Abstract
This paper presents the results of obtaining new cobalt and zinc complexes based on dicyanophenoxy-substituted carboxypthalocyanine. The original method of synthesis and isolation of the compound is shown; its spectroscopic and photophysical characteristics are studied. Studies show the absence of aggregation processes in organic media for solutions of complexes in working concentration ranges. This shows the possibility of the practical application of structures as catalysts. The high catalytic activity of cobalt complexes with dicyanophenoxy-substituted carboxyphthalocyanine ligand in the conversion reaction of sodium diethyldithiocarbamate to disulfiram, which is an active component of drugs for the treatment of alcohol dependence, is determined.
1. Introduction
Currently, high intensification of the production of medicines for various purposes is taking place. In this regard, processes that make it possible to obtain precursors for medicine with a high degree of selectivity, under mild conditions and with good yields are of particular importance. One of the most popular drugs for the treatment of alcohol dependence is Antabuse® (the active component is disulfiram) [1]. It is characterized by high efficiency of inhibition of the enzyme acetaldehyde dehydrogenase, thus stopping the process of decomposition of ethyl alcohol at the stage of acetaldehyde that is toxic to the human body. Also, there is a positive effect of disulfiram on the human body associated with the coronavirus infection COVID-19 reported in the literature [2]. Nevertheless, approaches to the production of disulfiram using highly specific catalysts have not been studied in depth enough.
Earlier, we showed that the use of phthalocyanine complexes with d-metals with complex substituents on the periphery shows a good prospect for the catalytic production of disulfiram under mild conditions [3,4,5]. Phthalocyanines, as owners of an extended π-electron system, are well-studied and serve as components of many applications [6,7,8,9,10,11,12,13]. Due to their unique molecular structure, this class of compounds has outstanding chemical and thermal stability compared to other organometallic compounds [14,15,16]. Development of the structure of the phthalocyanine macrocycle by introducing substituents into peripheral and non-peripheral positions makes it possible to fine-tune their physical and chemical properties [17,18,19]. Thus, properties of complexes can be changed by introducing substituents of a different nature into the macrocycle [20,21,22,23]. By means of the solubility of the obtained metallophthalocyanines, their physical, chemical and coordination properties can be regulated [24,25,26,27,28,29,30].
Disulfiram is known as one of the most important compounds obtained catalytically in the presence of phthalocyanine complexes (Figure 1) [5,6]. The molecule has found great usability as a component of drugs for the treatment of alcohol addiction. Nevertheless, standard pathways for obtaining disulfiram require special conditions that limit the possibility of its industrial usage. Although disulfiram remained the most common pharmaceutical treatment of alcohol abuse until the end of the 20th century, today, it is often replaced or accompanied with newer drugs, primarily a combination of naltrexone and acamprosate, which directly attempt to address physiological processes in the brain associated with alcohol abuse. However, the development of cheap synthetic pathways together with mild reaction conditions may make a great improvement in the possibility of disulfiram industrial usage.
Figure 1.
Structural formula of disulfiram.
Previously, we have shown that the introduction of cyanophenoxyl fragments into the phthalocyanine structure makes it possible to achieve a high rate of catalytic conversion of N,N-diethyldithiacarbamate to disulfiram (Figure 1), while maintaining mild reaction conditions [31,32,33]. The presence of terminal cyano groups in the structure of the molecule opens up the possibility of fine-tuning the properties of the resulting material. Nevertheless, the main problem in this case was the strong hydrophobicity of the resulting compounds [34,35,36], which greatly complicated the process of a homogeneous catalytic reaction. Thus, this study presents the results of qualitative modification of structures by introducing groups into their composition that enable the solubility of molecules in aqueous media. The introduction of carboxyl groups into the macrocycle leads to solubility of the resulting compounds in aqueous media [37,38,39]. Such a chemical modification makes it possible to use phthalocyanines as catalysts for the oxidation of sulfur-containing compounds.
Thus, in this work, phthalocyanine complexes with zinc and cobalt containing carboxylic and dicyanophenoxy groups on the periphery were synthesized. The compounds were characterized and their spectroscopic, photophysical and catalytic properties were studied.
2. Materials and Methods
The compounds 4-nitrophthalonitrile, gallic acid (3,4,5-trihydroxybenzoic acid), zinc(II) acetate (Zn(CH3COO)2), cobalt(II) acetate (Co(CH3COO)2), copper sulfate (CuSO4), urea, potassium carbonate (K2CO3), dimethylformamide (DMF), dimethyl sulfoxide (DMSO), tetrahydrofuran (THF), chloroform (CHCl3), pyridine (Py), hydrochloric acid (HCl) and sodium N, N-diethyldithiocarbamate (DTC) used in the present work were purchased from Merck© (Merck Life Science LLC, Moscow, Russia).
IR spectra were recorded using an IRAffinity-1S spectrometer (Shimadzu, Kyoto, Japan) in the frequency range 400–4000 cm−1 directly from compound powders without any additional sample preparation. The resolution and scan numbers utilized for IR investigations were equal to 0.5 cm−1 and 70, respectively.
1H NMR spectra were recorded using a Bruker AVANCE 500 spectrometer (Bruker, Bremen, Germany. Tetramethylsilane was used as the internal standard) with a frequency of 500 MHz. DMSO-d6 was used as a solvent.
Mass spectra were recorded using a time-of-flight mass spectrometer “Shimadzu Axima Confidence” (MALDI-TOF MS) (Shimadzu, London, UK). Samples with a concentration of approximately 10−3 M were prepared in tetrahydrofuran, and CHCA (alpha-cyano-4-hydroxycinnamic acid) was used as a matrix.
Electronic absorption spectra were captured on a UNICO2800 spectrophotometer (UNICO, Chicago, IL, USA) using quartz cuvettes with an optical path length of 1 cm. A number of organic solvents were used in the experiment, such as chloroform, tetrahydrofuran, dimethylformamide, dimethyl sulfoxide and pyridine.
2.1. Catalytic Properties
The experiment was conducted using the example of a standard reaction of aerobic catalytic oxidation of N,N-diethyldithiocarbamate (DTC) [5]. The mechanism of catalytic conversion of sulfur-containing substrates to disulfides in the presence of cobalt phthalocyanine complexes was clearly described and proved in the literature [40] and carefully checked in a number of our previous works [4,6,37]. The amounts of catalyst used in the present work were equal to 2 × 10−4 g.
The reaction was carried out in a 650 mL cell equipped with a magnetic stirrer and an air compressor at a temperature of 298.15 K with an error limit of 0.05 K.
An aqueous solution of DTC with a molar concentration of 10−3 M was placed in a cell; after achieving a constant temperature in the cell, a zero sample of 2 mL was taken, after which a catalyst was added, and air supply through the compressor was turned on at a speed of 2 L/min, which was taken as the moment of the reaction. Samples with a volume of 2 mL were taken every 3 min, for up to ten samples inclusive, to determine the current concentration of DTC in the reaction mixture.
A volume of 4 mL of 0.5 M aqueous solution of copper sulfate was added to the samples collected in test tubes, after which the formation of a dark-brown precipitate of Cu complex (DTC) was observed. Next, 0.05 mL of 50% acetic acid and 5 mL of chloroform were poured into each tube, and the mixtures were mixed for about 1.5–2 min until complete extraction of the unreacted DTC. The resulting organic fractions were diluted with chloroform to the label and, further, their optical density was determined at a wavelength of 436 nm, corresponding to the maximum absorption of the complex. Finally, based on the known value of the molar extinction coefficient Cu(DTC)2, their concentrations were calculated at the designated time intervals of the reaction.
The formation of disulfide was controlled using IR and NMR spectroscopic methods. Spectral data are given in the literature [5] and coincide with those obtained.
N,N-sodium diethyldithiocarbamate
IR (KBr): υ, cm−1: 2979 (-CH3 υas), 2847 (-CH2- υas), 1476 (-CH2- δ), 1378 (C-N st), 1269 (-C=Sst), 1075, (-C-S). 1H NMR (500 MHz, D2O): δ, ppm.: 4.34 (m, J = 15 Hz, CH2, 4H); 1.39 (t, J = 5 Hz, CH3, 6H). 13C NMR (100 MHz): δ, ppm.: 11.65, 27.50, 49.08, 205.02.
Tetramethylthiuram disulfide
IR (KBr): υ, cm−1: 2974 (-CH3 υas), 2861 (-CH2- υas), 1505 (-CH2-δ), 1380 (-C-Nst), 1273 (-C=Sst), 1143, 995 (-S-S-). 1H NMR (500 MHz, CDCl3): δ, ppm.: 3.71–3.77 (m, CH2, 8H); 1.29–1.23 (m, CH3, 12H). 13C NMR (100 MHz): δ, ppm.: 10.49, 25.72, 52.04, 51.26, 190.05.
2.2. Synthesis
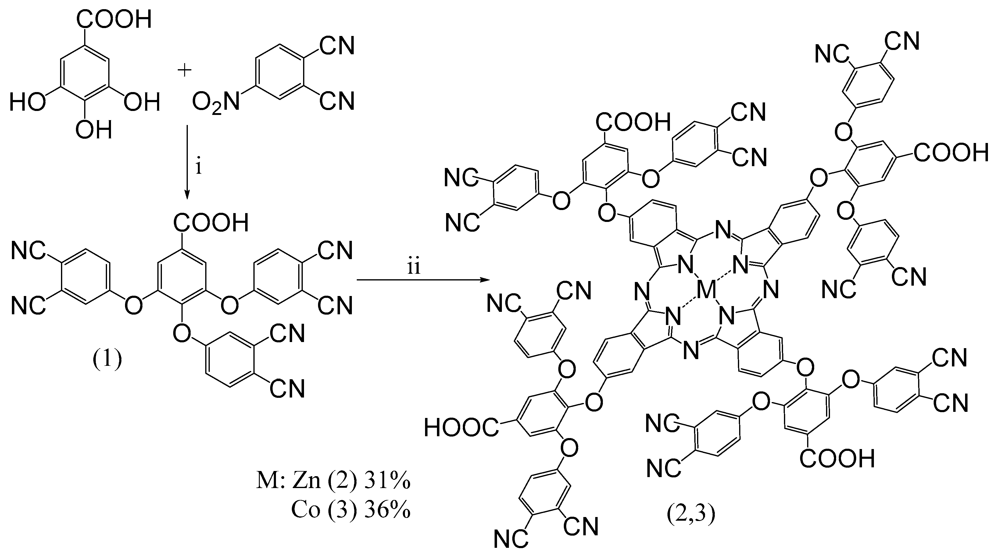
3,4,5-tris(3,4-dicyanophenoxy)benzoic acid (1)
A mass of 1.00 g (5.8 mmol) 3,4,5-trihydroxybenzoic acid was dissolved in 30 mL of DMSO, and 2.44 g (17.6 mmol) dry potassium carbonate was added, after which the mixture was left at 80 °C with stirring for 1 h. Then, 3.51 g (20.0 mmol) 4-nitrophthalonitrile was added to the reaction mass and mixing of the mixture was continued for another 7 h at the same temperature. After that, the mixture was cooled and poured into 90 mL of ice-cold distilled water. The resulting precipitate was filtered and washed with 0.1 M hydrochloric acid solution and then distilled water to obtain a neutral pH value of the medium. The resulting yellow–brown powder was recrystallized from ethanol.
Yield: 2.43 g (20%). IR, ν, cm−1: 3550−3500 (-OH), 3102−3040 (Car-N), 2232 (C≡N), 1653 (C=O), 1588−1486 (Car=Car), 1249 (Ar-O-Ar). 1H NMR (CDCl3), δ, ppm.: 12.72 s (1H), 7.83 dd (3H), 7.64 s (3H), 7.28 dd (3H), 7.09 s (2H). Mass spectrum, m/z: 547.46 [M]+, calculated: 548.47.
General procedure for the preparation of tetrakis-4-(2,6-bis(3,4-dicyanophenoxy),4-carboxyphenoxy)zinc phthalocyanine (2) and tetrakis-4-(2,6-bis(3,4-dicyanophenoxy),4-carboxyphenoxy)cobalt phthalocyanine (3)
The compounds 3,4,5-tris(3,4-dicyanophenoxy)benzoic acid (1) (0.05 g, 0.91 mmol) and anhydrous zinc/cobalt acetate (0.95 mmol) were placed in a ceramic crucible and then heated at 190 °C for 30 min in the absence of a solvent. After solidification of the melt, the mixture was cooled to room temperature, filtered with a Schott filter and washed with chloroform. The solvent was distilled, and the filtrate was purified using column chromatography (silica gel M60, chloroform–THF gradient (from 0 to 5 vol.%)) and size exclusion chromatography (3% THF in chloroform). The complexes were obtained in the form of a dark-green powder, soluble in THF, DMF, DMSO and pyridine.
Zinc tetrakis-4-(2,6-bis(3,4-dicyanophenoxy),4-carboxyphenoxy) phthalocyanine (2)
Yield: 0.0029 g (31%). IR, ν, cm−1: 2954−2851 (Car-N), 2157 (C≡N), 1717 (-OH), 1653 (C=O), 1539−1457 (Car-Car), 1261 (Ar-O-Ar). 1H NMR (500 MHz, DMSO-d6), ppm.: δ 8.58 (s, 1H), 7.79 (s, 1H), 7.42–7.40 (dd, 1H), 7.39 (d, J = 7.7 Hz, 1H), 7.22 (d, J = 10.3 Hz, 2H), 7.14 (s, 2H), 7.09 (d, J = 8.9 Hz, 2H), 6.88 (s, J = 8.0 Hz, 2H).
Cobalt tetrakis-4-(2,6-bis(3,4-dicyanophenoxy),4-carboxyphenoxy) phthalocyanine (3)
Yield: 0.0031 g (36%). IR, ν, cm−1: 3029−2851 (Car-N), 2354 (C≡N), 1717 (-OH), 1599 (C=O), 1524−1450 (Car-Car), 1273 (Ar-O-Ar). 1H NMR (500 MHz, DMSO-d6), ppm.: δ 8.86–8.43 (mbroad, 2H), 8.02–7.79 (mbroad, 4H), 7.65–6.98 (mbroad, 6H).
3. Results
3.1. Synthesis of 3,4,5-Tris(3,4-dicyanophenoxy)benzoic Acid
The compound 3,4,5-tris(3,4-dicyanophenoxy)benzoic acid was synthesized by nucleophilic substitution of the nitro group in 4-nitrophthalonitrile for gallic acid (Scheme 1, i). Gallic acid was dissolved in DMSO and potassium carbonate was added; the mixture was left at 80 °C with stirring for 1 h. After that, 4-nitrophthalonitrile was added to the reaction mass and mixing of the mixture was continued for another 7 h at the same temperature. To isolate the compound, the mixture was poured into chilled distilled water. The resulting precipitate was filtered and washed with 0.1 M hydrochloric acid solution and then distilled water to obtain a neutral pH value of the medium. The resulting yellow–brown powder was recrystallized from ethanol. The yield was 20%.
Scheme 1.
General pathway for substituted phthalonitrile 1 and phthalocyanines 2–3 synthesis. (i): K2CO3, DMF, 80 °C, 8 h; (ii): Zn/CoAc2, 190 °C, 30 min.
The structure of the compound was confirmed using IR and NMR spectroscopic analysis methods and MALDI-TOF mass spectrometry. The IR spectrum of the compound contained all characteristic vibrations at 3550–3500 cm−1 (-OH), 3102–3040 cm−1 (Car-H), 2232 cm−1 (C≡N), 1653 cm−1 (C=O), 1588–1486 cm−1 (Car=Car) and 1249 cm−1 (Ar-O-Ar). The IR spectra also lacked bands characteristic of symmetric (1340–1350 cm−1) and asymmetric (1560–1565 cm−1) vibrations of the N=O bond of the nitro group in 4-nitrophthalonitrile. A band of 1249 cm−1 was observed, corresponding to skeletal vibrations of the Ar-O-Ar bridge group formed as a result of the reaction. In the MALDI-TOF mass spectrum of 3,4,5-tris(3,4-dicyanophenoxy)benzoic acid, the peak of the molecular ion [M]+ 547.46 was detected in the mode of positive ions when using α-hydroxycoric acid as a matrix.
3.2. Synthesis of d-Metals Phthalocyanine Complexes
Synthesis of phthalocyanates was performed by template fusion of 3,4,5-tris(3,4-dicyanophenoxy)benzoic acid with anhydrous zinc and cobalt acetates at a temperature of 190–195 °C for 30 min until the melt completely solidified (Scheme 1, ii). After cooling, the resulting mass was transferred to a Schott filter and washed with chloroform. The target compound was washed off the THF filter; the solvent was distilled and the resulting complex was purified by column chromatography on silica gel with a mixture of chloroform–THF (9:1) as an eluent.
The structures of compounds 3 and 4 were identified using IR and NMR spectroscopy methods. All characteristic bands were present in the corresponding IR spectra of metal phthalocyanines. During the transition from compound 2 to the corresponding complexes, an increase in the intensity of the band responsible for fluctuations of the C≡N group (~2232 cm−1) was observed, which was due to an increase in the number of these groupings in the structure of the substituted phthalocyanine.
The highest yield was observed in a complex with cobalt as the central ion.
Based on 1H NMR data, the Zn phthalocyanine (2) structure was confirmed clearly. The weakest field signal (8.58 ppm) corresponded to a carboxylic group proton. Phthalocyanine core protons were localized at 7.79 and 7.40 ppm as a singlet and an unresolved doublet of doublets, respectively. The rest of the signals at 7.31, 7.14, 7.09 and 6.89 relate to spacer substituent fragments. However, regarding Co phthalocyanine, due to the paramagnetic nature of the central metal ion, the spectrum was subject to changes. It was expressed in both signals shifting and broadening. Thus, we were able to register only signals ranges and integral intensities. Nevertheless, the structure of complex 3 was confirmed with a good agreement based on data on the localization of proton shifts and its integral intensities combined with the results of IR spectroscopy and TLC investigations.
3.3. Spectroscopic Properties
Aggregation is an important phenomenon in the chemistry of phthalocyanines. Phthalocyanines in an aggregated state differ in properties from compounds in a non-aggregated form. Aggregation behavior depends on the nature of the solvent and substituents, the metal ion in the coordination center, the concentration of the solution and temperature. The most common method for determining the presence of an aggregation processes is electron absorption spectroscopy. Depending on the nature of the change in the electronic absorption spectra of solutions, H- and J-aggregates are distinguished. H-aggregates are characterized by hypsochromic displacement, i.e., in the short-wavelength region, the absorption bands are relative to the maximum of the monomer. There is also a significant decrease in absorption intensity and a strong broadening of the bands in the long-wavelength part of the spectrum. J-aggregates are distinguished by the appearance of a narrow intense absorption band, which is shifted bathochromically relative to the monomer band. At the first stage of studying the spectral properties of the obtained compounds, their characteristics in various organic solvents were studied (Table 1).
Table 1.
Spectroscopic properties of phthalocyanines 2–3 in various solvents.
Upon changing the solvent for phthalocyanine 3 solutions, the appearance of the spectrum did not change; only a bathochromic or hypsochromic shift occurred. Phthalocyanine 2 was characterized by splitting of the absorption maximum, which may be due to the presence of difficult-to-separate regioisomers in the solution (Figure 2).
Figure 2.
Electronic absorption spectra of phthalocyanines 2 (a) and 3 (b) in various solvents.
The aggregation behavior of the synthesized compounds was studied using electron spectroscopy in various solvents, such as tetrahydrofuran, dimethylformamide and dimethyl sulfoxide. Upon the dilution of compound 2 and 3 solutions, deviations from the linear dependence of concentration on optical density were observed, which may indicate the presence of aggregation for these compounds in specific concentration ranges (starting from 9.0 × 10−6 mol/L for 2 and 4.3 × 10−6 mol/L for 3) (Figure 3).
Figure 3.
Changes in the electronic spectra of solutions of compounds 2 and 3 in THF during dilution in a concentration range from 5.46 × 10−5 mol/L to 1.17 × 10−5 mol/L. Red curve—initial spectrum, blue curve—finite spectrum. Insertion—Lambert–Bueger–Behr dependencies in THF.
However, UV–vis spectra for complexes with cobalt have a broadened appearance and retain it even when diluted in a large concentration range (Figure 4).
Figure 4.
Change in the electronic spectra of solutions of compound 3 in DMSO upon dilution in a concentration range from 5.46 × 10−5 mol/L to 1.17 × 10−5 mol/L. Red curve—initial spectrum, blue curve—finite spectrum. The insert is an electronic absorption spectrum at a concentration of 1.17 × 10−5 mol/L.
3.4. Catalytic Properties
Catalytic properties were studied in the oxidation reaction of sodium diethyldithiocarbamate with atmospheric oxygen (Scheme 2). The study of catalytic activity was carried out at 20 °C at pH 7 and 11.
Scheme 2.
Equation of the catalytic oxidation reaction of DTC.
DTC solution with a concentration of 10−3 mol/L of the required pH value was prepared for the reaction. Then, the test substance was added to the solution, weighing 1 × 10−3 g. The reaction was carried out by blowing oxygen through the air and stirring intensively. A 2 mL sample of the reaction mixture was taken every 10 min. Copper sulfate was used as an agent binding the unreacted DTC during the reaction. Chloroform was used to extract the oxidation product.
After separation of the reaction product, the organic fraction was studied using an electronic absorption spectrum. Kinetic curves were constructed based on the obtained data (Figure 5).
Figure 5.
Kinetic curves of DTC oxidation in the presence of compounds 2 and 3 at pH 7 and 11.
The obtained rate constants are shown in Table 2. The highest catalytic activity in the presented series is shown by compound 3 at pH 11. Cobalt complexes showed higher activity compared to zinc analogs. This is obviously due to the coordination mechanism of the reaction and the greater coordination unsaturation of the cobalt ion. The resulting catalytic activity of both cobalt complexes 2 and 3 was found to exceed the constant values of alkoxy-substituted complexes obtained earlier several times [41].
Table 2.
Parameters of the catalytic conversion reaction of N,N-diethyldithiocarbamate.
4. Conclusions
New complexes of phthalocyanines of a complex structure containing cyanophenoxyl groups and carboxy groups at the same time have been obtained. The compounds were obtained and the structure was confirmed using IR spectroscopy and 1H NMR analysis approaches. Due to the combination of these groups, high catalytic activity of the obtained compounds in the reaction of sodium N,N-diethyldithiocarbamate to disulfiram under mild conditions was ensured. It is shown that an increase in the basicity of the medium leads to a significant acceleration of the catalytic conversion reaction.
It is shown that when specific concentration values are reached in the liquid phase, the compounds tend to aggregate, which is explained by the high steric tension of the structures.
The obtained cobalt complexes containing dicyanophenoxyl and carboxyl groups showed high catalytic activity exceeding the performance of alkoxy-substituted structures by several orders of magnitude. This makes them promising candidates for introduction into usage as catalysts for the production of DTC.
Author Contributions
Conceptualization, D.E. and A.V.; methodology, D.E. and A.V.; software, D.E., S.T. and I.S.; validation, A.V.; formal analysis, D.E. and A.V.; investigation, D.E., S.T. and I.S.; resources, A.V.; data curation, D.E. and A.V.; writing—original draft preparation, D.E.; writing—review and editing, D.E. and A.V.; visualization, D.E., S.T. and I.S.; supervision, A.V.; project administration, A.V.; funding acquisition, A.V. All authors have read and agreed to the published version of the manuscript.
Funding
This research was funded by the Russian Science Foundation, grant number 22-73-10158.
Institutional Review Board Statement
Not applicable.
Informed Consent Statement
Not applicable.
Data Availability Statement
Dataset available on request from the authors.
Conflicts of Interest
The authors declare no conflicts of interest.
References
- Chick, J.; Gough, K.; Fakkowski, W.; Kerrshaw, P.; Hore, B.; Mehta, B.; Ritson, B.; Ropner, R.; Torley, D. Disulfiram treatment of alcoholism. Br. J. Psychiatry 1992, 161, 84–89. [Google Scholar] [CrossRef] [PubMed]
- Tamburin, S.; Mantovani, E.; De Bernardis, E.; Zipeto, D.; Lugoboni, F.; Agostoni, C.; Almasio, R.; Avveduti, P.; Baisini, O.; Ballerio, M.; et al. COVID-19 and Related Symptoms in Patients under Disulfiram for Alcohol Use Disorder. Intern. Emerg. Med. 2021, 16, 1729–1731. [Google Scholar] [CrossRef] [PubMed]
- Voronina, A.A.; Filippova, A.A.; Znoiko, S.A.; Vashurin, A.S.; Maizlish, V.E. Effect of the Solvation Properties of the Solvent on the Formation of Associated Structures of Water-Soluble Co(II) Phthalocyanines. Russ. J. Inorg. Chem. 2015, 60, 1407–1414. [Google Scholar] [CrossRef]
- Voronina, A.A.; Kuzmin, I.A.; Vashurin, A.S.; Shaposhnikov, G.P.; Pukhovskaya, S.G.; Golubchikov, O.A. Self-Association of Sulfo Derivatives of Cobalt Phthalocyanine in Aqueous Solution. Russ. J. Gen. Chem. 2014, 84, 1777–1781. [Google Scholar] [CrossRef]
- Vashurin, A.; Marfin, Y.; Tarasyuk, I.; Kuzmin, I.; Znoyko, S.; Goncharenko, A.; Rumyantsev, E. Sulfonated Octa -Substituted Co(II) Phthalocyanines Immobilized on Silica Matrix as Catalyst for Thiuram E Synthesis. Appl. Organomet. Chem. 2018, 32, e4482. [Google Scholar] [CrossRef]
- Basova, T.V.; Belykh, D.V.; Vashurin, A.S.; Klyamer, D.D.; Koifman, O.I.; Krasnov, P.O.; Lomova, T.N.; Loukhina, I.V.; Motorina, E.V.; Pakhomov, G.L.; et al. Tetrapyrrole Macroheterocyclic Compounds. Structure–Property Relationships. J. Struct. Chem. 2023, 64, 766–852. [Google Scholar] [CrossRef]
- Chatti, I.; Ghorbel, A.; Grange, P.; Colin, J.M. Oxidation of Mercaptans in Light Oil Sweetening by Cobalt(II) Phthalocyanine-Hydrotalcite Catalysts. Catal. Today 2002, 75, 113–117. [Google Scholar] [CrossRef]
- Matsuo, Y.; Ogumi, K.; Matsuo, Y.; Jeon, I.; Nakagawa, T.; Matsuo, Y.; Wang, H.; Ogumi, K. Recent Progress in Porphyrin- And Phthalocyanine-Containing Perovskite Solar Cells. RSC Adv. 2020, 10, 32678–32689. [Google Scholar] [CrossRef]
- Liu, X.; Qi, C.; Bing, T.; Cheng, X.; Shangguan, D. Highly Selective Phthalocyanine-Thymine Conjugate Sensor for Hg2+ Based on Target Induced Aggregation. Anal. Chem. 2009, 81, 3699–3704. [Google Scholar] [CrossRef]
- Verma, C.; Ebenso, E.E.; Quraishi, M.A.; Rhee, K.Y. Phthalocyanine, Naphthalocyanine and Their Derivatives as Corrosion Inhibitors: A Review. J. Mol. Liq. 2021, 334, 116441. [Google Scholar] [CrossRef]
- Ghadari, R.; Sabri, A.; Saei, P.S.; Kong, F.T.; Marques, H.M. Phthalocyanine-Silver Nanoparticle Structures for Plasmon-Enhanced Dye-Sensitized Solar Cells. Sol. Energy 2020, 198, 283–294. [Google Scholar] [CrossRef]
- Hamad, O.A.; Kareem, R.O.; Omer, P.K. Recent Developments in Synthesize, Properties, Characterization, and Application of Phthalocyanine and Metal Phthalocyanine. J. Chem. Rev. 2024, 6, 39–75. [Google Scholar] [CrossRef]
- Ju, L.; Wan, Y.; Wang, X.; Liang, Q.; Li, Z.; Xu, S. Efficient Visible Light Photocatalytic Activitiy of Tetranitro Substituted Cobalt Phthalocyanines-Attapulgite Hybrid Materials Fabricated by Ultrasonic Impregnation Method. Optik 2016, 127, 4127–4130. [Google Scholar] [CrossRef]
- Anghelone, M.; Jembrih-Simbürger, D.; Pintus, V.; Schreiner, M. Photostability and Influence of Phthalocyanine Pigments on the Photodegradation of Acrylic Paints under Accelerated Solar Radiation. Polym. Degrad. Stab. 2017, 146, 13–23. [Google Scholar] [CrossRef]
- Duong, T.; Peng, J.; Walter, D.; Xiang, J.; Shen, H.; Chugh, D.; Lockrey, M.; Zhong, D.; Li, J.; Weber, K.; et al. Perovskite Solar Cells Employing Copper Phthalocyanine Hole-Transport Material with an Efficiency over 20% and Excellent Thermal Stability. ACS Energy Lett. 2018, 3, 2441–2448. [Google Scholar] [CrossRef]
- Zhang, S.; Hu, Z.; Zhang, J.; Jia, X.; Jiang, J.; Chen, Y.; Lin, B.; Jiang, H.; Fang, B.; Yuan, N.; et al. Interface Engineering via Phthalocyanine Decoration of Perovskite Solar Cells with High Efficiency and Stability. J. Power Sources 2019, 438, 226987. [Google Scholar] [CrossRef]
- Arokiyanathan, A.L.; Lakshmipathi, S. Impact of Functional Groups Substitution on the Molecular Properties of Magnesium and Scandium Phthalocyanines. Inorg. Chim. Acta 2018, 483, 203–210. [Google Scholar] [CrossRef]
- Kobayashi, N.; Ogata, H.; Nonaka, N.; Luk’yanets, E.A. Effect of Peripheral Substitution on the Electronic Absorption and Fluorescence Spectra of Metal-Free and Zinc Phthalocyanines. Chem. A Eur. J. 2003, 9, 5123–5134. [Google Scholar] [CrossRef]
- Kaur, P.; Sachdeva, R.; Singh, R.; Soleimanioun, N.; Singh, S.; Saini, G.S.S. Effect of Asymmetrical Peripheral Substitution of Sulfonic Acid Group on the Geometric and Electronic Structures and Vibrations of Copper Phthalocyanine Studied by Computational and Experimental Techniques. J. Mol. Struct. 2019, 1175, 314–334. [Google Scholar] [CrossRef]
- Huang, C.; Wang, K.; Sun, J.; Jiang, J. Planar Binuclear Phthalocyanine-Containing Sandwich-Type Rare-Earth Complexes: Synthesis, Spectroscopy, Electrochemistry, and NLO Properties. Eur. J. Inorg. Chem. 2014, 2014, 1546–1551. [Google Scholar] [CrossRef]
- Gorduk, S. Ferulic Acid Substituted Zn(II) Phthalocyanine: Synthesis, Characterization and Investigation of Photophysical and Photochemical Properties. J. Turk. Chem. Soc. Sect. A Chem. 2018, 5, 903–918. [Google Scholar] [CrossRef]
- Leznoff, C.C. Phthalocyanines, Properties and Application; Leznoff, C.C., Lever, A.B.P., Eds.; VCH: New York, NY, USA, 1996; Volume 4, 536p. [Google Scholar]
- Claessens, C.G.; Hahn, U.; Torres, T. Phthalocyanines: From Outstanding Electronic Properties to Emerging Applications. Chem. Rec. 2008, 8, 75–97. [Google Scholar] [CrossRef] [PubMed]
- Demirbaş, Ü.; Göl, C.; Barut, B.; Bayrak, R.; Durmuş, M.; Kantekin, H.; Değirmencioğlu, İ. Peripherally and Non-Peripherally Tetra-Benzothiazole Substituted Metal-Free Zinc (II) and Lead (II) Phthalocyanines: Synthesis, Characterization, and Investigation of Photophysical and Photochemical Properties. J. Mol. Struct. 2017, 1130, 677–687. [Google Scholar] [CrossRef]
- Li, R.; Zhang, X.; Zhu, P.; Ng, D.K.P.; Kobayashi, N.; Jiang, J. Electron-Donating or -Withdrawing Nature of Substituents Revealed by the Electrochemistry of Metal-Free Phthalocyanines. Inorg. Chem. 2006, 45, 2327–2334. [Google Scholar] [CrossRef] [PubMed]
- Klyamer, D.D.; Basova, T.V.; Krasnov, P.O.; Sukhikh, A.S. Effect of Fluorosubstitution and Central Metals on the Molecular Structure and Vibrational Spectra of Metal Phthalocyanines. J. Mol. Struct. 2019, 1189, 73–80. [Google Scholar] [CrossRef]
- Nwaji, N.; Mack, J.; Nyokong, T. Enhanced Nonlinear Optical Response of Benzothiazole Substituted Ball-Type Phthalocyanines in the Presence of Metallic Nanoparticles. Opt. Mater. 2018, 82, 93–103. [Google Scholar] [CrossRef]
- Baturhan Orman, E.; Sağlam, M.B.; Özkaya, A.R. Novel Peripherally Substituted Metal-Free, Zinc (II), and Cobalt (II) Phthalocyanines with 1,1’-Thiobis(2-Napthol) and Additional Tetraphthalonitrile Groups: Synthesis, Aggregation Behavior, Electrochemical Redox and Electrocatalytic Oxygen Reducing Prope. Synth. Met. 2020, 263, 116351. [Google Scholar] [CrossRef]
- Basova, T.; Hassan, A.; Durmuş, M.; Gürek, A.G.; Ahsen, V. Liquid Crystalline Metal Phthalocyanines: Structural Organization on the Substrate Surface. Coord. Chem. Rev. 2016, 310, 131–153. [Google Scholar] [CrossRef]
- Wang, K.; Qi, D.; Wang, H.; Cao, W.; Li, W.; Liu, T.; Duan, C.; Jiang, J. Binuclear Phthalocyanine-Based Sandwich-Type Rare Earth Complexes. Chem.-A Eur. J. 2013, 19, 11162–11166. [Google Scholar] [CrossRef]
- Erzunov, D.A.; Vashurin, A.S.; Koifman, O.I. Synthesis and Spectral Properties of Isomers of Cobalt Tetrakis (Dicyanophenoxy) Phthalocyaninate. Russ. Chem. Bull. 2018, 67, 2250–2252. [Google Scholar] [CrossRef]
- Vashurin, A.; Erzunov, D.; Kazaryan, K.; Tonkova, S.; Tikhomirova, T.; Filippova, A.; Koifman, O. Synthesis, Catalytic, Spectroscopic, Fluorescent and Coordination Properties of Dicyanophenoxy-Substituted Phthalocyaninates of d-Metals. Dye. Pigment. 2020, 174, 108018. [Google Scholar] [CrossRef]
- Erzunov, D.A.; Botnar, A.A.; Domareva, N.P.; Tikhomirova, T.V.; Vashurin, A.S. Synthesis, Spectroscopic Properties and Redox Behavior Kinetics of Rare-Earth Bistetrakis-4-[3-(3,4-Dicyanophenoxy)Phenoxy]Phthalocyaninato Metal Complexes with Er, Lu and Yb. Molecules 2021, 26, 2181. [Google Scholar] [CrossRef] [PubMed]
- Hoffmann, M.R.; Hong, A.P.K. Catalytic oxidation of reduced sulfur compounds by homogeneous and heterogeneous co(ii) phthalocyanine complexes. Sci. Total Environ. 1987, 64, 99–115. [Google Scholar] [CrossRef]
- Kumar, P.; Gill, K.; Kumar, S.; Ganguly, S.K.; Jain, S.L. Magnetic Fe3O4@MgAl–LDH Composite Grafted with Cobalt Phthalocyanine as an Efficient Heterogeneous Catalyst for the Oxidation of Mercaptans. J. Mol. Catal. A Chem. 2015, 401, 48–54. [Google Scholar] [CrossRef]
- Youssef, Z.; Colombeau, L.; Yesmurzayeva, N.; Baros, F.; Vanderesse, R.; Hamieh, T.; Toufaily, J.; Frochot, C.; Roques-carmes, T. Dye-Sensitized Nanoparticles for Heterogeneous Photocatalysis: Cases Studies with TiO2, ZnO, Fullerene and Graphene for Water Purification. Dye. Pigment. 2018, 159, 49–71. [Google Scholar] [CrossRef]
- Vashurin, A.; Kuzmin, I.; Mayzlish, V.; Razumov, M.; Golubchikov, O.; Koifman, O. Kinetics and Mechanism of the Oxidation of Dithiocarbamic Acids in the Presence of Co(II) Phthalocyaninetetacarboxylic Acid. J. Serbian Chem. Soc. 2016, 81, 1025–1036. [Google Scholar] [CrossRef]
- Rashidi, A.M.; Mirzaeian, M.; Khodabakhshi, S. Synthesis of Carbon Nanotube-Supported Metallo Carboxyporphyrin as a Novel Nanocatalyst for the Mercaptan Removal. J. Nat. Gas. Sci. Eng. 2015, 25, 103–109. [Google Scholar] [CrossRef]
- Canlıca, M.; Ömür, B.C.; Salih, B. Synthesis, Photophysical, Photochemical and SO 2 Sensing Properties of Ball-Type Phthalocyanines Substituted with Carboxyl Groups. Inorg. Chem. Commun. 2019, 103, 75–81. [Google Scholar] [CrossRef]
- Sorokin, A.B. Phthalocyanine Metal Complexes in Catalysis. Chem. Rev. 2013, 113, 8152–8191. [Google Scholar] [CrossRef]
- Vashurin, A.S.; Kuzmin, I.A.; Litova, N.A.; Petrov, O.A.; Pukhovskaya, S.G.; Golubchkov, O.A. Catalytic Properties of Cobalt Complexes with Tetrapyrazino Porphyrazine and Phthalocyanine Derivatives. Russ. J. Phys. Chem. 2014, 88, 2064–2067. [Google Scholar] [CrossRef]
Disclaimer/Publisher’s Note: The statements, opinions and data contained in all publications are solely those of the individual author(s) and contributor(s) and not of MDPI and/or the editor(s). MDPI and/or the editor(s) disclaim responsibility for any injury to people or property resulting from any ideas, methods, instructions or products referred to in the content. |
© 2024 by the authors. Published by MDPI on behalf of the Österreichische Pharmazeutische Gesellschaft. Licensee MDPI, Basel, Switzerland. This article is an open access article distributed under the terms and conditions of the Creative Commons Attribution (CC BY) license (https://creativecommons.org/licenses/by/4.0/).






