iNovo479: Metabolic Modeling Provides a Roadmap to Optimize Bioproduct Yield from Deconstructed Lignin Aromatics by Novosphingobium aromaticivorans
Abstract
:1. Introduction
2. Results
2.1. Assembling iNovo479 as a GEM for N. aromaticivorans
2.2. Testing Predictions of Biomass Yields by iNovo479
2.3. Testing Metabolism of the Dimer GGE
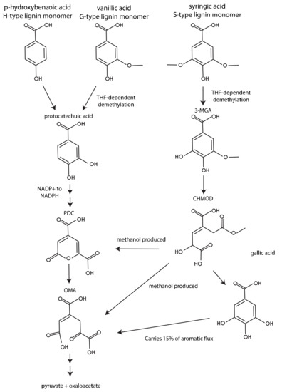
2.4. Testing the Impact of Demethylation Pathways on Biomass Production by iNovo479
2.5. Modeling Co-Metabolism of Biomass Aromatics Using iNovo479
2.6. Testing if the Ratio of Aromatic to Non-Aromatic Carbon Source Impacts Biomass Production
2.7. Using iNovo479 to Model Production of Additional Chemicals by Engineered N. aromaticivorans Strains
3. Discussion
3.1. The Importance of Aromatic O-Demethylation
3.2. Aromatic Side Chains Can Be a Help or a Hindrance to Microbial Biomass Yields
3.3. The Benefits of Co-Metabolism of a Non-Aromatic Carbon Source on Lignin Valorization
3.4. Using a GEM to Engineer Strains That Produce Additional Products from Lignin Aromatics
4. Materials and Methods
4.1. Building the GEM
4.2. The Biomass Reaction
4.3. Microbial Biomass Yields
4.4. iNovo479 Modeling Conditions
4.5. Modeling Product Yields
5. Conclusions
Supplementary Materials
Author Contributions
Funding
Institutional Review Board Statement
Informed Consent Statement
Data Availability Statement
Conflicts of Interest
References
- Boerjan, W.; Ralph, J.; Baucher, M. Lignin Biosynthesis. Annu. Rev. Plant Biol. 2003, 54, 519–546. [Google Scholar] [CrossRef]
- Ragauskas, A.J.; Beckham, G.T.; Biddy, M.J.; Chandra, R.; Chen, F.; Davis, M.F.; Davison, B.H.; Dixon, R.A.; Gilna, P.; Keller, M.; et al. Lignin valorization: Improving lignin processing in the biorefinery. Science 2014, 344, 1246843. [Google Scholar] [CrossRef] [PubMed]
- Das, A.; Rahimi, A.; Ulbrich, A.; Alherech, M.; Motagamwala, A.H.; Bhalla, A.; da Costa Sousa, L.; Balan, V.; Dumesic, J.A.; Hegg, E.L.; et al. Lignin Conversion to Low-Molecular-Weight Aromatics via an Aerobic Oxidation-Hydrolysis Sequence: Comparison of Different Lignin Sources. ACS Sustain. Chem. Eng. 2018, 6, 3367–3374. [Google Scholar] [CrossRef]
- Perez, J.M.; Kontur, W.S.; Alherech, M.; Coplien, J.; Karlen, S.D.; Stahl, S.S.; Donohue, T.J.; Noguera, D.R. Funneling aromatic products of chemically depolymerized lignin into 2-pyrone-4-6-dicarboxylic acid with: Novosphingobium aromaticivorans. Green Chem. 2019, 21, 1340–1350. [Google Scholar] [CrossRef] [Green Version]
- Lee, S.; Sohn, J.; Bae, J.; Kim, S.C.; Sung, B.H. Current Status of Pseudomonas putida Engineering for Lignin Valorization. Biotechnol. Bioprocess Eng. 2020, 871, 862–871. [Google Scholar] [CrossRef]
- Perez, J.M.; Kontur, W.S.; Gehl, C.; Gille, D.M.; Ma, Y.; Niles, A.V.; Umana, G.; Donohue, T.J.; Noguera, D.R. Redundancy in aromatic O-demethylation and ring opening reactions in Novosphingobium aromaticivorans and their impact in the metabolism of plant derived phenolics. Appl. Environ. Microbiol. 2021, 87, e02794–e02820. [Google Scholar] [CrossRef]
- Cecil, J.H.; Garcia, D.C.; Giannone, R.J.; Michener, J.K. Rapid, Parallel Identification of Catabolism Pathways of Lignin-Derived Aromatic Compounds in Novosphingobium aromaticivorans. Appl. Environ. Microbiol. 2018, 84, e01185–e01218. [Google Scholar] [CrossRef] [Green Version]
- Perez, J.M.; Sener, C.; Misra, S.; Umana, G.E.; Coplien, J.; Haak, D.; Li, Y.; Maravelias, C.T.; Karlen, S.D.; Ralph, J.; et al. Integrating lignin depolymerization with microbial funneling processes using agronomically relevant feedstocks. Green Chem. 2022, 24, 2795–2811. [Google Scholar] [CrossRef]
- Markowitz, V.M.; Korzeniewski, F.; Palaniappan, K.; Szeto, E.; Werner, G.; Padki, A.; Zhao, X.; Dubchak, I.; Hugenholtz, P.; Anderson, I.; et al. The integrated microbial genomes (IMG) system. Nucleic Acids Res. 2006, 34, D344–D348. [Google Scholar] [CrossRef] [PubMed] [Green Version]
- Imam, S.; Yilmaz, S.; Sohmen, U.; Gorzalski, A.S.; Reed, J.L.; Noguera, D.R.; Donohue, T.J. iRsp1095: A genome-scale reconstruction of the Rhodobacter sphaeroides metabolic network. BMC Syst. Biol. 2011, 5, 116. [Google Scholar] [CrossRef] [Green Version]
- Kontur, W.S.; Bingman, C.A.; Olmsted, C.N.; Wassarman, D.R.; Ulbrich, A.; Gall, D.L.; Smith, R.W.; Yusko, L.M.; Fox, B.G.; Noguera, D.R.; et al. Novosphingobium aromaticivorans uses a Nu-class glutathione S-transferase as a glutathione lyase in breaking the -aryl ether bond of lignin. J. Biol. Chem. 2018, 293, 4955–4968. [Google Scholar] [CrossRef] [PubMed] [Green Version]
- Higuchi, Y.; Aoki, S.; Takenami, H.; Kamimura, N.; Takahashi, K.; Hishiyama, S.; Lancefield, C.S.; Ojo, O.S.; Katayama, Y.; Westwood, N.J.; et al. Bacterial Catabolism of B-Hydroxypropiovanillone and B-Hydroxypropiosyringone Produced in the Reductive Cleavage of Arylglycerol-B-Aryl Ether in Lignin. Appl. Environ. Microbiol. 2018, 84, e02670–e02717. [Google Scholar] [CrossRef] [PubMed] [Green Version]
- Kanehisa, M.; Araki, M.; Goto, S.; Hattori, M.; Hirakawa, M.; Itoh, M.; Katayama, T.; Kawashima, S.; Okuda, S.; Tokimatsu, T.; et al. KEGG for linking genomes to life and the environment. Nucleic Acids Res. 2008, 36, 480–484. [Google Scholar] [CrossRef] [PubMed]
- Romine, M.F.; Stillwell, L.C.; Wong, K.K.; Thurston, S.J.; Sisk, E.C.; Sensen, C.; Gaasterland, T.; Fredrickson, J.K.; Saffer, J.D. Complete sequence of a 184-kilobase catabolic plasmid from Sphingomonas aromaticivorans F199. J. Bacteriol. 1999, 181, 1585–1602. [Google Scholar] [CrossRef] [PubMed] [Green Version]
- Gou, M.; Qu, Y.; Zhou, J.; Li, A.; Uddin, M.S. Characterization of catechol 1,2-dioxygenase from cell extracts of Sphingomonas xenophaga QYY. Sci. China Ser. B Chem. 2009, 52, 615–620. [Google Scholar] [CrossRef]
- Ravi, K.; García-Hidalgo, J.; Gorwa-Grauslund, M.F.; Lidén, G. Conversion of lignin model compounds by Pseudomonas putida KT2440 and isolates from compost. Appl. Microbiol. Biotechnol. 2017, 101, 5059–5070. [Google Scholar] [CrossRef] [PubMed] [Green Version]
- Wu, W.; Long, M.R.; Zhang, X.; Reed, J.L.; Maravelias, C.T. A framework for the identification of promising bio-based chemicals. Biotechnol. Bioeng. 2018, 115, 2328–2340. [Google Scholar] [CrossRef]
- Linz, A.M.; Ma, Y.; Perez, J.M.; Myers, K.S.; Kontur, W.S.; Noguera, D.R.; Donohue, T.J. Aromatic Dimer Dehydrogenases from Novosphingobium aromaticivorans Reduce Monoaromatic Diketones. Appl. Environ. Microbiol. 2021, 87, e01742–e01821. [Google Scholar] [CrossRef]
- Fredrickson, J.K.; Brockman, F.J.; Workman, D.J.; Li, S.W.; Stevens, T.O. Isolation and characterization of a subsurface bacterium capable of growth on toluene, naphthalene, and other aromatic compounds. Appl. Environ. Microbiol. 1991, 57, 796–803. [Google Scholar] [CrossRef] [Green Version]
- Fredrickson, J.K.; Balkwill, D.L.; Drake, G.R.; Romine, M.F.; Ringelberg, D.B.; White, D.C. Aromatic-degrading Sphingomonas isolates from the deep subsurface. Appl. Environ. Microbiol. 1995, 61, 1917–1922. [Google Scholar] [CrossRef] [Green Version]
- Aylward, F.O.; McDonald, B.R.; Adams, S.M.; Valenzuela, A.; Schmidt, R.A.; Goodwin, L.A.; Woyke, T.; Currie, C.R.; Suen, G.; Poulsen, M. Comparison of 26 Sphingomonad Genomes Reveals Diverse Environmental Adaptations and Biodegradative Capabilities. Appl. Environ. Microbiol. 2013, 79, 3724–3733. [Google Scholar] [CrossRef] [Green Version]
- Vardon, D.R.; Franden, M.A.; Johnson, C.W.; Karp, E.M.; Guarnieri, M.T.; Linger, J.G.; Salm, M.J.; Strathmann, T.J.; Beckham, G.T. Adipic acid production from lignin. Energy Environ. Sci. 2015, 8, 617–628. [Google Scholar] [CrossRef]
- Markowitz, V.M.; Chen, I.M.A.; Palaniappan, K.; Chu, K.; Szeto, E.; Grechkin, Y.; Ratner, A.; Jacob, B.; Huang, J.; Williams, P.; et al. IMG: The integrated microbial genomes database and comparative analysis system. Nucleic Acids Res. 2012, 40, 115–122. [Google Scholar] [CrossRef] [Green Version]
- Ebrahim, A.; Lerman, J.A.; Palsson, B.O.; Hyduke, D.R. COBRApy: COnstraints-Based Reconstruction and Analysis for Python. BMC Syst. Biol. 2013, 7, 1–6. [Google Scholar] [CrossRef] [Green Version]
- Lieven, C.; Beber, M.E.; Olivier, B.G.; Bergmann, F.T.; Ataman, M.; Babaei, P.; Bartell, J.A.; Blank, L.M.; Chauhan, S.; Correia, K.; et al. MEMOTE for standardized genome-scale metabolic model testing. Nat. Biotechnol. 2020, 38, 272–276. [Google Scholar] [CrossRef] [Green Version]
- Kamimura, N.; Takahashi, K.; Mori, K.; Araki, T.; Fujita, M.; Higuchi, Y.; Masai, E. Bacterial catabolism of lignin-derived aromatics: New findings in a recent decade. Environ. Microbiol. Rep. 2017, 9, 679–705. [Google Scholar] [CrossRef] [Green Version]
- Fujita, M.; Mori, K.; Hara, H.; Hishiyama, S.; Kamimura, N.; Masai, E. A TonB-dependent receptor constitutes the outer membrane transport system for a lignin-derived aromatic compound. Commun. Biol. 2019, 2, 1–10. [Google Scholar] [CrossRef] [Green Version]
- Samantarrai, D.; Lakshman Sagar, A.; Gudla, R.; Siddavattam, D. TonB-Dependent Transporters in Sphingomonads: Unraveling Their Distribution and Function in Environmental Adaptation. Microorganisms 2020, 8, 359. [Google Scholar] [CrossRef] [Green Version]
- Vermaas, J.V.; Dixon, R.A.; Chen, F.; Mansfield, S.D.; Boerjan, W.; Ralph, J.; Crowley, M.F.; Beckham, G.T. Passive membrane transport of lignin-related compounds. Proc. Natl. Acad. Sci. USA 2019, 116, 23117–23123. [Google Scholar] [CrossRef]
- Takeuchi, M.; Hamana, K.; Hiraishi, A. Proposal of the genus Sphingomonas sensu stricto and three new genera, Sphingobium, Novosphingobium and Sphingopyxis, on the basis of phylogenetic and chemotaxonomic analyses. Int. J. Syst. Evol. Microbiol. 2001, 51, 1405–1417. [Google Scholar] [CrossRef]
- Stanier, R.Y.; Palleroni, N.J.; Doudoroff, M. The aerobic pseudomonads: A taxonomic study. J. Gen. Microbiol. 1966, 43, 159–271. [Google Scholar] [CrossRef] [Green Version]
- Balkwill, D.L.; Drake, G.R.; Reeves, R.H.; Fredrickson, J.K.; White, D.C.; Ringelberg, D.B.; Chandler, D.P.; Romine, M.F.; Kennedy, D.W.; Spadoni, C.M. Taxonomic study of aromatic-degrading bacteria from deep-terrestrial- subsurface sediments and description of Sphingomonas aromaticivorans sp. nov., Sphingomonas subterranea sp. nov., and Sphingomonas stygia sp. nov. Int. J. Syst. Bacteriol. 1997, 47, 191–201. [Google Scholar] [CrossRef] [Green Version]
- Geiger, O.; Padilla-Gómez, J.; López-Lara, I.M. Bacterial Sphingolipids and Sulfonolipids. In Biogenesis of Fatty Acids, Lipids and Membranes; Geiger, O., Ed.; Springer International Publishing: Cham, Switzerland, 2019; pp. 123–137. ISBN 978-3-319-50430-8. [Google Scholar]
- Harrison, P.J.; Dunn, T.; Campopiano, D.J. Sphingolipid biosynthesis in man and microbes. Nat. Prod. Rep. 2018, 35, 921–954. [Google Scholar] [CrossRef] [Green Version]
- Chan, S.H.J.; Cai, J.; Wang, L.; Simons-Senftle, M.N.; Maranas, C.D. Standardizing biomass reactions and ensuring complete mass balance in genome-scale metabolic models. Bioinformatics 2017, 33, 3603–3609. [Google Scholar] [CrossRef]
- Mackie, A.; Keseler, I.M.; Nolan, L.; Karp, P.D.; Paulsen, I.T. Dead End Metabolites—Defining the Known Unknowns of the E. coli Metabolic Network. PLoS ONE 2013, 8, e75210. [Google Scholar] [CrossRef] [Green Version]
- Mahadevan, R.; Edwards, J.S.; Doyle, F.J. Dynamic Flux Balance Analysis of diauxic growth in Escherichia coli. Biophys. J. 2002, 83, 1331–1340. [Google Scholar] [CrossRef] [Green Version]
- Sonne-hansen, J.; Westermann, P.; Ahring, B.K. Kinetics of Sulfate and Hydrogen Uptake by the Thermophilic Sulfate-Reducing Bacteria Thermodesulfobacterium sp. Strain JSP and Thermodesulfovibrio sp. Strain R1Ha3. Appl. Environ. Microbiol. 1999, 65, 1304–1307. [Google Scholar] [CrossRef] [Green Version]
- Rosenberg, H.; Gerdes, R.G.; Chegwidden, K. Two systems for the uptake of phosphate in Escherichia coli. J. Bacteriol. 1977, 131, 505–511. [Google Scholar] [CrossRef] [Green Version]
- Walter, B.; Küspert, M.; Ansorge, D.; Krämer, R.; Burkovski, A. Dissection of ammonium uptake systems in Corynebacterium glutamicum: Mechanism of action and energetics of AmtA and AmtB. J. Bacteriol. 2008, 190, 2611–2614. [Google Scholar] [CrossRef] [Green Version]




| Characteristic | Value |
|---|---|
| Number of reactions | 645 |
| Number of metabolites | 604 |
| Number of genes | 479 |
| Number of reactions without genes | 135 |
| Number of cell compartments | 3 1 |
| Number of transformation reactions | 549 |
| Number of transport reactions | 61 |
| Number of exchange reactions | 21 |
| Number of demand reactions | 12 |
| Carbon Source | With Native Aromatic O-Demethylases | Hypothetical Non-THF-Dependent O-Demethylases | With Native O-Demethylases Replaced with VanAB O-Demethylase |
|---|---|---|---|
| Glucose | 114 | 114 | 114 |
| Vanillic acid | 114 | 104 | 104 |
| Syringic acid | 116 | 97 | 97 |
| p-Hydroxybenzoic acid | 88 | 88 | 88 |
| Product | Product Value (USD/kg) 1 | Product Breakeven Titer (g/L) 1 | Predicted Product Yield that Sustains Maximum Production Rates (mol-Cproduct/mol-Csubstrate) 2 | Predicted Maximum Production Rate (g/L/h) 3 | Vanillic Acid Concentration Needed to Reach Product Breakeven Titer (g/L) 4 |
|---|---|---|---|---|---|
| Glutarate | 10.76 | 17 | 0.40 | 0.0021 | 54 |
| Zeaxanthin | 10.00 | 18 | 0.05 | 0.0009 | 106 |
| cis-cis muconic acid | 1.81 | 94 | 0.57 | 0.0034 | 195 |
| Acetaldehyde | 2.21 | 85 | 1.27 | 0.0019 | 255 |
| Glycerol | 1.37 | 145 | 1.0 | 0.0032 | 265 |
| Citrate | 1.21 | 166 | 0.42 | 0.0041 | 338 |
| 1-Hexadecanol | 2.01 | 69 | 0.14 | 0.0013 | 342 |
| Butanoate | 1.50 | 130 | 0.64 | 0.0020 | 388 |
| Urea | 0.31 | 832 | 3.94 | 0.0048 | 491 |
| Phenol | 0.86 | 145 | 0.49 | 0.0015 | 529 |
| Propanoate | 2.09 | 89 | 0.33 | 0.0016 | 612 |
| Acetate | 0.60 | 379 | 0.80 | 0.0024 | 1327 |
| Ethanolamine | 1.54 | 126 | 0.06 | 0.0003 | 5781 |
Publisher’s Note: MDPI stays neutral with regard to jurisdictional claims in published maps and institutional affiliations. |
© 2022 by the authors. Licensee MDPI, Basel, Switzerland. This article is an open access article distributed under the terms and conditions of the Creative Commons Attribution (CC BY) license (https://creativecommons.org/licenses/by/4.0/).
Share and Cite
Linz, A.M.; Ma, Y.; Scholz, S.; Noguera, D.R.; Donohue, T.J. iNovo479: Metabolic Modeling Provides a Roadmap to Optimize Bioproduct Yield from Deconstructed Lignin Aromatics by Novosphingobium aromaticivorans. Metabolites 2022, 12, 366. https://doi.org/10.3390/metabo12040366
Linz AM, Ma Y, Scholz S, Noguera DR, Donohue TJ. iNovo479: Metabolic Modeling Provides a Roadmap to Optimize Bioproduct Yield from Deconstructed Lignin Aromatics by Novosphingobium aromaticivorans. Metabolites. 2022; 12(4):366. https://doi.org/10.3390/metabo12040366
Chicago/Turabian StyleLinz, Alexandra M., Yanjun Ma, Samuel Scholz, Daniel R. Noguera, and Timothy J. Donohue. 2022. "iNovo479: Metabolic Modeling Provides a Roadmap to Optimize Bioproduct Yield from Deconstructed Lignin Aromatics by Novosphingobium aromaticivorans" Metabolites 12, no. 4: 366. https://doi.org/10.3390/metabo12040366
APA StyleLinz, A. M., Ma, Y., Scholz, S., Noguera, D. R., & Donohue, T. J. (2022). iNovo479: Metabolic Modeling Provides a Roadmap to Optimize Bioproduct Yield from Deconstructed Lignin Aromatics by Novosphingobium aromaticivorans. Metabolites, 12(4), 366. https://doi.org/10.3390/metabo12040366

