Determination of Eudragit® L100 in an Enteric-Coated Tablet Formulation Using Size-Exclusion Chromatography with Charged-Aerosol Detection
Abstract
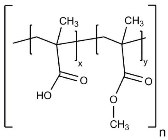
1. Introduction
2. Materials and Methods
2.1. Chemicals, Reagents and Samples
2.2. Chromatographic Conditions
2.3. Preparation Procedures
2.3.1. Preparation of Mobile Phase
2.3.2. Preparation of Placebo Solution
2.3.3. Preparation of Series Standard Solution for Working Range
2.3.4. Preparation for Limit of Detection (LOD) and Limit of Quantification (LOQ)
2.3.5. Preparation of Placebo Spiked Solution for Accuracy
2.3.6. Preparation of Sample Solution for Precision
3. Results and Discussion
3.1. Method Development
3.2. Method Validation
3.2.1. Specificity
3.2.2. Working Range
3.2.3. Limit of Detection (LOD) and Limit of Quantification (LOQ)
3.2.4. Accuracy
3.2.5. Precision
3.3. Application of Method
4. Conclusions
Author Contributions
Acknowledgments
Conflicts of Interest
References
- Nagaraju, R.; Swapna, Y.; Babu, R.H.; Kaza, R. Design and evaluation of delayed and extended release tablets of mesalamine. J. Pharm. Sci. Technol. 2010, 2, 103–110. [Google Scholar]
- Skalsky, B. (Ed.) Enteric & GI targeting formulations. In Eudragit® Application Guidelines, 12th ed.; Evonik Industries AG: Darmstadt, Germany, 2012; Chapter 5; pp. 1–3. [Google Scholar]
- Technical Information of Eudragit® L100 and Eudragit® S100. Available online: www.pharosproject.net/uploads/files/cml/1389279051.pdf (accessed on 17 March 2015).
- Rowe, R.C.; Sheskey, P.J.; Quinn, M.E. (Eds.) Handbook of Pharmaceutical Excipients, 6th ed.; Pharmaceutical Press: London, UK, 2009; pp. 525–533. ISBN 978 0 85369 792 3. [Google Scholar]
- Council of Europe. European Pharmacopoeia, 9th ed.; EDQM: Strasbourg CEDEX, France, 2016; Volume 3, p. 3018. ISBN 978-92-871-8127-5. [Google Scholar]
- British Pharmacopoeia Commission. British Pharmacopoeia 2017; The Stationery Office: London, UK, 2016; Volume 2, pp. 240–241. ISBN 978 011 3230 204. [Google Scholar]
- United States Pharmacopeial Convention Inc. USP 41–NF 36 The United States Pharmacopoeia and National Formulary 2018; United Book Press Inc.: Baltimore, MD, USA, 2017; pp. 5444–5445. ISBN 978-3-7692-7022-8. [Google Scholar]
- Adler, M.; Pasch, H.; Meier, C.; Senger, R.; Koban, H.-G.; Augenstein, M.; Reinhold, G. Molar mass characterization of hydrophilic copolymers, 2 Size exclusion chromatography of cationic (meth)acrylate copolymers. e-Polymers 2005, 57, 1–11. [Google Scholar] [CrossRef]
- Porsch, B.; Hillang, I.; Karlsson, A.; Sundelöf, L.-O. Ion-exclusion controlled size-exclusion chromatography of methacrylic acid-methyl methacrylate copolymers. J. Chromatogr. A 2000, 872, 91–99. [Google Scholar] [CrossRef]
- Dourado, F.; Bastos, M.; Mota, M.; Gama, F.M. Studies on the properties of Celluclast/Eudragit L-100 conjugate. J. Biotechnol. 2002, 99, 121–131. [Google Scholar] [CrossRef]
- Mori, S.; Barth, H.G. Size Exclusion Chromatography, 1st ed.; Springer: Heidelberg, Germany, 1999; pp. 3–28. ISBN 3-540-65635-9. [Google Scholar]
- Ultrahydrogel Column Care and Use Manual. Available online: www.waters.com/webassets/cms/support/docs/wat011556.pdf (accessed on 16 January 2017).
- Operating and Maintenance Manual of Corona® CAD® Detector and Corona®Plus CAD® Detector. Available online: www.vtpup.cz/common/manual/Extern_RADANAL_ESA_CoronaCAD_manual_EN.pdf (accessed on 8 May 2017).
- ICH Q2 (R1) Validation of Analytical Procedures: Text and Methodology. Available online: www.ema.europa.eu/docs/en_GB/document_library/Scientific_guideline/2009/09/WC500002662.pdf (accessed on 20 June 2017).
- Charged Aerosol Detection and Evaporative Light Scattering Detection—Fundamental Differences Affecting Analytical Performance. Available online: http://apps.thermoscientific.com/media/cmd/ hypersite-events/HPLC-2014/posters/PN70990_HPLC_2014-CAD-vs-ELSD.pdf (accessed on 25 May 2015).



| Preparation | Peak Area at LOD Level (0.0015 mg/mL) | Peak Area at LOQ Level (0.0040 mg/mL) |
|---|---|---|
| 1 | 200,053 | 461,863 |
| 2 | 191,319 | 483,074 |
| 3 | 175,255 | 433,646 |
| 4 | 177,934 | 507,136 |
| 5 | 191,509 | 502,761 |
| 6 | 273,502 | 497,283 |
| Average | 201,595 | 480,961 |
| %RSD | 18.1 | 5.9 |
| Level (%) | Weight of Eudragit® L100 Added (mg) | Weight of Eudragit® L100 Recovered (mg) | % Recovery |
|---|---|---|---|
| 50 | 15.09 | 13.26 | 87.9 |
| 15.01 | 13.24 | 88.2 | |
| 15.04 | 13.23 | 88.0 | |
| Average ± SD | 15.047 | 13.243 | 88.0 ± 0.2 |
| 100 | 30.06 | 27.53 | 91.6 |
| 30.09 | 26.87 | 89.3 | |
| 30.06 | 27.53 | 91.6 | |
| Average ± SD | 30.070 | 27.312 | 90.8 ± 1.3 |
| 150 | 45.09 | 41.50 | 92.0 |
| 45.05 | 41.04 | 91.1 | |
| 45.05 | 40.63 | 90.2 | |
| Average ± SD | 45.063 | 41.058 | 91.1 ± 0.9 |
| Sample Preparation | Peak Area of Eudragit® L100 | Weight of Coating Layer of Tablet (mg) | % Eudragit® L100 in Tablet (w/w) |
|---|---|---|---|
| 1 | 86,852,399 | 129.96 | 7.4 |
| 2 | 83,385,015 | 124.73 | 6.7 |
| 3 | 84,599,684 | 125.59 | 6.9 |
| 4 | 86,078,672 | 116.11 | 7.3 |
| 5 | 88,205,236 | 127.97 | 7.6 |
| 6 | 89,634,890 | 136.05 | 7.6 |
| Average | 86,459,316 | 126.74 | 7.2 |
| %RSD | 2.7 | 5.2 | 5.0 |
© 2018 by the authors. Licensee MDPI, Basel, Switzerland. This article is an open access article distributed under the terms and conditions of the Creative Commons Attribution (CC BY) license (http://creativecommons.org/licenses/by/4.0/).
Share and Cite
Widjaja, M.; Gan, J.; Talpaneni, J.S.R.; Tjandrawinata, R.R. Determination of Eudragit® L100 in an Enteric-Coated Tablet Formulation Using Size-Exclusion Chromatography with Charged-Aerosol Detection. Sci. Pharm. 2018, 86, 38. https://doi.org/10.3390/scipharm86030038
Widjaja M, Gan J, Talpaneni JSR, Tjandrawinata RR. Determination of Eudragit® L100 in an Enteric-Coated Tablet Formulation Using Size-Exclusion Chromatography with Charged-Aerosol Detection. Scientia Pharmaceutica. 2018; 86(3):38. https://doi.org/10.3390/scipharm86030038
Chicago/Turabian StyleWidjaja, Marsella, Jefri Gan, Joseph Sunder Raj Talpaneni, and Raymond Rubianto Tjandrawinata. 2018. "Determination of Eudragit® L100 in an Enteric-Coated Tablet Formulation Using Size-Exclusion Chromatography with Charged-Aerosol Detection" Scientia Pharmaceutica 86, no. 3: 38. https://doi.org/10.3390/scipharm86030038
APA StyleWidjaja, M., Gan, J., Talpaneni, J. S. R., & Tjandrawinata, R. R. (2018). Determination of Eudragit® L100 in an Enteric-Coated Tablet Formulation Using Size-Exclusion Chromatography with Charged-Aerosol Detection. Scientia Pharmaceutica, 86(3), 38. https://doi.org/10.3390/scipharm86030038

