Can We Trust Score Plots?
Abstract
1. Introduction
2. Theory
3. Data
3.1. Simulated Data
3.2. Cancer Data
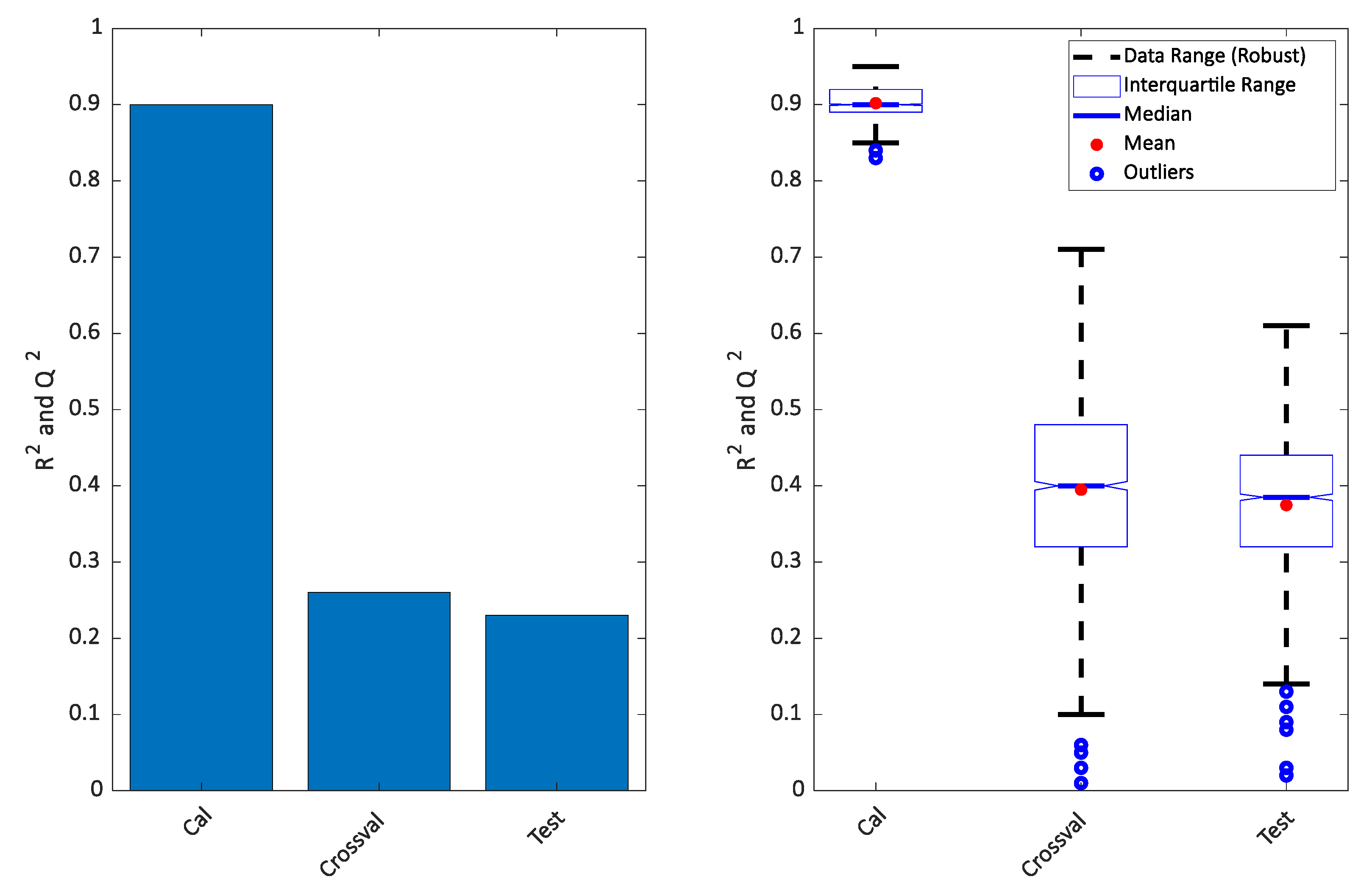
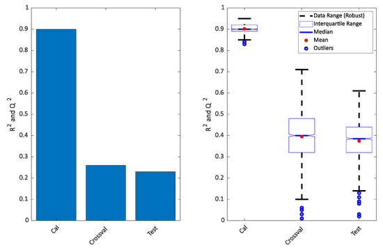
4. Results
5. Conclusions
Supplementary Materials
Author Contributions
Funding
Conflicts of Interest
References
- Wold, S.; Sjostrom, M.; Eriksson, L. PLS-regression: A basic tool of chemometrics. Chemom. Intell. Lab. Syst. 2001, 58, 109–130. [Google Scholar] [CrossRef]
- Höskuldsson, A. PLS regression methods. J. Chemom. 1988, 2, 211–228. [Google Scholar] [CrossRef]
- Wold, S.; Trygg, J.; Berglund, A.; Antti, H. Some recent developments in PLS modeling. Chemom. Intell. Lab. Syst. 2001, 58, 131–150. [Google Scholar] [CrossRef]
- Barker, M.; Rayens, W. Partial least squares for discrimination. J. Chemom. 2003, 17, 166–173. [Google Scholar] [CrossRef]
- Clarke, R.; Ressom, H.W.; Wang, A.; Xuan, J.; Liu, M.C.; Gehan, E.A.; Wang, Y. The properties of high-dimensional data spaces: Implications for exploring gene and protein expression data. Nat. Rev. Cancer 2008, 8, 37–49. [Google Scholar] [CrossRef] [PubMed]
- Defernez, M.; Kemsley, E.K. The use and misuse of chemometrics for treating classification problems. Trends Anal. Chem. 1997, 16, 216–221. [Google Scholar] [CrossRef]
- Pretsch, E.; Wilkins, C.L. Use and abuse of chemometrics. Trac-Trends Anal. Chem. 2006, 25, 1045. [Google Scholar] [CrossRef]
- Martens, H.; Martens, M. Modified Jack-knife estimation of parameter uncertainty in bilinear modelling by partial least squares regression (PLSR). Food Qual. Prefer. 2000, 11, 5–16. [Google Scholar] [CrossRef]
- Eigenvector Research, Inc. PLS_Toolbox, version 8.8.1; Eigenvector Research, Inc.: Manson, WA, USA, 2020. Available online: http://www.eigenvector.com (accessed on 3 July 2020).
- Bro, R.; Kamstrup-Nielsen, M.; Engelsen, S.B.; Savorani, F.; Rasmussen, M.A.; Hansen, L.; Dragsted, L.H. Forecasting individual breast cancer risk using plasma metabolomics and biocontours. Metabolomics 2015, 11, 1376–1380. [Google Scholar] [CrossRef] [PubMed]





© 2020 by the authors. Licensee MDPI, Basel, Switzerland. This article is an open access article distributed under the terms and conditions of the Creative Commons Attribution (CC BY) license (http://creativecommons.org/licenses/by/4.0/).
Share and Cite
Bevilacqua, M.; Bro, R. Can We Trust Score Plots? Metabolites 2020, 10, 278. https://doi.org/10.3390/metabo10070278
Bevilacqua M, Bro R. Can We Trust Score Plots? Metabolites. 2020; 10(7):278. https://doi.org/10.3390/metabo10070278
Chicago/Turabian StyleBevilacqua, Marta, and Rasmus Bro. 2020. "Can We Trust Score Plots?" Metabolites 10, no. 7: 278. https://doi.org/10.3390/metabo10070278
APA StyleBevilacqua, M., & Bro, R. (2020). Can We Trust Score Plots? Metabolites, 10(7), 278. https://doi.org/10.3390/metabo10070278

