheese in Neurons Contributes to Neurodegeneration with Mitochondria Abnormalities, Reactive Oxygen Species Acceleration and Accumulation of Lipid Droplets in Drosophila Brain. Int. J. Mol. Sci. 2021, 22, 8275. [Google Scholar] [CrossRef]
- Sujkowski, A.; Rainier, S.; Fink, J.K.; Wessells, R.J. Delayed Induction of Human NTE (PNPLA6) Rescues Neurodegeneration and Mobility Defects of Drosophila swiss cheese (sws) Mutants. PLoS ONE 2015, 10, e0145356. [Google Scholar] [CrossRef] [Green Version]
- Melentev, P.A.; Agranovich, O.E.; Sarantseva, S.V. Human diseases associated with NTE gene. Ecol. Genet. 2020, 18, 229–242. [Google Scholar] [CrossRef]
- Kretzschmar, D. PNPLA6/NTE, an Evolutionary Conserved Phospholipase Linked to a Group of Complex Human Diseases. Metabolites 2022, 12, 284. [Google Scholar] [CrossRef]
- Welte, M.A. Expanding roles for lipid droplets. Curr. Biol. 2015, 25, R470–R481. [Google Scholar] [CrossRef] [PubMed] [Green Version]
- Ralhan, I.; Chang, C.L.; Lippincott-Schwartz, J.; Ioannou, M.S. Lipid droplets in the nervous system. J. Cell Biol. 2021, 220, e202102136. [Google Scholar] [CrossRef] [PubMed]
- Teixeira, V.; Maciel, P.; Costa, V. Leading the way in the nervous system: Lipid droplets as new players in health and disease. Biochim. Biophys. Acta Mol. Cell Biol. Lipids 2021, 1866, 158820. [Google Scholar] [CrossRef] [PubMed]
- Pennetta, G.; Welte, M.A. Emerging links between lipid droplets and motor neuron diseases. Dev. Cell 2018, 45, 427–432. [Google Scholar] [CrossRef] [Green Version]
- Farmer, B.C.; Walsh, A.E.; Kluemper, J.C.; Johnson, L.A. Lipid droplets in neurodegenerative disorders. Front. Neurosci. 2020, 14, 742. [Google Scholar] [CrossRef] [PubMed]
- Tadepalle, N.; Rugarli, E.I. Lipid droplets in the pathogenesis of hereditary spastic paraplegia. Front. Mol. Biosci. 2021, 8, 673977. [Google Scholar] [CrossRef]
- Dremier, S.; Kopperud, R.; Doskeland, S.O.; Dumont, J.E.; Maenhaut, C. Search for new cyclic AMP-binding proteins. FEBS Lett. 2003, 546, 103–107. [Google Scholar] [CrossRef] [Green Version]
- Fujimoto, T.; Parton, R.G. Not just fat: The structure and function of the lipid droplet. Cold Spring Harb. Perspect. Biol. 2011, 3, a004838. [Google Scholar] [CrossRef] [Green Version]
- Heier, C.; Kien, B.; Huang, F.F.; Eichmann, T.O.; Xie, H.; Zechner, R.; Chang, P.A. The phospholipase PNPLA7 functions as a lysophosphatidylcholine hydrolase and interacts with lipid droplets through its catalytic domain. J. Biol. Chem. 2017, 292, 19087–19098. [Google Scholar] [CrossRef] [Green Version]
- Schooneveldt, Y.L.; Paul, S.; Calkin, A.C.; Meikle, P.J. Ether lipids in obesity: From cells to population Studies. Front. Physiol. 2022, 13, 841278. [Google Scholar] [CrossRef]
- Lee, C.H.; Tang, S.C.; Kuo, C.H. Differentiating ether phosphatidylcholines with a collision energy-optimized MRM method by RPLC-MS/MS and its application to studying ischemia-neuronal injury. Anal. Chim. Acta 2021, 184, 339014. [Google Scholar] [CrossRef] [PubMed]
- Granger, M.W.; Liu, H.; Fowler, C.F.; Blanchard, A.P.; Taylor, M.W.; Sherman, S.P.M.; Xu, H.; Le, W.; Bennett, S.A.L. Distinct disruptions in Land’s cycle remodeling of glycerophosphocholines in murine cortex mark symptomatic onset and progression in two Alzheimer’s disease mouse models. J. Neurochem. 2019, 149, 499–517. [Google Scholar] [CrossRef] [PubMed]
- Bhatt-Wessel, B.; Jordan, T.W.; Miller, J.H.; Peng, L. Role of DGAT enzymes in triacylglycerol metabolism. Arch. Biochem. Biophys. 2018, 655, 1–11. [Google Scholar] [CrossRef] [PubMed]
- Chang, P.A.; Chen, R.; Wu, Y.J. Reduction of neuropathy target esterase does not affect neuronal differentiation, but moderate expression induces neuronal differentiation in human neuroblastoma (SK-N-SH) cell line. Brain Res. Mol. Brain Res. 2005, 141, 30–38. [Google Scholar] [CrossRef] [PubMed]
- Liu, J.; Tang, L.; Lu, Q.; Yu, Y.; Xu, Q.G.; Zhang, S.; Chen, Y.X.; Dai, W.J.; Li, J.C. Plasma quantitative lipid profiles: Identification of carnitine C18:1-OH, carnitine C18:2-OH and FFA (20:1) as novel biomarkers for pre-warning and prognosis in acute myocardial infarction. Front. Cardiovasc. Med. 2022, 9, 848840. [Google Scholar]
- Schmittgen, T.D.; Livak, K.J. Analyzing real-time PCR data by the comparative C(T) method. Nat. Protoc. 2008, 3, 1101–1108. [Google Scholar] [CrossRef]







| Construct Name | Primer Name | Primer Sequence (5′ to 3′) |
|---|---|---|
| ΔCBD1-NTE-GFP | ΔCBD1F | CCGGAGAGCTTGGTGCGG |
| ΔCBD1R | GACCATGTGGCGGCAGAG | |
| ΔCBD2-NTE-GFP | ΔCBD2F | CAGATGGACTTCGCCATC |
| ΔCBD2R | CAAGACTCTGCTGTTCAG | |
| ΔCBD3-NTE-GFP | ΔCBD3F | CCGCAGGTCGTGACCCGC |
| ΔCBD3R | CCAGTCGATGGCGAAGTCCATCTG | |
| ΔCBD12-NTE-GFP | ΔCBD12F | CAGATGGACTTCGCCATCG |
| ΔCBD1R | GACCATGTGGCGGCAGAG | |
| ΔCBD23-NTE-GFP | ΔCBD3F | CCGCAGGTCGTGACCCGC |
| ΔCBD23R | CAAGACTCTGCTGTTCAGGAGGGAG |
| Primer Name | Primer Sequence (5′ to 3′) |
|---|---|
| hATGLF | GAGATGTGCAAGCAGGGATAC |
| hATGLR | CTGCGAGTAATCCTCCGCT |
| hHSLF | GACCCCTGCACAACATGATG |
| hHSLR | TGAGCAGCACCCTTTGGATG |
| hDGAT1F | GGTCCCCAATCACCTCATCTG |
| hDGAT1R | TGCACAGGGATGTTCCAGTTC |
| hDGAT2F | ATTGCTGGCTCATCGCTGT |
| hDGAT2R | GGGAAAGTAGTCTCGAAAGTAGC |
| hFASNF | AAGGACCTGTCTAGGTTTGATGC |
| hFASNR | TGGCTTCATAGGTGACTTCCA |
| hSCDF | TTCCTACCTGCAAGTTCTACACC |
| hSCDR | CCGAGCTTTGTAAGAGCGGT |
| hACACAF | TCACACCTGAAGACCTTAAAGCC |
| hACACAR | AGCCCACACTGCTTGTACTG |
| hPPARαF | TTCGCAATCCATCGGCGAG |
| hPPARαR | CCACAGGATAAGTCACCGAGG |
| hPPARγF | TACTGTCGGTTTCAGAAATGCC |
| hPPARγR | GTCAGCGGACTCTGGATTCAG |
| hNTEF | CGGGTGCAGAAAACTCCAG |
| hNTER | CGCATAATCTTCCGGCCATAGA |
| hactinF | CATGTACGTTGCTATCCAGGC |
| hactinR | CTCCTTAATGTCACGCACGAT |
Publisher’s Note: MDPI stays neutral with regard to jurisdictional claims in published maps and institutional affiliations. |
© 2022 by the authors. Licensee MDPI, Basel, Switzerland. This article is an open access article distributed under the terms and conditions of the Creative Commons Attribution (CC BY) license (https://creativecommons.org/licenses/by/4.0/).
Share and Cite
He, L.; Huang, F.; Wang, Y.; Wu, Y.; Xu, L.; Chang, P. The Catalytic Domain of Neuropathy Target Esterase Influences Lipid Droplet Biogenesis and Lipid Metabolism in Human Neuroblastoma Cells. Metabolites 2022, 12, 637. https://doi.org/10.3390/metabo12070637
He L, Huang F, Wang Y, Wu Y, Xu L, Chang P. The Catalytic Domain of Neuropathy Target Esterase Influences Lipid Droplet Biogenesis and Lipid Metabolism in Human Neuroblastoma Cells. Metabolites. 2022; 12(7):637. https://doi.org/10.3390/metabo12070637
Chicago/Turabian StyleHe, Lin, Feifei Huang, Yu Wang, Yijun Wu, Li Xu, and Pingan Chang. 2022. "The Catalytic Domain of Neuropathy Target Esterase Influences Lipid Droplet Biogenesis and Lipid Metabolism in Human Neuroblastoma Cells" Metabolites 12, no. 7: 637. https://doi.org/10.3390/metabo12070637
APA StyleHe, L., Huang, F., Wang, Y., Wu, Y., Xu, L., & Chang, P. (2022). The Catalytic Domain of Neuropathy Target Esterase Influences Lipid Droplet Biogenesis and Lipid Metabolism in Human Neuroblastoma Cells. Metabolites, 12(7), 637. https://doi.org/10.3390/metabo12070637

