Cognitive Mechanisms in Entrepreneurship Competence: Its Implication for Open Innovation
Abstract
:1. Introduction
2. Key Concepts and Research Hypotheses
2.1. Key Concepts
2.1.1. Entrepreneurship Competence
2.1.2. Cognitive Flexibility
2.1.3. Entrepreneurial Self-Efficacy
2.1.4. Optimism
2.2. Research Hypotheses
2.2.1. Cognitive Flexibility and Entrepreneurial Self-Efficacy
2.2.2. Entrepreneurial Self-Efficacy and Entrepreneurship Competence
2.2.3. Cognitive Flexibility and Entrepreneurship Competence
2.2.4. The Mediating Role of Entrepreneurial Self-Efficacy
2.2.5. The Moderating Effect of Optimism
3. Method
3.1. Qualitative Method
3.2. Quantitative Method
4. Results
4.1. Qualitative Result
4.1.1. Relationship between Cognitive Flexibility and Entrepreneurial Self-Efficacy
4.1.2. Relationship between Entrepreneurial Self-Efficacy and Entrepreneurship Competence
4.1.3. Relationship between Cognitive Flexibility and Entrepreneurship Competence
4.1.4. Some Expressions on Optimism
4.2. Quantitative Result
4.2.1. Data Quality Analysis
4.2.2. Hypothesis Test
5. Discussion: The Relation among Entrepreneurial Self-Efficacy, Cognitive Flexibility, and Open Innovation
6. Conclusions
6.1. Practical Implications
6.2. Research Limitations and Future Prospects
Supplementary Materials
Author Contributions
Funding
Institutional Review Board Statement
Informed Consent Statement
Data Availability Statement
Acknowledgments
Conflicts of Interest
Appendix A
| Cognitive Flexibility, Entrepreneurial Self-efficacy, Optimism, and Entrepreneurship Competence Questionnaire |
References
- Lazanyi, K. Entrepreneurs of the future. Serb. J. Manag. 2014, 9, 149–158. [Google Scholar] [CrossRef] [Green Version]
- Patrício, V.; Lopes da Costa, R.; Pereira, L.; António, N. Project management in the development of dynamic capabilities for an open innovation era. J. Open Innov. Technol. Mark. Complex. 2021, 7, 164. [Google Scholar] [CrossRef]
- Ong, A.K.S.; Cleofas, M.A.; Prasetyo, Y.T.; Chuenyindee, T.; Young, M.N.; Diaz, J.F.T.; Nadlifatin, R.; Redi, A.A.N.P. Consumer behavior in clothing industry and its relationship with open innovation dynamics during the COVID-19 pandemic. J. Open Innov. Technol. Mark. Complex. 2021, 7, 211. [Google Scholar] [CrossRef]
- Casquejo, M.N.; Himang, C.; Ocampo, L.; Ancheta, R., Jr.; Himang, M.; Bongo, M. The way of expanding technology acceptance—open innovation dynamics. J. Open Innov. Technol. Mark. Complex. 2020, 6, 8. [Google Scholar] [CrossRef] [Green Version]
- Bahr, K.J. An exploratory study of types of innovation in us foundations. Adm. Sci. 2019, 9, 93. [Google Scholar] [CrossRef] [Green Version]
- Zhang, M.; Ren, S.C. How entrepreneurs develop entrepreneurship competence through events? A serial entrepreneur’s case study based on event system theory. Manag. World 2018, 34, 134–149. [Google Scholar] [CrossRef]
- Yun, J.J.; Won, D.; Park, K. Dynamics from open innovation to evolutionary change. J. Open Innov. Technol. Mark. Complex. 2016, 2, 7. [Google Scholar] [CrossRef] [Green Version]
- Lee, M.; Yun, J.J.; Pyka, A.; Won, D.; Kodama, F.; Schiuma, G.; Park, H.; Jeon, J.; Park, K.; Jung, K.; et al. How to respond to the fourth industrial revolution, or the second information technology revolution? Dynamic new combinations between technology, market, and society through open innovation. J. Open Innov. Technol. Mark. Complex. 2018, 4, 21. [Google Scholar] [CrossRef] [Green Version]
- Yun, J.J. How do we conquer the growth limits of capitalism? Schumpeterian dynamics of open innovation. J. Open Innov. Technol. Mark. Complex. 2015, 1, 17. [Google Scholar] [CrossRef] [Green Version]
- Park, H.S. Technology convergence, open innovation, and dynamic economy. J. Open Innov. Technol. Mark. Complex. 2017, 3, 24. [Google Scholar] [CrossRef] [Green Version]
- Yun, J.J.; Park, K.; Hahm, S.D.; Kim, D. Basic income with high open innovation dynamics: The way to the entrepreneurial state. J. Open Innov. Technol. Mark. Complex. 2019, 5, 41. [Google Scholar] [CrossRef] [Green Version]
- Azubayeva, B. The impact of cultural capital on development of entrepreneurship in wales. Adm. Sci. 2021, 11, 152. [Google Scholar] [CrossRef]
- Surya, B.; Menne, F.; Sabhan, H.; Suriani, S.; Abubakar, H.; Idris, M. Economic growth, increasing productivity of smes, and open innovation. J. Open Innov. Technol. Mark. Complex. 2021, 7, 20. [Google Scholar] [CrossRef]
- Önen, A.S.; Koçak, C. The effect of cognitive flexibility on higher school students’ study strategies. Procedia-Soc. Behav. Sci. 2015, 191, 2346–2350. [Google Scholar] [CrossRef] [Green Version]
- Yang, J.; Zhang, Y.L.; Liu, Y.R. A review of entrepreneurial cognition research and suggestions on situational research in China. Manag. World 2015, 9, 158–169. [Google Scholar]
- Stemmler, M.; Schneider, S.M.V.; Poon, L.W. The application of the skt short cognitive performance test to english-speaking populations. Psych 2021, 3, 717–727. [Google Scholar] [CrossRef]
- Setiawan, J.L. Examining entrepreneurial self-efficacy among students. Procedia-Soc. Behav. Sci. 2014, 115, 235–242. [Google Scholar] [CrossRef] [Green Version]
- Pollack, J.M.; Burnette, J.L.; Hoyt, C.L. Self-Efficacy in the face of threats to entrepreneurial success: Mind-Sets matter. Basic Appl. Soc. Psychol. 2012, 34, 287–294. [Google Scholar] [CrossRef]
- Osadolor, V.; Agbaeze, K.E.; Isichei, E.E.; Olabosinde, S.T. Entrepreneurial self-efficacy and entrepreneurial intention: The mediating role of the need for independence. J. Entrep. Manag. Innov. 2021, 17, 91–119. [Google Scholar] [CrossRef]
- Ratten, V. Coronavirus (COVID-19) and entrepreneurship: Changing life and work landscape. J. Small Bus. Entrep. 2020, 32, 503–516. [Google Scholar] [CrossRef]
- Zinchenko, Y.P.; Shaigerova, L.A.; Almazova, O.V.; Shilko, R.S.; Kalimullin, A.M. The spread of covid-19 in russia: Immediate impact on mental health of university students. Psychol. Stud. 2021, 66, 291–302. [Google Scholar] [CrossRef]
- Luthans, F.; Youssef, C.M. Human, social and now positive psychological capital management: Investing in people for competitive advantage. Organ. Dyn. 2004, 33, 143–160. [Google Scholar] [CrossRef]
- Bird, B. Implementing entrepreneurial ideas: The case for intention. Acad. Manag. Rev. 1988, 13, 442–453. [Google Scholar] [CrossRef]
- Man, T.W.Y.; Lau, T.; Chan, K.F. The competitiveness of small and medium enterprises: A conceptualization with focus on entrepreneurial competencies. J. Bus. Ventur. 2002, 17, 123–142. [Google Scholar] [CrossRef]
- Spiro, R.J.; Feltovich, P.J.; Coulson, R.L. Two epistemic world-views: Prefigurative schemas and learning in complex domains. Appl. Cogn. Psychol. 1996, 10, 51–61. [Google Scholar] [CrossRef]
- Grattan, L.M.; Eslinger, P.J. Frontal lobe damage in children and adults: A comparative review. Dev. Neuropsychol. 1991, 7, 283–326. [Google Scholar] [CrossRef]
- Martin, M.M.; Rubin, R.B. A new measure of cognitive flexibility. Psychol. Rep. 2011, 76, 623–626. [Google Scholar] [CrossRef]
- Boyd, N.G.; Vozikis, G.S. The influence of self-efficacy on the development of entrepreneurial intentions and actions. Entrep. Theory Pract. 1994, 18, 213–226. [Google Scholar] [CrossRef]
- Choi, W.-S.; Kang, S.-W.; Choi, S.B. Innovative behavior in the workplace: An empirical study of moderated mediation model of self-efficacy, perceived organizational support, and leader–member exchange. Behav. Sci. 2021, 11, 182. [Google Scholar] [CrossRef]
- Scheier, M.F.; Carver, C.S. Optimism, coping, and health: Assessment and implications of generalized outcome expectancies. Health Psychol. 1985, 4, 219–247. [Google Scholar] [CrossRef]
- Kato, Y.; Greimel, E.; Hu, C.; Müller-Gartner, M.; Salchinger, B.; Freidl, W.; Saito, S.; Roth, R. The Relationship between sense of coherence, stress, body image satisfaction and eating behavior in japanese and austrian students. Psych 2019, 1, 504–514. [Google Scholar] [CrossRef] [Green Version]
- Shen, S.T.; Chen, Z.H.; Sun, X.X. Effects of childhood trauma on resilience in early adulthood and its dynamic regulatory mechanisms: A four-year follow-up study. Acta Acad. Med. Mil. Tert. 2021, 43, 359–367. [Google Scholar] [CrossRef]
- Lin, T.; Wang, D.H.; An, H.H. Characteristics of cognition and coping style of military medical personnel in covid-19 prevention and control. Med. J. Natl. Defending Forces Southwest China 2020, 30, 613–615. [Google Scholar] [CrossRef]
- Brewster, M.E.; Moradi, B.; Deblaere, C.; Velez, B.L. Navigating the borderlands: The roles of minority stressors, bicultural self-efficacy, and cognitive flexibility in the mental health of bisexual individuals. J. Couns. Psychol. 2013, 60, 543–556. [Google Scholar] [CrossRef] [Green Version]
- Bancila, D.; Mittelmark, M.B. Specificity in the relationships between stressors and depressed mood among adolescents: The roles of gender and self-efficacy. Int. J. Ment. Health Promot. 2005, 7, 4–14. [Google Scholar] [CrossRef]
- Dennis, J.P.; Wal, J. The cognitive flexibility inventory: Instrument development and estimates of reliability and validity. Cogn. Ther. Res. 2010, 34, 241–253. [Google Scholar] [CrossRef]
- Dheer, R.; Lenartowicz, T. Cognitive flexibility: Impact on efficacy and intentions towards entrepreneurship. Acad. Manag. Annu. Meet. Proc. 2017, 1, 11567. [Google Scholar] [CrossRef]
- Rhee, K.S.; White, R.J. The emotional intelligence of entrepreneurs. J. Small Bus. Entrep. 2007, 20, 409–425. [Google Scholar] [CrossRef]
- Fakhreldin, H. The relationship between the emotional intelligence of entrepreneurs and the new venture creation: The role of age, gender and motive. Arab Econ. Bus. J. 2017, 12, 99–108. [Google Scholar] [CrossRef]
- Karimi, P.; Kloshani, M.; Bakhshizadeh, A. A comparative study on emotional intelligence and cognitive between successful and unsuccessful entrepreneurs. Manag. Sci. Lett. 2012, 2, 2071–2076. [Google Scholar] [CrossRef]
- Jaiswal, N.K.; Dhar, R.L. Transformational leadership, innovation climate, creative self-efficacy and employee creativity: A multilevel study. Int. J. Hosp. Manag. 2015, 51, 30–41. [Google Scholar] [CrossRef]
- Lim, K.C.; Khor, P.H.; Tham, Y.C. Relationship among attitude, self-efficacy, motivation and leisure-time physical activities participation of undergraduate students. J. Sports Sci. Technol. 2010, 10, 249–252. [Google Scholar]
- Mithani, M.A.; Veloz, T.; Gabora, L. Modeling the role of context dependency in the recognition and manifestation of entrepreneurial opportunity. Soc. Sci. Electron. Publ. 2013, 3, 279–282. [Google Scholar] [CrossRef]
- Colé, P.; Duncan, L.G.; Blaye, A. Cognitive flexibility predicts early reading skills. Front. Psychol. 2016, 5, 565. [Google Scholar] [CrossRef] [Green Version]
- Dreu, D.; Nijstad, B.A.; Baas, M. Behavioral activation links to creativity because of increased cognitive flexibility. Soc. Psychol. Personal. Sci. 2011, 1, 72–80. [Google Scholar] [CrossRef]
- Kickul, J.; Griffiths, M.; Bacq, S.; Garud, N. Catalyzing social innovation: Is entrepreneurial bricolage always good? Entrep. Reg. Dev. 2018, 30, 407–420. [Google Scholar] [CrossRef]
- Liñán, F.; Rodríguez-cohard, J.C.; Rueda-cantuche, J.M. Factors affecting entrepreneurial intention levels. Gen. Inf. 2005, 7, 95–218. [Google Scholar] [CrossRef]
- Xie, G.; Wang, L. An empirical study on the influencing factors of the entrepreneurial intention of the new generation of migrant workers returning home. J. Fujian Bus. Univ. 2019, 3, 62–69. [Google Scholar] [CrossRef]
- Istanbuli, A. Self-efficacy and entrepreneur’s capabilities: Effects on the performance of palestinian women-led firms. Int. J. Islamic Mark. Brand. 2017, 2, 15–36. [Google Scholar] [CrossRef]
- Alvarez, R.D.; Denoble, A.F.; Jung, D. Educational curricula and self-efficacy: Entrepreneurial orientation and new venture intentions among university students in mexico. Int. Res. Bus. Discip. 2006, 5, 379–403. [Google Scholar] [CrossRef]
- Witold, N.; Haddoud, M.Y.; Lanari, D.; Egerová, D.; Czeglédi, C. The impact of entrepreneurship education, entrepreneurial self-efficacy and gender on entrepreneurial intentions of university students in the visegrad countries. Stud. High. Educ. 2019, 44, 361–379. [Google Scholar] [CrossRef]
- Cardon, M.S.; Kirk, C.P. Entrepreneurial passion as mediator of the self-efficacy to persistence relationship. Entrep. Theory Pract. 2015, 39, 5–29. [Google Scholar] [CrossRef]
- Lowe, R.A.; Ziedonis, A.A. Overoptimism and the performance of entrepreneurial firms. Manag. Sci. 2006, 52, 173–186. [Google Scholar] [CrossRef] [Green Version]
- Xie, Y.; Wang, G. Familial resources, entrepreneurial action learning and familial entrepreneurial capabilities: The moderating role of optimism. Sci. Res. Manag. 2016, 37, 98–106. [Google Scholar] [CrossRef]
- Fang, N.; Zhang, Y.; Yang, J. Heterogeneity of entrepreneurial team and new ventures’ performance: The moderating role of team leaders’ optimism. Manag. Rev. 2011, 23, 110–119. [Google Scholar] [CrossRef]
- Demirta, A.S. Optimism and happiness in undergraduate students: Cognitive flexibility and adjustment to university life as mediators. An. Psicol. 2020, 36, 320–329. [Google Scholar] [CrossRef]
- Meza, D.D.; Dawson, C.; Henley, A.; Arabsheibani, G.R. Curb your enthusiasm: Optimistic entrepreneurs earn less. Eur. Econ. Rev. 2019, 111, 53–69. [Google Scholar] [CrossRef]
- Hassali, M.A.; Saleem, F. Strengthening pharmacy practice research: The need for combining both qualitative and quantitative methodology. J. Pharm. Care Health Syst. 2014, 1, 3–6. [Google Scholar] [CrossRef]
- Hydén, M. The teller-focused interview: Interviewing as a relational practice. Qual. Soc. Work. 2014, 13, 795–812. [Google Scholar] [CrossRef]
- Scheier, M.F.; Carver, C.S.; Bridges, M.W. Distinguishing optimism from neuroticism (and trait anxiety, self-mastery, and self-esteem): A reevaluation of the life orientation test. J. Personal. Soc. Psychol. 1994, 67, 1063–1078. [Google Scholar] [CrossRef]
- Saunders, M.; Lewis, P.; Thornhill, A. Research Methods for Business Students; Pearson Education Limited: New York, NY, USA, 2012; pp. 76–77. [Google Scholar]
- Khurshid, M.M.; Zakaria, N.H.; Arfeen, M.I.; Rashid, A.; Nasir, S.U.; Shehzad, H.M.F. Factors influencing citizens’ intention to use open government data—A Case study of pakistan. Big Data Cogn. Comput. 2022, 6, 31. [Google Scholar] [CrossRef]
- Cammarano, A.; Varriale, V.; Michelino, F.; Caputo, M. Open and crowd-based platforms: Impact on organizational and market performance. Sustainability 2022, 14, 2223. [Google Scholar] [CrossRef]
- Ali, N.; Phoungthong, K.; Techato, K.; Ali, W.; Abbas, S.; Dhanraj, J.A.; Khan, A. FDI, green innovation and environmental quality nexus: New insights from brics economies. Sustainability 2022, 14, 2181. [Google Scholar] [CrossRef]
- Parente, L.; Falvo, E.; Castagnetti, C.; Grassi, F.; Mancini, F.; Rossi, P.; Capra, A. Image-based monitoring of cracks: Effectiveness analysis of an open-source machine learning-assisted procedure. J. Imaging 2022, 8, 22. [Google Scholar] [CrossRef]
- Liu, P.; Zhang, L.; Tarbert, H.; Yan, Z. Analysis on spatio-temporal characteristics and influencing factors of industrial green innovation efficiency—From the perspective of innovation value chain. Sustainability 2022, 14, 342. [Google Scholar] [CrossRef]
- Wang, J.; Duan, Y.; Liu, G. A study of specific open innovation issues from perspectives of open source and resources—The series cases of tesla. Sustainability 2022, 14, 142. [Google Scholar] [CrossRef]
- Bratianu, C.; Stanescu, D.F.; Mocanu, R.; Bejinaru, R. Serial multiple mediation of the impact of customer knowledge management on sustainable product innovation by innovative work behavior. Sustainability 2021, 13, 12927. [Google Scholar] [CrossRef]
- Tucker, P.; Bruijns, B.A.; Adamo, K.B.; Burke, S.M.; Carson, V.; Heydon, R.; Irwin, J.D.; Johnson, A.M.; Naylor, P.-J.; Timmons, B.W.; et al. Training pre-service early childhood educators in physical activity (teach): Protocol for a quasi-experimental study. Int. J. Environ. Res. Public Health 2022, 19, 3890. [Google Scholar] [CrossRef]
- Martínez-Borreguero, G.; Naranjo-Correa, F.L.; Mateos-Núñez, M. Development of stem instructional resources for teaching optics to teachers-in-training: Influence on learning and teacher self-efficacy. Educ. Sci. 2022, 12, 186. [Google Scholar] [CrossRef]
- Ghorbel, F.; Hachicha, W.; Boujelbene, Y.; Aljuaid, A.M. Linking entrepreneurial innovation to effectual logic. Sustainability 2021, 13, 2626. [Google Scholar] [CrossRef]
- Tian, X.; Zhao, C.; Ge, X. Entrepreneurial traits, relational capital, and social enterprise performance: Regulatory effects of cognitive legitimacy. Sustainability 2022, 14, 3336. [Google Scholar] [CrossRef]
- Klein, M.; Gutowska, E.; Gutowski, P. innovations in the t&l (transport and logistics) sector during the covid-19 pandemic in sweden, germany and poland. Sustainability 2022, 14, 3323. [Google Scholar] [CrossRef]
- Zheng, K.; Li, Y.; Wu, C. How do the chinese new farmers’ entrepreneurial talents drive the business model innovation of agricultural business organizations? Case study based on grounded research. Businesses 2022, 2, 97–109. [Google Scholar] [CrossRef]
- Sili, M.; Dürr, J. Bioeconomic entrepreneurship and key factors of development: Lessons from argentina. Sustainability 2022, 14, 2447. [Google Scholar] [CrossRef]
- Galardi, M.; Moruzzo, R.; Riccioli, F.; Granai, G.; Di Iacovo, F. Small rural enterprises and innovative business models: A case study of the turin area. Sustainability 2022, 14, 1265. [Google Scholar] [CrossRef]
- Scupola, A.; Fuglsang, L.; Gallouj, F.; Hansen, A.V. Understandings of social innovation within the danish public sector: A literature review. Adm. Sci. 2021, 11, 49. [Google Scholar] [CrossRef]
- Butler, A.C.; Chapman, J.E.; Forman, E.M.; Beck, A.T. The empirical status of cognitive-behavioral therapy: A review of meta-analyses. Clin. Psychol. Rev. 2005, 26, 17–31. [Google Scholar] [CrossRef] [Green Version]
- Malinowski, P.; Shalamanova, L. Meditation and cognitive ageing: The role of mindfulness meditation in building cognitive reserve. J. Cogn. Enhanc. 2017, 1, 96–106. [Google Scholar] [CrossRef] [Green Version]
- Robinson-Agramonte, M.D.; Michalski, B.; Fernández, L.G.; Vidal-Martinez, B.; Cuesta, H.V.; Rizo, C.M.; Fahnestock, M. Effect of non-invasive brain stimulation on behavior and serum brain-derived neurotrophic factor and insulin-like growth factor-1 levels in autistic patients. Drug Dev. Res. 2021, 82, 716–723. [Google Scholar] [CrossRef]
- Bandura, A. Human agency in social cognitive theory. Am. Psychol. 1989, 44, 1175–1184. [Google Scholar] [CrossRef]
- Lam, L.; Nguyen, P.; Le, N.; Tran, K. The relation among organizational culture, knowledge management, and innovation capability: Its implication for open innovation. J. Open Innov. Technol. Mark. Complex. 2021, 7, 66. [Google Scholar] [CrossRef]
- Battistella, C.; De Toni, A.F.; Pessot, E. Framing open innovation in start-ups’ incubators: A complexity theory perspective. J. Open Innov. Technol. Mark. Complex. 2018, 4, 33. [Google Scholar] [CrossRef] [Green Version]
- Lee, J.; Kim, D.; Sung, S. The effect of entrepreneurship on start-up open innovation: Innovative behavior of university students. J. Open Innov. Technol. Mark. Complex. 2019, 5, 103. [Google Scholar] [CrossRef] [Green Version]
- Chandler, G.N.; Jansen, E. The founder’s self-assessed competence and venture performance. J. Bus. Ventur. 1992, 7, 223–236. [Google Scholar] [CrossRef]


| Material Code | Entrepreneur Code | Expression | Classification | Evaluation |
|---|---|---|---|---|
| Material 1 | Entrepreneur 8 | I thought I should have a better choice. | cognitive flexibility (alternatives) | The entrepreneur’s expression reflects good cognitive flexibility and high entrepreneurial self-efficacy. |
| Instead of sticking to the tradition and waiting to die, it is better to find another way out and find a better development industry. | cognitive flexibility (control) | |||
| I thought if I embrace this dream, I would succeed. | self-efficacy | |||
| I received a good education abroad and obtained a master’s degree, which suggests my learning ability is beyond doubt. | self-efficacy | |||
| But I believed that after a period of study, I would certainly be able to master the development law of this industry and do a good job in this company. | entrepreneurial self-efficacy | |||
| Material 2 | Entrepreneur 9 | Yes, people in our village say my brain is alive. | cognitive flexibility | The entrepreneur’s expression reflects good cognitive flexibility and high entrepreneurial self-efficacy. |
| We peasants always say “the living can’t be suffocated by urine”. | cognitive flexibility (control) | |||
| I had no way, but the bank had a way. | cognitive flexibility (alternatives) | |||
| I patted my chest and told my uncle that I would be able to run the factory. Others are successful in business. Why can’t I? My brain is no worse than others, and I am hard-working. If a clever man is willing to insist and bear hardships, will there be anything he can’t do? | entrepreneurial self-efficacy | |||
| Material 3 | Entrepreneur 14 | It was like playing a card game, and then I was judged to be the group with low cognitive flexibility. | cognitive flexibility | The entrepreneur has participated in psychological experiments, and the results show that his cognitive flexibility is low; the entrepreneur’s cognitive flexibility in self-assessment is low; the entrepreneur’s expression of cognitive flexibility tends to use negative expressions. The entrepreneur’s entrepreneurial self-efficacy is low, and the whole expression is uninspired. |
| You can also say that I am the same outside and inside. I don’t look like a smart man with all sides, do I? | cognitive flexibility | |||
| This B & B is not my idea. | cognitive flexibility | |||
| I didn’t know what this building should be used for. | cognitive flexibility | |||
| But it seems that except for transforming it into a B & B, I can’t think of a better way to develop its value. | cognitive flexibility | |||
| But from the beginning, I felt that the possibility of success of this project was not high. | entrepreneurial self-efficacy | |||
| Knowing that the investment will not succeed, | entrepreneurial self-efficacy |
| Material Code | Entrepreneur Code | Expression | Classification | Evaluation |
|---|---|---|---|---|
| Material 4 | Entrepreneur 2 | In most cases, I am a confident person. | self-efficacy | The entrepreneur shows high self-efficacy and excellent entrepreneurship competence. |
| The continuous superposition of successful experiences has strengthened my self-confidence. | self-efficacy | |||
| So I also have strong self-confidence in entrepreneurship. | entrepreneurial self-efficacy | |||
| I thought to myself, why not use the huge market formed by these student resources to set up my own English training institution? | entrepreneurship competence (opportunity ability, conception ability) | |||
| I can do well in other people’s training institutions, so I can operate my own training institutions well. | entrepreneurial self-efficacy | |||
| In the process of starting the organization, I found a very key chance. The epidemic has created the rise of online classes. Instead of renting visible teaching venues at a high cost, why not set up an online training institution? | entrepreneurship competence (opportunity ability, conception ability) | |||
| So I gathered excellent teachers in the industry and set up the current English school. | entrepreneurship competence (operation ability) | |||
| With our concerted efforts, the school is running very well. It’s much better than when I was a teacher in someone else’s training institution. | entrepreneurship competence | |||
| I also want to further expand the scale of the school and turn our training institution into a general subject school covering all subjects in primary and secondary schools. | entrepreneurship competence (conception ability) | |||
| Material 5 | Entrepreneur 5 | If I can open a Vietnamese restaurant, it will undoubtedly satisfy my stomach and increase my family’s income. Why not? | entrepreneurship competence | The entrepreneur shows good self-efficacy and good entrepreneurship competence. |
| I told him it wasn’t difficult. The college entrance examination was so difficult that I still have been admitted to Peking University. This entrepreneurship was nothing more than an examination. As long as I work hard, I will be able to do well. | entrepreneurial self-efficacy | |||
| It takes money to open a restaurant. I used my good popularity among my colleagues and fellow villagers to raise a million. Opening a restaurant requires a good location. I repeatedly persuaded a local colleague in Shanghai who has a shop on Nanjing Road to rent the shop to me at a low price. | entrepreneurship competence (financing ability) | |||
| The most important thing to open a restaurant is a good cook. I did my best to summon my mother and aunt from Guangxi to Shanghai to become the chefs of our restaurant. | entrepreneurship competence (operation ability) | |||
| Facts have proved that my judgment is correct. Our Vietnamese restaurant is booming. | entrepreneurship competence | |||
| Material 6 | Entrepreneur 11 | I am engaged in agricultural science and technology. As a part-time professor in a university, I also teach agriculture. This venture to build an ecological farm is actually an in-depth excavation on the basis of the old career. I also have an agricultural technology company in my hand. In the past 20 years, I have also experienced four or five entrepreneurships, large and small, with successes and failures. Up to now, I am nearly half a hundred years old, and I can say that I have accumulated a lot of experience. | entrepreneurship competence | The entrepreneur is undoubtedly a double model of entrepreneurship theory and practice. He shows high entrepreneurial self-efficacy and entrepreneurship competence. |
| I’m familiar with entrepreneurship. I know the way. By the way, I am also an entrepreneurship tutor in a university in Singapore. | entrepreneurial self-efficacy | |||
| Ecological farms can be said to keep up with the trend of the times. You see, ecotourism is so popular now. | entrepreneurship competence (opportunity ability) | |||
| Our farm business starts with eco-tourism, positioning the high-end tourism market and developing business leisure tourism services. Meanwhile, we use the natural pollution-free ecological environment of the farm to produce high-quality organic food and green food, which can be provided to high-end restaurants and hotels. Of course, we also build amusement parks and deepen the development of tourism services. | entrepreneurship competence (conception ability) | |||
| And as you know, my doctoral program is management. I have both theory and experience in business management. | entrepreneurial self-efficacy; entrepreneurship competence (operation ability) | |||
| Our farm tries to jump out of agriculture and grasps agriculture, and transforms traditional agriculture with industrialized mechanisms, means, and elements. We use information technology to effectively manage procurement, production and sales, and vigorously promote standardized production. In terms of human resources, we generally pay attention to staff training, replace managers with operators, and regard people as key resources rather than utilization objects. | entrepreneurship competence (operation ability) | |||
| Our farm not only has economic value, but also I have built it into an education base. We have signed scientific research practice cooperation agreements with colleges and universities such as Hainan University. | entrepreneurship competence (conception ability) | |||
| Material 7 | Entrepreneur 1 | I thought it couldn’t be done. It really couldn’t be successful. How many successful entrepreneurs have you seen? Not everyone is Ma Yun. We haven’t done anything except reading (“reading” means receiving school education—researcher’s note) for twenty or thirty years. Two ears don’t hear things outside the window, and ten fingers don’t touch the spring water. (Chinese proverbs. It means to do nothing but study—researcher’s note) If we do farming successfully, where will we put the farmers who do it all their life? Is there any reason? | entrepreneurial self-efficacy | The entrepreneur has low entrepreneurial self-efficacy and lacks entrepreneurship competence. |
| The results can be imagined. Without experience, many crabs died. The ones that survived were small and less crab roe. They were no better than big brand hairy crabs such as “Yangcheng Lake”. Our hairy crab online shop is also closing down, and no one cares. | entrepreneurship competence | |||
| Material 8 | Entrepreneur 14 | The current business situation has verified my initial assumption. It is indeed a wrong decision to convert this building into a B & B. | entrepreneurial self-efficacy; entrepreneurship competence | The entrepreneur has a low entrepreneurial self-efficacy, negative attitude, and low entrepreneurship competence. |
| will it be better? I don’t think so. | entrepreneurial self-efficacy | |||
| And you see, this street is full of B & B, homogenization competition is so fierce, and we have no characteristics. Unless other better hotels are full, customers will not choose us. | entrepreneurial self-efficacy; entrepreneurship competence | |||
| We haven’t studied hotel management, and we’re clumsy to help at the front desk. | entrepreneurship competence | |||
| First and last, I was not optimistic at the beginning. I didn’t have any motivation and passion. I’m too lazy to think about it again. | entrepreneurial self-efficacy |
| Material Code | Entrepreneur Code | Expression | Classification | Evaluation |
|---|---|---|---|---|
| Material 9 | Entrepreneur 17 | But the stock is always too risky, not a long-term plan. I thought I can’t let the money idle and take risks. I can start a business and create more and more stable wealth. | cognitive flexibility (alternatives) | The entrepreneur shows high cognitive flexibility and good entrepreneurship competence. |
| We women should take into account children and families. We can’t afford too much business. We might as well do some small businesses within our ability. | cognitive flexibility (alternatives) | |||
| I began to think about what is more conducive to the current economic situation, what people just need, what cannot be solved in online stores and can only be completed in the entity. | entrepreneurship competence (opportunity ability) | |||
| Aren’t these venues and human resources suitable for a postpartum care center? | entrepreneurship competence (conception ability) | |||
| We invited special teachers from Dalian to train the staff. In addition, I went to a postpartum care center in Shanghai for three months to study. | entrepreneurship competence (operation ability) | |||
| Now the nine rooms in my confinement center are full, and many expectant mothers have made an appointment six months later. | entrepreneurship competence | |||
| My business is very complete. | entrepreneurship competence (operation ability, conception ability) | |||
| Women’s entrepreneurship should start from the perspective of women. Women can help women. | entrepreneurship competence (opportunity ability, conception ability) | |||
| Material 10 | Entrepreneur 19 | But they only saw the benefits within the system, not the broader market outside the system. | cognitive flexibility (alternatives) | The entrepreneur shows good cognitive flexibility, courage and calmness, and strong entrepreneurship competence. |
| Why should I stick to the small world of an institution and keep the fixed monthly salary? It’s better to rush. I was almost 40 years old. I can’t toss about in a few years. | cognitive flexibility (alternatives) | |||
| I saw the value of Macau, the most economically developed region, without losing order. Most of the people who come to Macau for entertainment are rich people, who are the largest audience in our art auction industry. | entrepreneurship competence (opportunity ability) | |||
| It’s not easy to open an auction company in Macau. We should take care of all aspects. We can’t miss any temple. (Chinese proverbs. It means doing business should keep a good relationship with all competent departments—researcher’s note) You see, I have made so many friends from all walks of life. Many of them are business relationship. | entrepreneurship competence (operation ability) | |||
| The loss is a little big, but doesn’t entrepreneurship have ups and downs? Hold on! You 90s generation always like to say that you have to finish walking on your knees. (Internet buzzwords. It means that whatever you choose to do, you have to finish it no matter how difficult it is—researcher’s note) | entrepreneurship competence (commitment ability) | |||
| We Chinese often say “farming in the sunny days and reading in the rainy days”. Take advantage of this whole depressed leisure time to improve myself. | cognitive flexibility (alternatives) | |||
| The management of enterprises needs continuous self-improvement, and I practice it. | entrepreneurship competence | |||
| Material 11 | Entrepreneur 20 | You know, it’s hard to find a job in Britain. People in their own countries can’t find a job. Why do they want us foreigners? I continued to engage in the purchasing industry, set up my own studio, and found two other women who are also staying here with their husbands to do purchasing together. | cognitive flexibility (alternatives) | The entrepreneur shows good cognitive flexibility and good entrepreneurship competence. |
| What kind of work is not difficult? If you have difficulties, you can find a way to solve them! If there are problem, I’ll break them one by one. | entrepreneurship competence (commitment ability) | |||
| For homogeneous competition, I work out my own characteristics. | entrepreneurship competence (conception ability, operation ability) | |||
| In order to eliminate the customer’s concern about the authenticity of purchasing, my solution is to play the acquaintance card. | entrepreneurship competence (operation ability) | |||
| Mine has been nine years. Right? You’ve heard from Bibi. I won’t hide it from you. My monthly income is better than your annual income. | entrepreneurship competence | |||
| Material 12 | Entrepreneur 6 | I was born as a soldier. After I retired from the army, I had nothing else to do, no skills, and no entrepreneurial ideas. As I like riding motorcycles, I opened this training school. | cognitive flexibility (alternatives) | The entrepreneur’s expression shows obvious stubbornness, stupidity, low cognitive flexibility, and poor entrepreneurship competence. |
| These motorcycles are still new. | entrepreneurship competence | |||
| I didn’t think so much. | entrepreneurship competence | |||
| So I can’t lower the training fee. | cognitive flexibility | |||
| My brother said that the root cause was that my EQ was not very high and I couldn’t speak politely. I speak in a blunt manner to learners, have a bad attitude, and they won’t introduce me to new customers. | cognitive flexibility | |||
| What can I do? We are soldiers. The bounden duty of soldiers is to obey orders. How can there be so many colorful ideas? | cognitive flexibility (alternatives) | |||
| If business doesn’t work this summer, I’ll sell the motors, close the school, and pay my brother some money firstly. | entrepreneurship competence (commitment ability) |
| Material Code | Entrepreneur Code | Expression | Classification | Evaluation |
|---|---|---|---|---|
| Material 13 | Entrepreneur 7 | If I summarize the outstanding advantages of Inner Mongolia people, I think it is optimism. | optimism | The entrepreneur has obvious optimism, good cognitive flexibility, and excellent entrepreneurship competence. The entrepreneur believes optimism plays a positive role in his entrepreneurship. |
| Oh, this thing is too important. I have been herding sheep on the grassland since I was a child. There are eagles in the sky and wolves on the ground. How could I persist if I don’t have the spirit of optimist and believe that the heaven will bless me? | optimism | |||
| Why do you think so much? Just do it! | entrepreneurship competence | |||
| If you are willing to work hard, the heaven will help you! I believe this. I don’t think the poor children on the grassland will have bad luck. How much worse? You hit the bottom and can bounce. | optimism | |||
| Barefoot people are not afraid of those wearing shoes. (Chinese proverbs. It means that the poor are braver than the rich because the poor have nothing to worry about—researcher’s note) What am I afraid of?! | optimism | |||
| Hope is around the corner, isn’t it? | optimism | |||
| I began to look for new business opportunities. | cognitive flexibility | |||
| After all, I’m lucky. Without culture and background, I have come to this day with a mentality full of hope. | optimism | |||
| Material 14 | Entrepreneur 15 | I admit that the hotel industry is hard to do after the epidemic, but my home stay was opened in the year of the epidemic. In other words, I have thought of all the negative factors you can think of, really, but I insisted on doing it. | cognitive flexibility (alternatives); entrepreneurship competence (commitment ability) | The entrepreneur has certain cognitive flexibility and an indomitable entrepreneurial commitment. The entrepreneur’s optimism undoubtedly inspires her entrepreneurial process. |
| I am an idealist. I firmly believe that dreams can be helped by God. | optimism | |||
| Now Guanerjie is really a little famous. Everyone knows that it carries a designer’s own dream. Guanerjie also won a prize in a home stay design competition. As for performance, although we can’t say it’s full every day, we have a stable source of customers. | entrepreneurship competence | |||
| I believe Guanerjie will be better and better, and I will be better and better. If a person only insists on doing one thing all her life, what do you think is the probability that she can do it well? I think it’s 100%. | optimism | |||
| Material 15 | Entrepreneur 3 | I put the reason for the closure down to four words, blind optimism. (Chinese four words 盲目樂觀, when translated into English, they are two words—researcher’s note) | entrepreneurship competence; over optimism | When the entrepreneur does project post-mortem, she regrets her over-optimism in the process of entrepreneurship. The entrepreneur’s over-optimism hinders her real understanding of the entrepreneurial situation and damages her entrepreneurship competence. |
| I laugh all day and don’t take anything to heart. A natural optimist. | optimism | |||
| optimism is not necessarily a good thing. You see, I’m careless all day. I’m not as worried and melancholy as you, but my character is really bad for doing things. Impulsive and lack of consideration. | over optimism | |||
| When I went to a plastic surgery hospital to do double eyelids (Common Asian plastic surgery. In recent years, Asian aesthetics has followed the European and American trend. Asian women yearn for double eyelids, long eyelashes, high-bridged noses, and white skin, so these aspects of plastic surgery are very popular—researcher’s note), I saw that their business was so hot. I was so excited that I went to study for half a year and opened this store. I only saw the hot surface, not the hardships of this industry. | entrepreneurship competence (opportunity ability); over-optimism | |||
| When I finished double eyelid and false eyelashes for several friends around me, I found that there was no business to do. | entrepreneurship competence | |||
| My mother said I was stupid and bold to open a shop. Take it for granted. I only saw the thief eat meat, but I didn’t see the thief beaten. (Chinese proverbs. It means only seeing the good side of others, not the bad side—researcher’s note) | entrepreneurship competence; over-optimism | |||
| Fortunately, it was not a big investment. It should be regarded as the accumulation of experience of entrepreneurial failure. | optimism | |||
| Material 16 | Entrepreneur 4 | I’m too stupid and naive. | over-optimism; entrepreneurship competence | The entrepreneur’s over-optimism exacerbates his fluke psychology. In addition, his low education and legal blindness not only lead to entrepreneurial failure, but also bring about the negative situation of imprisonment. His entrepreneurial ability is “self-evident”. |
| Then I was a little floating. I thought I can do anything. I also had a fluke mentality. Real jade and fake jade were sold together. At that time, I thought people always do in this way, and I wouldn’t have an accident. As the saying goes, wealth is sought in danger. (Chinese proverb. It means you have to do something illegal to get rich. Obviously, the value orientation of this saying is incorrect—researcher’s note) | over-optimism | |||
| I went in (prison—researcher’s note) for 11 months, and my jade store was sealed up. | entrepreneurship competence |
| Index | Absolute Fit Index | Incremental Fit Index | Parsimony Fit Index | ||||
|---|---|---|---|---|---|---|---|
| Specific classification | X2/df | RMSEA | IFI | TLI | CFI | PGFI | PNFI |
| Judgment criteria | <5 | <0.08 | >0.9 | >0.9 | >0.9 | >0.5 | >0.5 |
| Fitness effect | 1.848 | 0.055 | 0.934 | 0.929 | 0.933 | 0.737 | 0.807 |
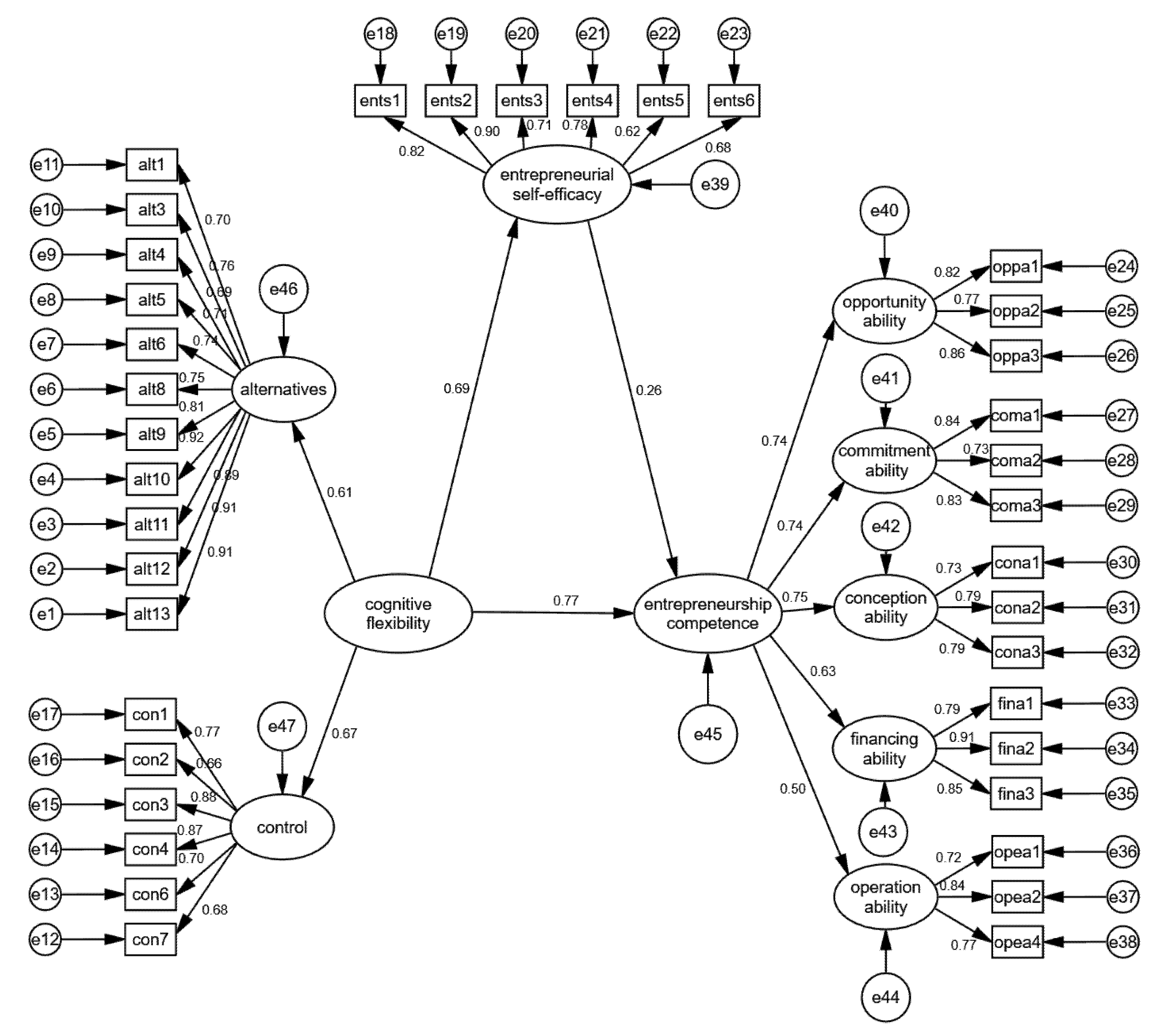
| Path | Estimate | S.E. | C.R. | p | ||
|---|---|---|---|---|---|---|
| entrepreneurial_self-efficacy | <--- | cognitive_flexibility | 0.694 | 0.115 | 6.513 | *** |
| entrepreneurship_competence | <--- | entrepreneurial_self-efficacy | 0.261 | 0.104 | 2.037 | 0.042 |
| entrepreneurship_competence | <--- | cognitive_flexibility | 0.774 | 0.157 | 4.343 | *** |
| Effect | Standardized Estimation Coefficient | S.E. | LLCI | ULCI |
|---|---|---|---|---|
| Total effect | 0.955 | 0.079 | 0.800 | 1.115 |
| Direct effect | 0.744 | 0.271 | 0.509 | 1.386 |
| Indirect effect | 0.181 | 0.054 | 0.069 | 0.316 |
| Unstandardized Coefficients | Standard Coefficient | t | Significance | ||
|---|---|---|---|---|---|
| B | S.E. | BETA | |||
| (Constant) | 3.657 | 0.027 | 136.701 | 0.000 | |
| cognitive flexibility | 0.543 | 0.037 | 0.715 | 14.551 | 0.000 |
| optimism | 0.303 | 0.042 | 0.384 | 7.188 | 0.000 |
| optimism quadratic term | 0.078 | 0.028 | 0.167 | 2.840 | 0.005 |
| cognitive flexibility multiplying optimism | −0.172 | 0.062 | −0.159 | −2.750 | 0.006 |
| cognitive flexibility multiplying optimism quadratic term | −0.184 | 0.034 | −0.353 | −5.376 | 0.000 |
Publisher’s Note: MDPI stays neutral with regard to jurisdictional claims in published maps and institutional affiliations. |
© 2022 by the authors. Licensee MDPI, Basel, Switzerland. This article is an open access article distributed under the terms and conditions of the Creative Commons Attribution (CC BY) license (https://creativecommons.org/licenses/by/4.0/).
Share and Cite
Alves, J.; Yang, W. Cognitive Mechanisms in Entrepreneurship Competence: Its Implication for Open Innovation. J. Open Innov. Technol. Mark. Complex. 2022, 8, 65. https://doi.org/10.3390/joitmc8020065
Alves J, Yang W. Cognitive Mechanisms in Entrepreneurship Competence: Its Implication for Open Innovation. Journal of Open Innovation: Technology, Market, and Complexity. 2022; 8(2):65. https://doi.org/10.3390/joitmc8020065
Chicago/Turabian StyleAlves, José, and Wenjing Yang. 2022. "Cognitive Mechanisms in Entrepreneurship Competence: Its Implication for Open Innovation" Journal of Open Innovation: Technology, Market, and Complexity 8, no. 2: 65. https://doi.org/10.3390/joitmc8020065
APA StyleAlves, J., & Yang, W. (2022). Cognitive Mechanisms in Entrepreneurship Competence: Its Implication for Open Innovation. Journal of Open Innovation: Technology, Market, and Complexity, 8(2), 65. https://doi.org/10.3390/joitmc8020065

