Abstract
Dialectics, or developmental transformation, would eventually cause any system to change. The level and depth of these changes vary and depend on the power of external influence and system reservation mechanisms. The art of managing system processes consists of two main aspects. The first aspect involves the sagacity of managers and predicting general environmental change trends (and their impacts on the managed system). The second involves adjusting to these trends, maximizing possible benefits, and minimizing the negative manifestations of this process. Innovation plays an important role, contributing to system transformations with maximal effect and minimal loss. Public transport systems are important elements in cities, as they provide spatial mobility for at least half of the citizens of a city who cannot use individual transportation. Modern urbanization and peculiarities of the social–economic statuses of many citizens contribute to the fact that organized public transportation is unprofitable. The low solvency of citizens who use public transportation services means that passenger transport systems do not work with enough profitability. As a result, governing institutions often choose to subsidize unprofitable transporter activities, thereby prolonging the functioning of unprofitable routes. This is possible only in conditions of sustainability (in regards to a non-optimal system), when the environment is calm, and its negative impact is low. “Black swans” (according to N. Taleb) are bifurcation factors that break the sustainability of non-optimal system. Urban public transport (UPT) of a large Russian city, Tyumen, experienced it in 2020, in connection with the COVID-19 lockdown. The sharp decrease in population mobility in Tyumen, in 2020–2021, caused the need for a complete transformation of the transport service system. However, managers did not want to fundamentally change a system that consensually suited most counterparties. The search for new balances in a system that demands transformation is one way for sustainable provision. This article looks at the transformation and sustainability of a UPT system in the large Russian city of Tyumen, under conditions affected by the negative impact of COVID-19. Results of a comparative (i.e., pre-crisis (2019) and crisis (2020)) Pareto analysis of the contributions of different UPT routes are presented. Transformation of the structure of the UPT route system can overcome the “crisis” COVID-19 period and minimize its financial-economic costs.
Keywords:
urban public transport (UPT); city passenger public transport (CPPT); large Russian city; COVID-19; open business model; stress-innovations; route system transformation; efficiency of the transportation process; importance of routes; Pareto diagram; sustainability; management; innovative method of distribution of resources 1. Introduction
The phrase “business model” generates different associations. In many respects, it is associated with the consequences of diverse experiences and development paths of successful companies and economic spheres. However, upon closer examination, all successful companies and economic spheres use a similar approach in building competitive business processes. A. Osterwalder and Y. Pigneur researched this experience [1].
Osterwalder’s business model involves the use of strategic management. According to Osterwalder’s business model, the production activity of any successful company can be presented as a nine-block scheme [1]. The structuring of Osterwalder’s business model can help specify elements of business success.
However, simple formalization of business process elements often has one significant drawback. Any business can “work” in human society—it cannot be isolated from social processes and the external environment. Therefore, the term «open business model» should be used to describe any production or service provision sphere. The environment significantly affects the functioning of social–economic systems, including transport systems.
In conditions involving the negative impact of the environment, the system has to transform in order to adapt to changed conditions. Otherwise, the system would degrade and crash.
This article considers the adjustment transformations of a city’s public transport system during COVID-19 conditions. Forced, but, at the same time, an innovative adaptation redistribution of system resources is an example of an open transformative business models of a city’s public transport system under stress-conditions (i.e., under the influence of “black swan” events).
The year 2020 was a peculiar year for all of humanity. K. Schwab and T. Malleret named it The Great Reset [2]. Forcing people to reduce their activities changed their lifestyles; activities that were typically conducted in real, everyday life (offline) became virtual (online). It especially affected businesses. The UNCTAD (2020) World Investment Report [3] pointed out that: “the COVID-19 crisis will cause a dramatic fall in foreign direct investment (FDI). Global FDI flows are forecast to decrease by up to 40% in 2020, from their 2019 value of USD 1.54 trln.). This would bring FDI below USD 1 trln. for the first time since 2005. FDI is projected to decrease by a further 5% to 10% in 2021”. The decline of investment activity had an impact on the decrease of general business activity and activity in the sphere of transportation in space, specifically. The McKinsey Global Payments Report 2020 said that: “for the payments sector, global revenues declined by an estimated 22% in the first six months of the 2020 year compared to the same period in 2019”.
A. Ortega [4] predicted “options” in regards to the development of the planet. According to A. Ortega, there are three possible scenarios in the near future: «every one for himself», «international collective intelligence», and «step by step muddling through». Priority choice—and by following the development of one of the options—will significantly affect the future of the transport sphere of economics and perspectives of passenger transportation market development. However, humanity is more interested in current events then in the far future.
Market crashes and restriction of business activity led to a significant decrease in the general mobility of people. Moreover, ubiquitous lockouts imposed by governments in the majority of countries, in spring 2020, contributed to such results. The transportation sector went in to a crisis state—the aviation transportation sector, in particular [5,6]. However, the automobile passenger transport services (95% of which are urban public transport (UPT) or city passenger public transport (CPPT) in Russian) also experienced difficulties in the spring–summer 2020 [7]. A significant decrease in demand for transportation forced transporters to drastically decrease the number of vehicles they placed on routes. It naturally led to the decline of transportation volume. Such a decline had not happened since the Second World War. This crisis became a challenge to organizers of city transport services. This article responds to this challenge in Tyumen, a large city of the Russian Federation. In the analysis of the sustainability of the Tyumen CPPT service, primary emphasis was placed on evaluating its structural sustainability, i.e., the transformation of the relationship between demand and supply of the transport service, and the effectiveness of transportation of specific routes, in the context of the routing system.
2. Problem, Purpose, and Research Tasks
Transport mobility is impacted by the general activities of people. Many factors affect the formation of transport mobility. H. Gudmundsson et al. [8] believe that there are likely hundreds of impact factors and that they should be grouped, highlighting (for each group)the most significant representative factors. With a limited number chosen for the analysis of impact factors, researchers can simulate the transport activity processes in different conditions. E. Rossi et al. [9] believe that the “COVID-19 pandemic is having drastic impacts on our lives in ways that no one would have been able to think just a few months ago”. It is connected with the fact that serious changes in people’s lifestyles, organizations, and social interactions occurred in the last 15 months of 2020–2021.
Figure 1 presents a general scheme of formation of the actual transport mobility of citizens. It should be noted that patterns of standard conditions, of the transport behaviors of citizens, are influenced by sudden, predicted cataclysms (natural and climatic disasters, social–political events, etc.). Epidemiological catastrophes are also included in this list.
Figure 1.
General scheme of formation of actual transport mobility of city residents.
The COVID-19 pandemic is a good example of an epidemiological catastrophe that significantly affected the change of the transport mobility of citizens. As a result, demand for transport services drastically decreased and transporters had to adjust to the unexpected conditions. Passenger auto transport companies suffered from the COVID-19 pandemic restrictions.
This research considers the decrease in demand for public transport services due to COVID-19 restrictions, and the attempts of transport service organizers to support sustainability of CPPT system functioning. It seems that the decline of transport supply is a natural answer to the decrease in demand. However, management decisions should maintain the balance between demand and supply. The breach of this balance can stimulate the process of deformation and subsequent devastations of the routing system structures of a city’s public transportation.
In the context of a routing system structure—roles of specific transporters or the significance of particular routes in the routing system can be reconsidered. The main goal of this research is to understand the balance between demand and supply, accumulated for years of system functioning.
If the answer is positive, then we are interested in knowing how much damage the breach of balance caused in regards to the routing system of CPPT of a large Russian city. A positive answer also leads to a discussion about possibilities of holding the CPPT system in a sustainable state, changes of the routing system structure, and reformatting of the significance of specific transporters for the city in the conditions of market decline.
The aim of the research was to learn the peculiarities of the transformation of the CPPT system of Tyumen, a large Russian city (population—816,800 people in 2021) under COVID-19 conditions, and evaluate the impact of an innovative method of correction of the distribution of resources for structural sustainability. Section 3.2 is dedicated to the justification of city choices.
Research tasks included:
- Analyzing the issue state; analyzing the results of previous papers on the research theme; justifying the research subject choice; study of its specifics;
- Researching stress-factors that had a significant impact on reformatting of the transport service market, considering the event dynamics and final results of stress-factor impacts on the city’s CPPT system;
- Developing a method of evaluating the impacts of stress-factors on structural sustainability of the city’s CPPT routing system;
- Collecting and analyzing the experimental data necessary for evaluating the change of structure of the CPPT routing system under COVID-19 conditions;
- Representing and analyzing research results;
- Discussing the practical usage of results; producing methodical recommendations to maintain a sustainable passenger transportation market, under COVID-19 conditions;
- Formulating conclusions on completed research.
3. Analysis of Issue State
3.1. Literature Review
3.1.1. General Information about the Business Models of the Transport Market
It is necessary to examine the peculiarities of the development of business management models. The authors of [10] performed critical research on the “business models” theme. They researched 119 articles in 63 journals devoted to this theme, published from 1970 to 2011. Analysis of these articles allowed tracing the development paths of marketing business models, making conclusions about the incremental transformations of three main types—open competition (OC), community franchise (CF), and government enterprise (GE).
K.G. Zografos et al. [11] introduced the term “flexible transport systems (FTSs)”. They noted that: “Several alternative business models varying according to the local market conditions, the socio-economic, legal, and institutional framework may be developed for the provision of flexible transport systems (FTSs)”. FTSs are open; they consider changing demands, sharp changes of conditions of their functioning, and environmental challenges that cannot be ignored.
The authors of [12] provide an overview of the denotations of the individual subject areas for business model research. The relevance of research on individual elements of the business model process can be represented in levels of hierarchy: 1—change and evolution; 2—innovation; 3—design; 4—implementation; 5—controlling; 6—operation.
D. Emerson et al. [13] present the analysis of business models for urban public transport systems. The authors of [13] noted that, nowadays, there are three main business models in the sphere of transport services in cities. Peculiarities of these business models, classified by different aspects of interest, are presented in Table 1.
Table 1.
Main types of business models for urban public transport systems.
Business models for the Tyumen Urban Public Transport systems can be classified as open competition (OC) with elements of government enterprise (GE). In different years, relations between OC and GE for the Tyumen CPPT business model has varied in regards to the external situation. This allows us to additionally classify Tyumen CPPT as a “flexible transport system (FTS)”.
A literature review devoted to the business models of system transformation allowed us to make two main conclusions. First, the main topic of those works is the innovative approach to business management. For example, e-commerce, digitalization of the just-in-time approach, and other approaches based on the information, are the foundation of such business models [14,15,16,17].
Secondly, system transformation, connected to negative aspects of environmental influence, is forced. Business decisions in conditions of uncontrolled events (“black swan”) are connected more with stress-innovations in the distribution of limited resources than with the usage of technological methods [18].
3.1.2. General Information about COVID-19 Transformation of Urban Public Transport System
Innovative transformation of the CPPT system was accelerated as a result of the COVID-19 pandemic. Thousands of articles are devoted to the negative impacts of COVID-19, in 2020–2021, on social and economic development. These works can be differentiated into several groups. The first involve studies devoted to the research of COVID-19 specifics and its spread [19,20,21,22,23,24,25,26,27,28,29,30,31]. The second group of works [32,33,34,35,36,37,38,39,40,41,42] presents results of research of the connection between dynamics of COVID-19 spread, population density, and social–cultural peculiarities of lifestyles. The third group consists of works of general purpose, mainly about the political–economic sphere [43,44,45,46,47,48,49,50,51,52,53]. The fourth group is devoted to COVID-19′s impact on individual aspects of transport system functioning, and demonstration of transport activity [54,55,56,57,58,59,60,61,62,63,64,65,66,67,68,69,70,71,72,73,74,75,76,77,78,79].
Let us consider the results of these works in detail. The majority of works concern research on the medical and epidemiological aspects of COVID-19 [19,20,21,22]. Acute respiratory infection caused by SARS-CoV-2 is a vivid example of a contagious (and quite dangerous) disease that can occur in weak and severe forms, leading to disability and death [19,20,21,22]. It should be noted that the process of an epidemic spread is described by the catastrophe theory [23,24]. In regards to COVID-19, the death toll reached 3.3 million people in a year, and it continues to grow. The case fatality rate (CFR) of COVID-19 is high, at 2%.
Works [25,26,27] are devoted to the modeling of processes of the COVID-19 spread.
These works include critical comments about the dangers of infection and provide recommendations on protection measures. In regards to transportation, these works present research results about the dangers of COVID-19 on passengers using public transportation, and provide recommendations on safe distancing.
Medical, geographical, and physical research works are being conducted. In [28], issues on the spatial spread of infection in the coastal and continental areas of France are considered. It is established that, in continental areas, infections are more dangerous, mostly because of high concentration in the air.
L. Wang et al. researched the impact of the COVID-19 lockdown on the concentration of ozone O3 in the atmosphere [29]. They concluded that lockdown restrictions significantly influenced changes in the composition of the atmosphere.
Analogous research of atmospheric composition changes during the COVID-19 lockdown in Saudi Arabia was conducted by I. Anil et al. [30]. They concluded that: “COVID-19 has procured a unique chance for the atmospheric researchers, policymakers, and administrative bodies to assess the effects of emission reductions on the ambient air quality and to rethink the current and future air pollution mitigation strategies”.
The authors of [31] explored, from a physics point of view, the issue of infection transferring by air. They examined the process of virus transmission and concluded that a flow of directed air (i.e., an air curtain) protects more efficiently than medical masks, by decreasing the possibility of the spread of the infection (i.e., via a fine mist).
S.V. Ershkov et al. [25] and S.A. Yeprintsev et al. [33] illustrated dynamic differences in the spread of COVID-19 in different countries.
H. Cai [34] considered issues of susceptibility to COVID-19 by differentiating people by their sex.
R. Chaudhry et al. [35] explored the impact of the COVID-19 mortality rate on government operational actions in different countries, and the response “readiness” of populations to limitations of their external activities.
E. Y. Y. Chan et al. [36], via a study population consisting of Hong Kong residents, assessed the socio-demographic predictors of health risk perception associated with health-emergency disaster risk management for biological hazards (such as COVID-19).
P. Zhao et al. [37] researched factors that influenced the formation of local hotbeds of disease, clustering these hotbeds in North China. They concluded that it is necessary to decrease the frequency and density of contacts between people in public places.
A. Pérez-Escoda et al. [38] researched issues of transformation, regarding informational interaction between people during the lockdown. According to their research, traditional «live» communication can be replaced by a remote format, but only for a short time.
This group of work also includes articles on the mass changes of everyday behaviors that took place during lockdown restrictions [39,40,41,42,43,44,45,46], and the risk of a mass spread of infection [47,48,49,50,51].
The impact of lockdowns on activities were measured by direct [39,40,41] and indirect methods, for example, by evaluation of air pollution in megalopolises [42,43,44]. Such phenomena were explored, including the loyalty of populations to vaccinations [45] and communication changes between people during lockdown periods [46,47]. V. Rafael and A. Monzón [46] showed that, during the lockdown period, people started using e-commerce more often. At the same time, researchers in [48] did not find anything fundamentally new in people’s behaviors. One of the most important observations [49] shows that, during a period of 2–4 months, the fear of everyday danger became apparent. People stop fearing infections, in necessary measures, and gradually return to familiar lifestyles. The authors of [50] obtained paradoxical results. The contentment of Moscow citizens who used the subway increased because of the growth of comfort connected with a decrease of user demands.
The authors of [51] presented data on the spatial and social behaviors of men and women, single people, and families during COVID lockdowns. Knowledge of these regularities can be used in organizing city mobility restrictions in the future.
Articles about changes in people’s consumer behaviors during the COVID-19 pandemic can also be assigned to this group. Their main purpose is to inform society about the dynamics of actual situations in different economics sectors (during 2020–2021).
The authors of [52] evaluated the impact of shocking historical events on city life from are retrospective position. The authors chose, as an epigraph of the article, a quote by A. Roy: “Historically, pandemics have forced humans to break with the past and imagine the world anew. This one is no different. It is a portal, a gateway between one world and the next”. They analyzed more than 200 sources of information and showed examples of economic cyclicity and inevitability of change of technological paradigms. Their main conclusion is that COVID-19 will be a powerful driver of change in the economic and social lives of society.
The authors of [53] presented analysis results of transportation methods of citizens from 131 countries. Adherence to individual transport is typical for countries with high levels of GDP per capita.
In [54], the process of restarting the economy in the post-epidemic period is modeled.
The authors of [55] consider the issues of speed and power, and reactions to the pandemic threat by governments in 11 Southeast Asia countries (Indonesia, Laos, Malaysia, Myanmar, the Philippines, Singapore, Thailand, Vietnam, China, Japan, and South Korea). They concluded, “the government intervention measures are perceived positively, hence, reducing market volatilities. However, extreme and strict government measures may also be counterproductive and lead to increased market volatility”.
Research on changes of the structural state of the transport sector in 2020–2021 is presented in [56].
The authors of [57] considered the impact of the COVID-19 pandemic by evaluating the sustainability of the agricultural and food sector of Italy’s economics. Conclusions are disappointing—this sector of Italian economics lacks sustainability.
H. Brdulak et al. [58] researched the threats and challenges, in 2020, for international logistics, via internet surveys (i.e., of specialists in the logistics service market).
A. Parfenov et al. [59] explored transformations of consumer behavior during COVID-19 restrictions (from a structural position). They concluded that it is necessary to prepare for a swift paradigm shift, from online to offline practices, in practically all spheres of human interaction.
The authors of [60] researched sustainable approaches in the development of distance education. Lockdowns promoted fast learning of remote technologies, in regards to teaching and studying, and authors claim that this approach should be developed further.
The series of works devoted to transport policy in the period of the COVID-19 pandemic were presented in a special volume of the journal Transport Policy 2021 (Volume 103). The most interesting works are [61,62,63,64,65,66].
Various authors considered the impacts of COVID-19 on the actual state of the transportation sector. Y. Zhang et al. [61] explored redistribution of transport activity of citizens from motorized to non-motorized transport. J. Dai et al. [62] promoted free public transport rides as a political–economic method of returning to this type of transport mobility. M.V. Corazza et al. [63] considered issues of biological safety of public transport rides in the period of the pandemic. C. Eisenmann et al. [64] noted decreased interest in public transport in Germany and a transfer of transport activity of Germans to individual transport.
Conceptually, the issue of transformation, concerning the attitudes toward public transport in India during the COVID-19 pandemic, is presented in the article [65].
P. Christidis and A. Christodoulou [66] considered transformation and its relation to public transport in India. They examined the decline of the air transportation market during the COVID-19 pandemic, and showed that “strict measures (quarantine, flight cancelations, travel restrictions) can reduce risks”.
J. Molina et al. [69] claim that: “With respect to the role of the socio-demographic characteristics of individuals, our evidence indicates that age, gender, education, being native, and household composition may have a cross-country, consistent relationship with carpooling participation”. This conclusion is also typical for the COVID-19 period.
The authors of [70] agree with previous work. They researched the change of mobility of different population categories in the period of the lockdown. They concluded that different categories of the population had different regularities in mobility change during the active pandemic phase.
J. Cruz-Rodríguez et al. [71] researched the distribution of mobility approaches in the student environment. Their conclusions are extensive and concern not only movement economics, but also the emotional backgrounds of the students. Conclusions about the benefits of walking or riding a bike are confirmed by other studies [45,46].
The necessity of a scientific approach to develop bicycle infrastructure is explored by other authors [72]. From their point of view, planning bicycle infrastructure development should be based on the usage of specific master plans.
The most detailed research, in the sphere of future trends of bicycle usage as a leading type of urban transport, was conducted by the authors of [73]. The authors presented examples of the growth of bicycle popularity during the COVID-19 period in all countries, except Antarctica. Conclusions allow one to perceive MAAS not as a project of the future, but as a project of the present.
The authors of [74] answer the question «how can we assess the main indicators of public transport’s competitiveness, which can motivate personal car owners with specific basic values to change the transportation mode for personal mobility?». It is a known fact that, during the active COVID-19 period, the efficiency of passenger transportation in cities across the globe sharply decreased. Researchers are interested in how consumer demand for public transportation can be saved in the midst of fears of infection. The point of this work is to explore the basic needs and motivations of owners of individual transportation methods. Moreover, we attempt to understand what motivates them to use public transport.
The authors of [75] explored the changes of Canadians to public transport in 2020. Results confirm there was a decline in interest in using all transport types, except for individual automobiles and bicycles. However, as in other studies, the authors noticed a statistical difference in consumer behavior in people of different ages. Young people (18–30 years) were less aware of the possibility of the spread of infection than older people.
The authors of [76] conducted a survey questionnaire of public transport users. It showed that, at the beginning of the pandemic, fear of infection with COVID-19 was typical for almost everyone. In a year, the quality, nomenclature, and depth of fear of public transport passengers changed. For example, before the pandemic, behavior of other passengers did not matter to interviewees; however, during the pandemic, this aspect became quite important.
Slovak scientists explored changes in the suburban bus transportation system in Slovakia during the period of an active COVID-19 phase [77]. They established that there was a decrease in passenger transportation volume for suburban bus transportation in Slovakia, reaching 40% in March 2020; 70% in April 2020; and 60% in May 2020. The authors conducted detailed research on the dynamics of changes of transportation volume for different passenger categories. That analysis allows one to understand the influence of a negative environment (COVID-19) on decreasing transport activity efficiency.
M. Abdullah et al. [78] formulated the “modeling of interest” problem in regards to the use of public transportation in Pakistan during the COVID-19 pandemic. They concluded: «The results indicated that older people are less likely to use public transport during the pandemic, however, they are more likely to use public transport when they have to follow the necessary precautions. In addition, older people declared less often public transport use when they have COVID-19 symptoms. People with low educational qualifications are more likely to use public transport during the pandemic, however, they are less likely to use it if they have to follow the necessary precautions. Furthermore, people with low educational qualifications are more likely to use public transport while experiencing COVID-19 symptoms».
The conclusions of the authors in [79], about the future of urban public transport, are quite optimistic. They suggest, when managing public transportation, to use a consistent, analytical hierarchical process to make multi-criterial economic and ecologic decisions. The COVID-19 pandemic, it seems, will only contribute to this. This analysis represents only a small part of all works devoted to the reorganization of different aspects of people’s lives during the COVID-19 pandemic.
The analysis results are provide evidence in the fact that the CPPT system, during a COVID-19 pandemic, is transformed under the influence of two powers. On the one hand, CPPT must change (too many forced circumstances contribute to this). On the other hand, any big system, such as CPPT, possesses sustainability. It expresses the tendency of aspiration to the initial pre-crisis state. Transformation of the CPPT system during a COVID-19pandemic is determined by a set of external factors and is implemented as specific trends. The art of managing a CPPT system when the environment is undergoing negative impacts (in our case, by COVID-19) formalizes the search of the balance between saving its sustainability and external help in transformation.
3.2. Justification of Choice of Tyumen as a Source of Experimental Data
3.2.1. General Characteristics of Cities of the Russian Federation and Heterogeneity of Urbanization Processes
Russia, as with the majority of countries, is highly urbanized. In 2020, the share of the city population in the Russian federation was 74.7% [80]; 109.6 million people lived in 1117 cities. The population size of 173 cities exceeded 100,000 people. In total, 76.4 million people lived in these cities. The total population size of the other 944 small cities was 33.2 million people [81]. Table 2 presents information characterizing heterogeneity of city populations of Russia (2020) [82].
Table 2.
Distribution of city population of Russia by city.
The distribution of Russian cities, by the size of the population, does not fully correspond to Zipf’s law [83,84]. It was caused by process updates of Russian city structures launched by the dissolution of the Soviet Union in 1991 [85]. It is expected that the populations of Yekaterinburg and Novosibirsk will reach 3 million (by 2030–2035), and then the law of Russian population settlements in cities will correspond more to the classic Zipf’s law.
Table 3 presents statistical information on representative cities of each category from Table 1, characterizing specifics of settlements of populations in the city space.
Table 3.
Specifics of settlements of citizens in the city space of typical Russian cities (2020).
The most significant conclusion of Table 3 is that city population density δpopulation significantly increases with the growth of population size P. This phenomenon was noticed long ago [81]; it determines by the specifics of the growth of a city, where population N starts to grow according to the model P ≈ Sn from a certain point of time [86].
With the growth of the city area, the significance of this problem increases. In large cities, such as Shanghai (city area S = 6341 km2; city population P ≈ 22.3 million. people), it is impossible to live without high-speed transport systems [87]. In relatively smaller areas, it is reasonable to use less fast (and significantly cheaper) transport vehicles (buses of different capacities).
The statistical relation between the population sizes of Russian urban agglomerations (people) and their areas (km2) is expressed as power function P ≈ Sn with power n ≈ 1.95–2.05 [88]. Correspondingly, the relation between agglomeration area S (km2) and population size of P cities equals to . The world’s “city diversity” (population density in South-eastern Asia is significantly higher than in the majority of cities in the USA and Europe) has a wide range of density of citizen settlements in city spaces. In regards to this fact, model transforms to with power n = 1.85–2.15.
3.2.2. Dialectics of Development of Tyumen CPPT System (1940–2020)
The history of the Tyumen CPPT began in 1940, when first three bus routes started to transfer passengers on a regular basis. During next 80 years (1940–2020) Tyumen CPPT system has constantly developed. Development stages are presented in Table 4.
Table 4.
Development stages of the Tyumen CPPT system (1940–2019).
Analysis of Table 4 allows us to note the following:
- The city and its CPPT system have been intensively developed.
- Throughout an 80-year period, there were two types of CPPT buses (main—during the whole period) and trolleybuses (auxiliary—in 1970–2009).
- In the period of 2000–2010, pivotal reformatting processes in fulfilling transport demands occurred. Automobilization increased by 3.5 times (from A2000 = 60 vehicles/1000 people to A2010 = 210 vehicles/1000 people). It led to a significant decrease in demand for CPPT service and an increase in demand for transportation by individual transport.
- In 2010–2020, automobilization continued (A2020 = 470 vehicles/1000 people), but, at the same time, the quality of the city CPPT system developed via the improvement of the route network, transportation organization system, and vehicle quality. It boosted the growth of the demand for CPPT service and the growth of transport supply.
3.2.3. Justification of Choice of Tyumen as a Source of Experimental Data—Short Characterization of Tyumen CPPT System (2021)
Tyumen is a large, dynamically growing Russian city (population in 2021—816.800 people). During the last 60 years, the city population grew five-fold. The growth could be attributed to Tyumen being chosen as the center of development for the oil and gas industries of Western Siberia. This led to powerful growth in 1960–1980. In recent years (2000–2021), the city experienced a higher quality of life and economic growth, further leading to optimistic perspectives about the city’s development.
Another reason for choosing Tyumen to study the structural sustainable CPPT route system is due to its unique city transport system (in comparison to other Russian cities). The uniqueness is defined by a combination of two characteristics—only one type of public transport (no other large Russian city has only one type of public transport) and a high level of individual automobilization (470 vehicles/1000 people). This combination contributes to the special conditions required for the development of the city public transport routing system. On the one hand, Tyumen public transport services are used by citizens of low social-economic status, mostly living in remote city districts, but working in the center. On the other hand, the public transport routing system is homogeneous because there is only one type of public transport—buses.
Tyumen’s city passenger public transport (CPPT) included 110 bus routes, 2081.6 km total length, as of the beginning of 2021. Meanwhile, in the central part of the city there is a significant overlay of routes and a, respectively, high (δroute = 15–18 km/km2) density of the routing network. Conversely, in remote city districts, the density of the routing system is quite low (δroute = 0.5–1.5 km/km2). CPPT is provided with buses of different passenger capacities q. Almost 50% of CPPT vehicle parks consist of large capacity buses (qmax = 100–110 passengers); nearly 25% consist of low capacity buses (qmax = 22–35 passengers); nearly 15% consist of medium capacity buses (qmax = 50–70 passengers), and nearly 10% consist of buses of especially large capacity (qmax = 150–80 passengers). Taking into account actual passenger traffic and peculiarities of routes, the distribution of CPPT vehicles (nearly 1250 buses) by routes is quite heterogeneous. There is a minimum of two buses assigned to a route (peripheral tangential route № 9) and a maximum of 40 buses assigned to a route (diametrical routes №№ 25 and 30, connecting main residential areas with the central part of the city). Bus assignments (by route) and determining the necessary number of buses are based on the demand for transportation. Heterogeneity of the distribution of buses by routing system is determined by peculiarities of passenger traffic, researched by specialists who organize Tyumen’s transport system.
High heterogeneity of the density of the routing network (δroute = 15–18 km/km2 in center и δroute = 0.5–1.5 km/km2 in remote areas) and heterogeneity of the distribution of buses by route determine service quality and the efficiency of transport activity. In city center parameters, the efficiency (e.g., buses hourly output Qhour) and quality (e.g., the regularity of buses traffic R) are quite high. Conversely, in remote areas, passenger transportation is economically unprofitable. Therefore, the quality of transport service is comparatively low (Figure 2).

Figure 2.
Differentiation of quality and efficiency of passenger transportation on the Tyumen CPPT bus routing network. Note: highly efficient routes serve the city center; low efficient routes serve remote city areas and the suburbs.
In general, the Tyumen passenger public transport system can be characterized as ambiguous. It consists of high quality vehicle parks and a transport process organization, a medium quality routing network and low quality efficiency (in regards to passenger transportation).
4. Justification of the Choice of the Largest Stress-Factor: Structural Sustainability of the Tyumen CPPT Routing System Evaluated under the Impact of Chosen Stress-Factor
4.1. COVID-19 as a Stress-Factor for CPPT System
During the last 15 years (2005–2019), annual volumes of transportations Qyear were in the range of Qyear = 128 million passengers/year–150 million passengers/year (Table 5).
Table 5.
Dynamics of the Tyumen CPPT system state in 2005–2019.
In 2020, the annual volume of transportation sharply decreased to 100.5 million passengers/year. A decrease in this indicator, by 1.5 times, is extraordinary. In 2020, city public transport experienced shocking impacts from the external environment—an intense medium-term decline in demand for transport services. The annual volume of passenger transportation in Tyumen in 2020 was Qyear 2020 = 100,472,900 passengers while Qyear 2019 = 150,301,700 passengers (66.8% relatively to 2019). The decline in transportation work was even more intense (by 43%).
The reason for the decline was due to the lockdown constraints reducing citizen mobility during an acute phase of «self-isolation» (in Tyumen—April–June 2020 for all citizens, in October 2020–February 2021—for university students and senior citizens older than 65 years).
Figure 3 presents a chart representing changes of the monthly volume of Tyumen CPPT transportation during 2017–2020 (48 months). Analysis of this chart shows that annual seasonal factors (winter/off-season/summer) impact the volume of passenger transportation. However, generally, the coefficient of the unevenness of transportation volume varies (0.88; 1.12), i.e., deviates from the average annual by no more than 10–12%. COVID-19 changed the usual trends. In April–June 2020 (40–42 months in Figure 3 and Figure 4) absolute (Figure 3) and relative (Figure 4) indicators of efficiency of the Tyumen CPPT transportation decreased four-fold.
Figure 3.
Dynamics of change in regards to the annual value of transportation volume, Qmonth of the Tyumen CPPT during 2017–2020 (4 years).
Figure 4.
Dynamics of change of specific (per trip) value of transportation volume, Qtrip of the Tyumen CPPT during 2017–2020 (4 years).
The deviation of the actual system state from the common could be attributed to «hard reformatting of transport service market». The main factors that provide reformatting of the transport service market include a decrease in demand for transportation (and, thus, a decrease in transport mobility of citizens), and constraint of the transport service supply by companies (transporters).
4.2. Consideration of Event Dynamics during Stress-Factor Impacts on the Tyumen CPPT System and Results of This Negative Impact
4.2.1. Change of General State of the Routing System and Parameters of Tyumen CPPT Transportation Process in COVID-19 Conditions
In January–March 2020, the CPPT transportation process in Russian cities were implemented in a common sustainable regime. Lockdown was announced on 30 March, 2020, in Russian due to the spread of COVID-19. During the next three months (April–June 2020), the mobility of Russian citizens (including transport) was sharply constrained. At the same time, the Tyumen CPPT routing system did not change structurally, i.e., the set of service routes remained the same as before the lockdown. However, the parameters of transportation systems of Tyumen CPPT routes seriously changed.
In the period from 30 March 2020, to the middle of May, the number of working buses, Aroute, decreased by half (from 1140 to 640–720 on weekdays). The number of executed trips Z, decreased proportionally in demand (from 12,000 to 7000–8000 on weekdays). However, the two-time decline in CPPT transportation parameters was not proportional to an almost four-fold decline in demand for transporter services. The usual average daily transportation volume on weekdays was previously 450,000 passengers/day, after the self-constraints period in April, daily volumes Qdaily decreased to 95,000–100,000 passengers/day, and only in the second half of May did it insignificantly increase (up to 110,000–115,000 passengers/day).
Data (Figure 4) showed changes in relative transportation volume per trip Qtrip (passengers/trip).
Figure 5 presents charts showing the Tyumen CPPT state in March–June 2020.
Figure 5.
Change in the number of buses in operation Aroutes, and the number of executed trips Z on Tyumen CPPT routes in the period 1 March to 5 July 2020.
Later in the summer and autumn of 2020, and winter of 2020–2021, the number of working buses and the number of executed trips increased again. However, these parameters were 10–12% lower than in February–March 2020.
Figure 6 presents photos of compartment filling on buses, on Tyumen routes, during an acute phase of COVID-19 in April 2020.

Figure 6.
Silhouette photo of compartment filling of buses on Tyumen routes during an acute phase of COVID-19 in April 2020.
The first 2–3 weeks of a «self-isolation» regime coefficient of compartment filling of Tyumen CPPT buses, even in the rush hour, was lower than γ = 0.10. In August–September 2020, the coefficient of bus compartment filling increased to γ = 0.25–0.30, but did not reach what was common for the Tyumen CPPT system in 2017–2019 values of γ = 0.40–0.50.
The chart in Figure 7 shows the dynamics of changes of the daily volume of transportation on Tyumen CPPT routes during March 2020–February 2021. Analysis of the chart in Figure 7 shows that the Tyumen CPPT state improved in parallel with the epidemiological situation right up to 1 October 2020. The epidemiological situation started to degrade due to the second wave of COVID-19 and the increase of morbidity (which influenced the decrease of population mobility).
Figure 7.
The change in daily transportation volume of Tyumen CPPT during March 2020–February 2021. Notes: 1. The sharp decrease of daily transportation volume in the period of 31 December 2020 to 10 January 2021 is explained by long new-year holidays (non-working days for a population of the Russian Federation).2. The periodical decrease of Qdaily is explained by a sharp decrease in transportation volume on weekends and increase on weekdays.
It should be noted that, in autumn–winter 2020, there was no strict mobility-constraint lockdown in Russia. Nevertheless, specifically, the epidemiological situation and its impact on Russian citizens was the reason the final results of the Tyumen CPPT system functioning in 2020 were worse in comparison to 2019. Annual volume of transportation Qyear 2020 decreased by 1.5 times relative to Qyear 2019, which has never happened before.
4.2.2. Statistical Distribution of Values of Parameters of Tyumen CPPT Transportation Process in Different Routes in 2020 and 2019
Figure 8, Figure 9, Figure 10 and Figure 11 show corresponding pair charts of the distribution of values, of the parameters Qyear, passengers/year; Zyear, trips/year; Qtrip, passengers/trip; Q1km, passengers/km.
Figure 8.
Distribution of values of the annual transportation volume Qyear on Tyumen CPPT bus routes in 2020 and 2019.
Figure 9.
Distribution of values of the annual number of trips Zyear on Tyumen CPPT bus routes in 2020 and 2019.
Figure 10.
Distribution of values of the relative number of passengers Qtrip transferred on Tyumen CPPT bus routes, per trip, in 2020 and 2019.
Figure 11.
Distribution of values of the relative number of passengers transferred per 1 km of bus mileage Q1km on Tyumen CPPT bus routes in 2020 and 2019.
In two cases (Qyear, passengers/year; Zyear, trip/year), distribution of statistical value is determined by an exponential law, in the other two (Qtrip, passengers/trip; Q1km, passengers/km)—by Weibull law.
Analysis of Figure 8, Figure 9, Figure 10 and Figure 11 and data of Table 6 allow us to conclude similarity of charts; the immutability of bus routes belonging to maximum and minimum values of parameters Qyear, passengers/year; Zyear, trips/year; Qtrip, passengers/trip; Q1km, passengers/km. At the same time, it should be noted that data for 2020 were significantly lower in comparison to the data of 2019.
Table 6.
Range of actual values of characteristics of the Tyumen CPPT transportation process on different bus routes in 2020 in comparison to analogs in 2019.
Table 6 shows corresponding information that characterized the change of the situation in the Tyumen CPPT system in 2020 in comparison to 2019.
5. Methodology of the Evaluation of Stress-Factor Impacts on the Structural Sustainability of the City CPPT Routing System
In Section 4.2.2, we showed how Tyumen CPPT routes differ by different characteristics of the transportation process. The contribution of different CPPT routes to the general final result (by period) varies. Different routes have different specializations, for example, mainline and auxiliary routes, from the position of transportation volume formation. Route configuration, route location, and other characteristics also impact transportation volume formation.
The impact of stress-factors on the city transport system can be evaluated by the scheme presented in Figure 12.
Figure 12.
Scheme of evaluation of the impact of COVID-lockdown on the system of a large city passenger transportation.
Structural peculiarities of the bus routing system could be evaluated by Pareto diagrams. The impact of the COVID-lockdown on structural peculiarities of the bus routing system can be considered by the Wilcoxon T-test [89].
The methodology of evaluating the stress-factor impact on structural sustainability of the city CPPT routing system involves three stages.
Stage 1—comparative Pareto analysis of the contribution of different CPPT routes to the general final result by period—year; a second quarter (April–June); month (April). The choice of these specific periods is explained by the fact that, in April–June 2020, COVID-19 constraints were implemented in Russia, and in April 2020, there were maximal COVID-19 constraints.
Example of Pareto analysis for 2019 data (Q2019 = 150.3 million passengers/year).
The process consists of next actions.
- 1.1.
- Gathering and processing of information about Qi 2019 for i-th routes (totally 110 CCPT routes).
- 1.2.
- Preparation for building a Pareto diagram in regards to a contribution of i-th route, to the general final passenger transportation volume results of 2019 Qi 2019.
- 1.2.1.
- Ranking of the Tyumen CPPT routes (totally 110 routes) by characteristic «annual transportation volume of i-th route» Qi 2019.
- 1.2.2.
- Rationing of the Y-axis–calculation of share of i-th route contribution to the final passenger transportation volume result of 2019 (Qi 2019 = 150.3 million. passengers/year).
- 1.2.3.
- Validation of calculations by test .
- 1.2.4.
- Rationing of X-axis–calculation of share of 1 statistically average CPPR route out of 110.
- 1.3.
- Formation of Pareto-distribution–localization of experimental points for building of Pareto distribution curve by determination of values (Xi; Yi) for each Tyumen CPPT route (2019) on a coordinate system.
- 1.4.
- ABC-analysis–extraction on the Pareto-diagram of zones of Yi values, corresponding to the first 10, first 20, first 40, last 40 (61–100), last 20 (81–100), last 10 (91–100) percentiles of Xi values.
- 1.5.
- Analysis of results–formulation of the conclusion about contributions of different CPPT routes to general final results Q2019 = 150.3 million passengers/year.
- 1.6.
- Stages 1.1…1.4 repeat for another two time periods of 2019–for Q04–06 2019; Q04 2019.
- 1.7.
- Stages 1.1…1.5 repeat for data of 2020–for Q2020; Q04–06 2020; Q04 2020.
Stage 2—analysis of peculiarities of changes of transportation volume structure for finding changes in relations Q2019/Q2020, for routes belonging to the first 10, first 20, first 40, last 40 (61–100), last 20 (81–100), last 10 (91–100) percentiles of values Xi. The analysis is held by creation correlation matrices.
Stage 3—analysis of the significance of stress-factor influence on the change of final transportation volume Q for three time periods–by years (Q2019/Q2020); by second quarters (Q04–06 2019/Q04–06 2020); by April (Q04 2019/Q04 2020). Analysis was held by the standard Wilcoxon T-test for corresponding compared data sets (Q2019/Q2020 in order; Q04–06 2019/Q04–06 2020; Q04 2019/Q04 2020).
Zero hypothesis H0 is defined as «intensity of shifts in typical direction does not exceed an intensity of shifts in atypical direction».
Alternative hypothesis H1 is formulated as «intensity of shifts in typical direction exceeds the intensity of shifts in atypical direction».
The goal of the research is to collate the intensity of shifts in any direction by absolute value. At first, all absolute values of shifts are ranked, and then their ranks were summed. If shifts in positive and negative directions occur spontaneously, then the sums of ranks of absolute values would be approximately equal. If the intensity of shifts in one direction is considerably bigger than in another direction, then shifts do not happen spontaneously.
Initially, we supposed that a typical shift is a shift in a more frequently occurring direction, and an atypical shift is a shift in a less frequently occurring direction.
6. Gathering and Analysis of Experimental Data, Necessary for Evaluation of Change of the CPPT Routing System Structure in COVID-19 Conditions
The following procedure information was taken in the Tyumen Department of road infrastructure and transport (necessary for Pareto analysis) [90].
All information about transportation volume on different CPPT routes Qi year are sorted in descending order. For example, fragments of ranked route volumes are presented in Table 7.
Table 7.
Example of ranking of annual transportation volumes on Tyumen CPPT routes in 2019 and 2020.
Diagrams of Section 7 are built, based on data provided by the Tyumen Department of road infrastructure and transport [90].
7. Results of Research and Discussion
7.1. Evaluation of Structural Sustainability of Tyumen CPPT Routing System
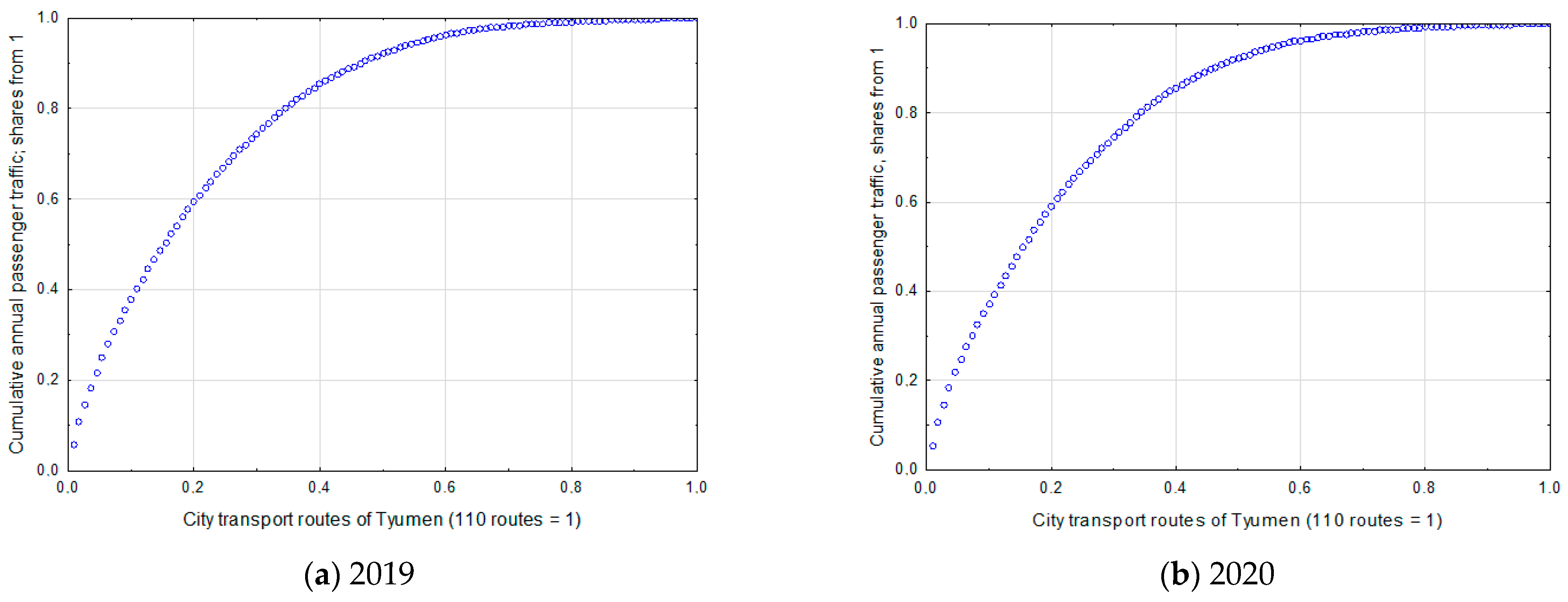
Results of the comparative Pareto analysis (between 2019 and 2020) of the contributions of different CPPT routes in the general results are presented below. Results of the research are presented as Pareto-diagrams (Figure 13, Figure 14 and Figure 15) [91,92].
Figure 13.
Pareto-distribution of cumulative annual volume of transportation Qyear (12 months) at Tyumen CPPT routes. Note: scales of coordinate planes are normalized in range [0, 1].
Figure 14.
Pareto-distribution of cumulative transportation volume during the second year quarter Q04–06 at Tyumen CPPT routes. Note: scales of coordinate planes are normalized in range [0, 1].
Figure 15.
Pareto-distribution of cumulative transportation volume during April Q04 at Tyumen CPPT routes. Note: scales of coordinate planes are normalized in range [0, 1].
7.1.1. Pareto Analysis of Contribution of Different CPPT Routes into Annual (12 Months) General Results
Figure 13 presents Pareto-distribution of cumulative annual volume of transportation Qyear (12 months) at Tyumen CPPT routes in 2019 and 2020.
Table 8 and Table 9 present numerical values of transportation volume Q, attributable to every 20th percentile of cumulative distribution (2019 and 2020).
Table 8.
Characteristics of cumulative curve (Lorenz curve) of distribution of annual transportation volume Qyear at Tyumen CPPT routes.
Table 9.
Distribution of annual transportations volume Qyear by percentiles of Tyumen CPPT routes.
It should be noted that the data of Table 8 and Table 9 indicate the maintenance of route volume structures in 2020, at the same level as in 2019. The first 20% of the most significant routes (22 routes out of 110) provide 59.2–59.3% of annual passenger transportation volume Qyear in Tyumen. The last 20% (81–100%) provide only 0.8% of annual passenger transportation volume Qyear in Tyumen. As shown in Table 6, the first four routes with the highest transportation volume stay the same. Routes №№ 30, 25, 17, 51 are diametrical; they pass through the whole city and connect peripheral districts with the city center. The structure of routes—outsiders—is relatively stable as well.
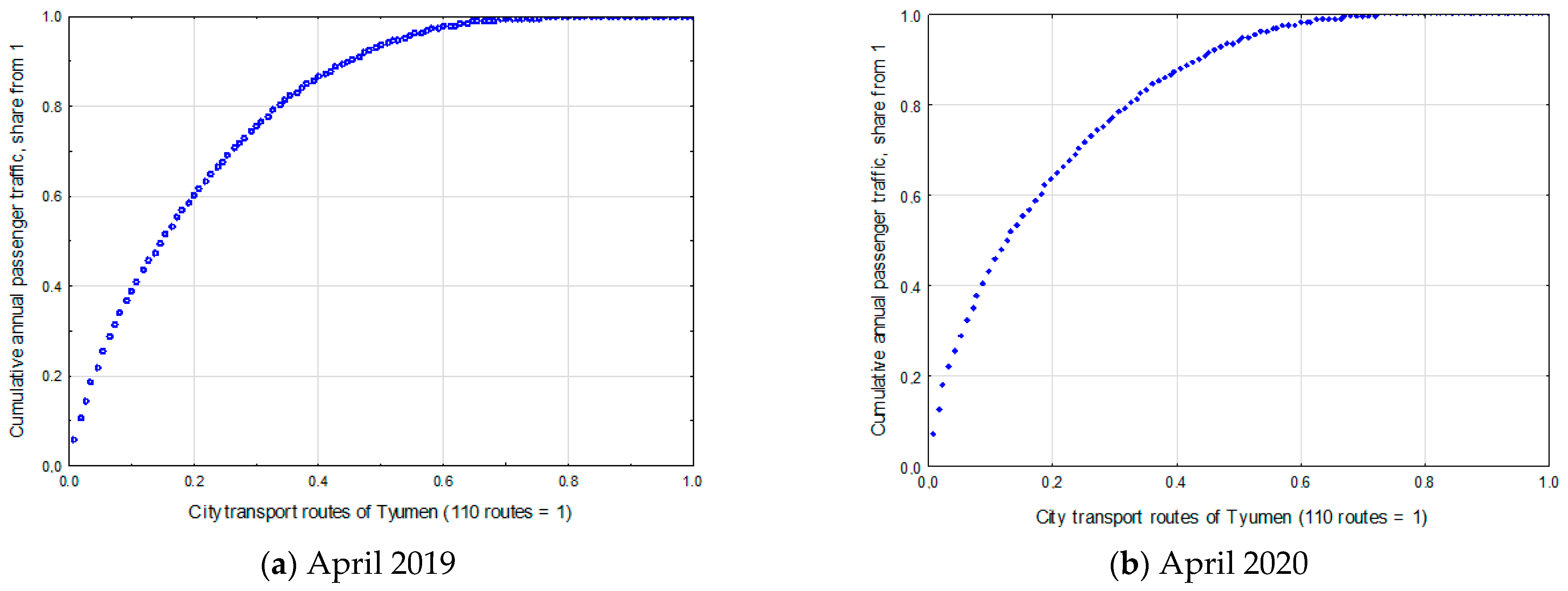
7.1.2. Pareto Analysis of the Contribution of Different CCPT Routes into the General Results of the Second Year Quarter (April, May, June)
Figure 14 shows the Pareto-distribution of the cumulative transportation volume during the second quarter Q04–06 at Tyumen CPPT routes in April–June 2019 and April–June 2020.
It should be noted that April–June 2020 was the acute phase of the COVID-lockdown. Table 10 and Table 11 show numerical values of transportation volume Q, attributable for every 20-th percentile of cumulative distribution (second quarter 2019 and second quarter 2020).
Table 10.
Characteristics of the cumulative curve (Lorenz curve) of distribution of the transportation volume Q04–06 at Tyumen CPPT routes.
Table 11.
Distribution of annual transportation volume Q04–06 by percentiles of Tyumen CPPT routes.
Analysis of data from Table 10 and Table 11 shows that, during the second quarter 2020, shares of transportation volume, attributable for 20, 40, 60% of routes, changed. The share of transportation volume of the 22 most significant routes declined from 59.1% to 57.7%.
The composition of the first and the last four Tyumen CPPT routes by the value of Q04–06 remained stable. The best four routes by transportation volume were №№ 30, 25, 17, 51; the worst by the same indicator were—№№ 149, 129, 157, 134.
7.1.3. Pareto Analysis of the Contribution of Different CPPT Routes in Monthly (April) General Results
Figure 15 presents Pareto distribution of the cumulative transportation volume during April Q04 at Tyumen CPPT routes in April 2019 and April 2020.
Table 12 and Table 13 show numerical values of transportation volume Q, attributable to every 20-th percentile of cumulative distribution (April 2019 and April 2020).
Table 12.
Characteristics of cumulative curve (Lorenz curve) of distribution of transportation volume Q04 at Tyumen CPPT routes.
Table 13.
Distribution of annual transportations volume Q04 by percentiles of Tyumen CPPT routes.
Analysis of data of Table 12 and Table 13 shows a significant shift of data of April 2020, relatively, to the analogous data of 2019. In April 2020, 25 routes out of 110 were not executed. Shares of the first 20th percentile of routes increased from 0.603 in April 2019 to 0.634 in April 2020.
The composition of the first and the last by the value of Q04 in April 2019 and April 2020 remained the same. The best four routes by transportation volume Q04 were №№ 30, 25, 17, 51; the worst by the same indicator—№№ 149, 129, 157, 134.
7.1.4. Results from Evaluating the Structural Sustainability of Tyumen CPPT Routes System
Based on the results of the research, presented in Section 7.1.1, Section 7.1.2, Section 7.1.3, the following conclusions were made.
- Despite the decrease of the general annual transportation volume, by 1.5-fold, the general structure of the distribution of the volume by routes remained the same. Two conditions indicate this. The first—features of the Pareto-diagrams (2019 and 2020) show unevenness of the contribution of different routes to the general annual results by transportation volume (Table 8 and Table 9). The second—practically unchanged composition of the best routes (ranks 1–5) and the worst routes (ranks 106–110) forming these total volumes.
- The sudden crisis of the Tyumen CPPT system, connected with a sharp decrease of the transport activity of citizens during the COVID-19 restrictions, had a serious impact on not only transportation volume, but also on the structure of the distribution by the routing system. The data in Table 12 and Table 13, and Figure 15, illustrate two observations. First, in April 2020, a quarter of the routes of Tyumen (25 out of 110) were not executed, and that was a direct consequence of catastrophic COVID-19 events in society. Second, there was a significant increase (in the conditions of the general decrease of volume Q04 2020 relative to Q04 2019 by four-fold) of the share of passenger transportation on routes, related to the first 20-th percentile.
Analysis of the structure of routes, which experienced a sharp change of transportation volume in the acute phase of COVID-19, showed that they could be divided into two different groups. Routes of the first 20th percentile (0–20-th percentile) are routes that serve the city center. They are maximally resource-rich. The transporters of these routes could be evaluated as relatively efficient. Their profits exceed expenses. These routes are primarily used by solvent middle-aged people who have permanent jobs and stable lifestyles. Routes of the last 20th percentile (81-st to 100-th percentile) are peripheral, and they serve remote districts. Low-income people (senior citizens or, vice versa, young people) mostly live in such districts. Their level of well-being is low, the majority of senior citizens do not have “high” social status. Due to these circumstances, in relatively good times, transporter activities on these routes were unprofitable, and the municipality had to subsidize them. These routes were terminated in April 2020 and minimized during the COVID-19 period.
- 3.
- Despite the crisis of the Tyumen CPPT system in April 2020, transportation organizers actively started to recover from the crisis in May–June 2020. As a result, by the end of the second quarter of 2020, the structure of the CPPT route system volume distribution approached to its initial numbers. At the same time, the return was provided by the municipality’s financial support for routes of the last 20th percentile (80.1–100 percentiles). If there had been no support, the distribution of transportation volume would likely not have returned to the initial structure.
- 4.
- Consequently, despite the COVID-crisis of 2020, the Tyumen CPPT system could be characterized as structurally sustainable. Structural sustainability is provided by municipal management. The reasons and motivations of management approaches can differ. One of the most important is a desire to avoid social unrest. The fact is that economic support provides sustainability of the Tyumen transport service system.
7.2. Discussion of Results
Conclusions about structural sustainability of the Tyumen CPPT system are not final. We reviewed the annual, quarterly, and monthly volumes—but not how they were formed. It is known that transportation volume Q forms by taking into account the number of completed trips Z, and the average (weighted by possibilities of possible values) value of the random variables of indicator Q1km.
During the transformation of the transportation system in the period of an acute phase of COVID-19, the number of executed trips, Z, and the expected value of indicator Q1km changed (practically always decreased).
Relative transportation volume, attributable to 1 km of bus mileage Q1km.i, was calculated for all 110 Tyumen CPPT routes. Table 14 presents the sampled values of indicator Q1km in 2019 and 2020 for some Tyumen CPPT routes.
Table 14.
Change of values of the expected value of Q1кm. i of Tyumen CPPT routes in 2020, compared with values of the expected value of Q1кm. i of Tyumen CPPT routes in 2019.
For different routes, relative volumes Q1км changed in different degrees during the year (2019–2020). Bus route № 151 experienced a maximal decrease of the relative volume of Q1km.i in 2020, compared to 2019, by 1.831-fold (Q1km. 151–2019/Q1km. 151–2020 = 1.831). For 70 out of 110 CPPT routes, the values of the coefficients (Q1km. 2019/Q1km м. 2020) were in the range of 1.25–1.50.
Figure 16 presents the regression model Q1km 2020 = f(Q1km 2019) built for the organization of passenger transportations at Tyumen CPPT routes.
Figure 16.
Mathematical dependence Q1km 2020 = 0.069 + 0.7022 ∙ Q 1km 2019.
According to statistics values, a decrease of values of Q1km (2020) relative to Q1km (2019) occurred proportionally. A decrease of passenger transportation efficiency in 2020, relative to indicator values of 2019 (at all Tyumen CPPT routes to a greater or lesser extent), occurred systematically.
It proves our conclusion about structural sustainability of the Tyumen CPPT routing system.
7.3. Results of Analysis of the Significance of the Impact of Stress-Factors on the Change of Total Transportation Volume Qi Using the Wilcoxon T-Test
Results from using the Wilcoxon T-test on the corresponding data samples (Q 2019/Q 2020 in general; Q 04–06 2019/Q 04–062020; Q 04 2019/Q 04 2020) for the first 20% of Tyumen routes (22 out of 110), and for the first 40% (44 out of 110) are presented below.
Table 15 shows the fragment of the table of the T-Wilcoxon test of critical values (Tcr.) for two levels of statistical significance. The reasoning can be based on the results of comparison Temp. with Tcr. (p = 0.01) [89,93,94].
Table 15.
The fragment of the table of T-Wilcoxon criteria, critical values (Tcr.) [89,93,94].
Rule of acceptance for the hypothesis H1: if the empirical value of criterion Temp. ≤ Tcr. is appropriate to the level of statistical significance p = 0.01, then the promoted statistical hypothesis is considered proven [89,93,94].
Results of evaluating the COVID-19 stress-factor significance in the change of transportation volume are given for three cases—Q 2019/Q 2020; Q 04–06 2019/Q 04–06 2020; Q 04 2019/Q 04 2020.
Case Q 2019/Q 2020 in general
Comparing the values of sums, of the ranks of atypical shifts Temp. = 1 (for the case «The first 20% of routes») and Temp. = 3 (for the case «The first 40% of routes») with table values of the Wilcoxon T-test (Tcr. = 55 for p = 0.01 for the case n = 22 and Tcr. = 296 for p = 0.01 for the case n = 44), we conclude that Temp. < Tcr., i.e., Temp. is in the significance zone and change of values Qyear are not random, then hypothesis H1 is proved.
Case Q 04–06 2019/Q 04–06 2020
Sums of ranks of atypical shifts Temp. = 10 (for the case «The first 20% of routes») and Temp. = 15 (for the case «The first 40% of routes»). Temp.< Tcr., i.e., Temp. is in the significance zone and change of values Q04–06 are not random, then hypothesis H1 is proved.
CaseQ042019/Q042020
Sums of ranks of atypical shifts Temp. = 15 (for the case «The first 20% of routes») and Temp. = 21 (for the case «The first 40% of routes»). Temp.< Tcr., i.e., Temp. is in the significance zone and change of values Q04 are not random, then hypothesis H1 is proved.
At the same time, it should be noted that comparison of Temp. values for annual Q 2019/Q 2020, quarter Q 04–06 2019/Q 04–06 2020 and monthly Q 04 2019/Q 04 2020 cases show relatively big instability of the process of transportation volume change in case of comparison Q 04 2019/Q 04 2020.
Therefore, we can make a conclusion about the significance and impact of COVID-19 stress-factors on change of transportation volume.
8. Conclusions
Any process takes time to develop, according to the laws of dialectics. For example, the change of structure of a CPPT system involves systematic modification of the number of CPPT routes and the vehicle fleet sizes serving these routes. These processes occur naturally.
However, sometimes, unexpected events force events to speed up. N. Taleb named these events «Black swans». Events that occurred during the spring–summer of 2020 became “black swans” due to the global COVID-19 pandemic. This period was catastrophic for the “natural processes” of the life support of cities.
The systematic structure of passenger transportation volume of CPPT routes has developed throughout the years. This process has two aspects. The first is that new citizen needs force transportation organizers to launch new routes. The second is that there are various structures of use of transport services along different routes. The majority of passengers who use routes serving the city center are middle-aged people who always use CPPT service. Passengers on peripheral routes are mostly senior citizens or young people (students). They were restricted in a bigger way compared to other categories of citizens during the COVID-19 lockdown. Thus, a sharp decrease in demand for transportation was typical for peripheral Tyumen CPPT routes. Consequently, transportation volume along these routes decreased in spring–summer 2020.
Research showed that, a year later, in 2021, transport service fully returned to its initial structure. Transportation volume changed, but the structure of distribution by routes remained quite sustainable.
Sustainability was mostly provided by the municipality (i.e., subsidizing unprofitable transporter activities on peripheral CPPT routes). If there had not been financial support, then the structure would have adapted to the environment, as it did in spring–summer 2020. Events of spring–summer 2020 was a “stress-test” of the entireTyumen transport service system. The question is, “What will happen to the city transport system in case of a sharp change of volume or structure of demand for transport services?” The answer is, “The state of the transport system will highly depend on possibilities and the desire of the municipality to organize external funding of unprofitable transporter activity, in conditions where there is a decrease in demand for transport services, and population solvency”.
Author Contributions
A.I.P.: formal analysis, D.A.P.: investigation, A.I.P., D.A.P.: project administration, A.I.P.: methodology, A.I.P.: supervision and validation, D.A.P.: data curation, A.I.P.: writing—review and editing. All authors have read and agreed to the published version of the manuscript.
Funding
This research was funded by the Russian Ministry of Education and Science, grant number 0825-2020-0014, 2020–2022. «New patterns and solutions for the functioning of urban transport systems in the paradigm “Transition from owning a personal car to mobility as a service”».
Institutional Review Board Statement
Not applicable.
Informed Consent Statement
Not applicable.
Data Availability Statement
Not applicable.
Acknowledgments
1. The authors would like to thank the Russian Ministry of Education and Science on the project: «New patterns and solutions for the functioning of urban transport systems in the paradigm “Transition from owning a personal car to mobility as a service”» (No. 0825-2020-0014, 2020–2022). 2. The authors would like to thank the anonymous reviewers for their very useful suggestions.
Conflicts of Interest
The authors declare no conflict of interest.
References
- Osterwalder, A.; Pigneur, Y. Business Model Generation: A Handbook for Visionaries, Game Changers, and Challengers; John Wiley & Sons Inc.: Hoboken, NJ, USA, 2010; p. 281. [Google Scholar]
- Schwab, K.; Malleret, T. COVID-19. The Great Reset; World Economic Forum: Cologny, Geneva, 2020; p. 212. [Google Scholar]
- UNCTAD World Investment Report 2020. Available online: http://www.oecd.org/coronavirus/policy-responses/covid-19-and-global-capital-flows-2dc69002/ (accessed on 10 March 2021).
- Ortega, A. European Dialogue. Coronavirus: Trends and Landscapes for the Aftermath. 2020. Available online: http://www.eedialog.org/en/2020/05/17/coronavirus-trends-and-landscapes-for-the-aftermath/ (accessed on 12 June 2021).
- ICAO COVID-19 Air Traffic Dashboard. Available online: https://www.icao.int/sustainability/Pages/COVID-19-Air-Traffic-Dashboard.aspx (accessed on 12 March 2021).
- ICAO Economic Impact Analysis of COVID-19 on Civil Aviation. Available online: https://www.icao.int/sustainability/Pages/Economic-Im-pacts-of-COVID-19.aspx (accessed on 12 March 2021).
- Andara, R.; Ortego-Osa, J.; Gómez-Caicedo, M.I.; Ramírez-Pisco, R.; Navas-Gracia, L.M.; Vásquez, C.L.; Gaitán-Angulo, M. Behavior of Traffic Congestion and Public Transport in Eight Large Cities in Latin America during the COVID-19 Pandemic. Appl. Sci. 2021, 11, 4703. [Google Scholar] [CrossRef]
- Gudmundsson, H.; Hall, R.P.; Marsden, G.; Zietsman, J. Sustainable Transportation. Indicators, Frameworks, and Performance Management; Springer: Berlin/Heidelberg, Germany, 2016; p. 304. [Google Scholar] [CrossRef]
- Rossi, E.; Balsa-Barreiro, J. The future of work in the post-COVID-19 world. Econ. Political Wkly. 2020, 55, 23–26. [Google Scholar]
- Coombes, P.H.; Nicholson, J.D. Business models and their relationship with marketing: A systematic literature review. Ind. Mark. Manag. 2013, 42. [Google Scholar] [CrossRef]
- Zografos, K.G.; Androutsopoulos, K.N.; Sihvola, T. A methodological approach for developing and assessing business models fo flexible transport systems. Transportation 2008, 35, 777–795. [Google Scholar] [CrossRef]
- Wirtz, B.W.; Pistoia, A.; Ullrich, S.; Göttel, V. Business Models: Origin, Development and Future Research Perspectives. Long Range Plan. 2015, 49. [Google Scholar] [CrossRef]
- Emerson, D.; Mulley, C.; Bliemer, M.C.J. A theoretical analysis of business models for urban public transport systems, with comparative reference to a Community Franchise involving Individual Line Ownership. Res. Transp. Econ. 2016, 59. [Google Scholar] [CrossRef]
- Nguyen, D.D.; Rohács, J.; Rohács, D.; Boros, A. Intelligent Total Transportation Management System for Future Smart Cities. Appl. Sci. 2020, 10, 8933. [Google Scholar] [CrossRef]
- Burinskienė, A. Designing a Multi-Stage Transport System Serving e-Commerce Activity. Sustainability 2021, 13, 6154. [Google Scholar] [CrossRef]
- Villa, R.; Monzón, A. A Metro-Based System as Sustainable Alternative for Urban Logistics in the Era of E-Commerce. Sustainability 2021, 13, 4479. [Google Scholar] [CrossRef]
- De Andres Gonzalez, O.; Koivisto, H.; Mustonen, J.M.; Keinänen-Toivola, M.M. Digitalization in Just-In-Time Approach as a Sustainable Solution for Maritime Logistics in the Baltic Sea Region. Sustainability 2021, 13, 1173. [Google Scholar] [CrossRef]
- Randall, A. Resource Scarcity and Sustainability—The Shapes Have Shifted but the Stakes Keep Rising. Sustainability 2021, 13, 5751. [Google Scholar] [CrossRef]
- Verity, R.; Okell, L.C.; Dorigatti, I.; Winskill, P.; Whittaker, C.; Imai, N. Estimates of the Severity of Coronavirus Disease 2019: A Model-Based Analysis. Lancet Infect. Dis. 2020, 20, 669–677. [Google Scholar] [CrossRef]
- Grosche, G.; Bolivar, A. EPIDEM: A Mobile Application to Contain Coronavirus Disease 2019. E-Health Telecommun. Syst. Netw. 2020, 9, 49–59. [Google Scholar] [CrossRef]
- Xu, R.; Lei, L.; Qin, R.; Huang, Z.; Chou, K. The Topological Entropy Mechanism of Coronavirus Disease 2019 (COVID-19). Nat. Sci. 2020, 12, 737–742. [Google Scholar] [CrossRef]
- Battegay, M.; Kuehl, R.; Tschudin-Sutter, S.; Hirsch, H.H.; Widmer, A.F.; Neher, R.A. 2019-novel Coronavirus (2019-nCoV): Estimating the case fatality rate—A word of caution. Swiss Med Wkly. 2020, 150. [Google Scholar] [CrossRef] [PubMed]
- Arnold, V.I. Catastrophe theory. Dynamical systems–5. Itogi Nauki i Tekhniki. Ser. Sovrem. Probl. Mat. Fund. Napr. 1986, 5, 219–277. [Google Scholar]
- Arnold, V.I. Catastrophe Theory, 3rd ed.; Springer: Berlin, Germany, 1992. [Google Scholar]
- Ershkov, S.V.; Rachinskaya, A. A new approximation of mean—Time trends for the second wave of COVID-19 pandemic evolving in key six countries. Nonlinear Dyn. 2021. [Google Scholar] [CrossRef]
- Faranda, D.; Alberti, T.; Arutkin, V.; Lembo, V.; Lucarini, V. Interrupting vaccination policies can greatly spread SARS-CoV-2 and enhance mortality from COVID-19 disease: The Astra Zeneca case for France and Italy. Chaos An. Interdiscip. J. Nonlinear Sci. 2021, 31, 041105. [Google Scholar] [CrossRef]
- Dong, E.; Du, H.; Gardner, L. An interactive web-based dashboard to track COVID-19 in real time. Lancet Infect. Dis. 2020, 20, 533–534. [Google Scholar] [CrossRef]
- Piazzola, J.; Bruch, W.; Desnues, C.; Parent, P.; Yohia, C.; Canepa, E. Influence of Meteorological Conditions and Aerosol Properties on the COVID-19 Contamination of the Population in Coastal and Continental Areas in France: Study of Offshore and Onshore Winds. Atmosphere 2021, 12, 523. [Google Scholar] [CrossRef]
- Wang, L.; Wang, J.; Fang, C. Assessing the Impact of Lockdown on Atmospheric Ozone Pollution Amid the First Half of 2020 in Shenyang, China. Int. J. Environ. Res. Public Health 2020, 17, 9004. [Google Scholar] [CrossRef]
- Anil, I.; Alagha, O. Source Apportionment of Ambient Black Carbon during the COVID-19 Lockdown. Int. J. Environ. Res. Public Health 2020, 17, 9021. [Google Scholar] [CrossRef]
- Sakharov, A.S.; Zhukov, K. Study of an Air Curtain in the Context of Individual Protection from Exposure to Coronavirus (SARS-CoV-2) Contained in Cough-Generated Fluid Particles. Physics 2020, 2, 340–351. [Google Scholar] [CrossRef]
- Yu, X.; Wong, M.S.; Kwan, M.P.; Nichol, J.E.; Zhu, R.; Heo, J.; Chan, P.W.; Chin, D.C.W.; Kwok, C.Y.T.; Kan, Z. COVID-19 Infection and Mortality: Association with PM2.5 Concentration and Population Density—An Exploratory Study. ISPRS Int. J. Geo-Inf. 2021, 10, 123. [Google Scholar] [CrossRef]
- Yeprintsev, S.A.; Klepikov, O.V.; Shekoyan, S.V.; Zhigulina, E.V. Study of the Impact of Social and Environmental Factors on the Spread of Coronavirus Infection in Russian Regions. IOP Conf. Ser. Earth Environ. Sci. 2021, 688, 012007. [Google Scholar] [CrossRef]
- Cai, H. Sex difference and smoking predisposition in patients with COVID-19. Lancet Respir. Med. 2020, 8, e20. [Google Scholar] [CrossRef]
- Chaudhry, R.; Dranitsaris, G.; Mubashir, T.; Bartoszko, J.; Riazi, S. A country level analysis measuring the impact of government actions, country preparedness and socioeconomic factors on COVID-19 mortality and related health outcomes. EClinicalMedicine 2020, 25, 100464. [Google Scholar] [CrossRef]
- Chan, E.Y.Y.; Huang, Z.; Lo, E.S.K.; Hung, K.K.C.; Wong, E.L.Y.; Wong, S.Y.S. Sociodemographic Predictors of Health Risk Perception, Attitude and Behavior Practices Associated with Health-Emergency Disaster Risk Management for Biological Hazards: The Case of COVID-19 Pandemic in HongKong, SAR China. Int. J. Environ. Res. Public Health 2020, 17, 3869. [Google Scholar] [CrossRef] [PubMed]
- Zhao, P.; Zhang, N.; Li, Y.A. Comparison of Infection Venues of COVID-19 Case Clusters in Northeast China. Int. J. Environ. Res. Public Health 2020, 17, 3955. [Google Scholar] [CrossRef] [PubMed]
- Pérez-Escoda, A.; Jiménez-Narros, C.; Perlado-Lamo-de-Espinosa, M.; Pedrero-Esteban, L.M. Social Networks’ Engagement During the COVID-19 Pandemic in Spain: Health Mediavs. Healthcare Professionals. Int. J. Environ. Res. Public Health 2020, 17, 5261. [Google Scholar] [CrossRef]
- Nicola, M.; Alsafi, Z.; Sohrabi, C.; Kerwan, A.; Al-Jabir, A.; Iosifidis, C.; Agha, M.; Agha, R. The socio-economic implications of the coronavirus and COVID-19 pandemic: A review. Int. J. Surg. 2020, 78, 185–193. [Google Scholar] [CrossRef]
- Atalan, A. Is the lockdown important to prevent the COVID-19 pandemic? Effects on psychology, environment and economy–perspective. Ann. Med. Surg. 2020, 56, 38–42. [Google Scholar] [CrossRef] [PubMed]
- Chakraborty, I.; Maity, P. COVID-19 outbreak: Migration, effects on society, global environment and prevention. Sci. Total Environ. 2020, 728, 138882. [Google Scholar] [CrossRef] [PubMed]
- Kerimray, A.; Baimatova, N.; Ibragimova, O.; Bukenov, B.; Kenessov, B.; Plotitsyn, P.; Karaca, F. Assessing air quality changes in large cities during COVID-19 lockdowns: The impacts of traffic-free urban conditions in Almaty, Kazakhstan. Sci. Total Environ. 2020, 730, 139179. [Google Scholar] [CrossRef] [PubMed]
- Mahato, S.; Pal, S.; Ghosh, K.G. Effect of lockdown amid COVID-19 pandemic on air quality of the megacity Delhi, India. Sci. Total Environ. 2020, 730, 138984. [Google Scholar] [CrossRef] [PubMed]
- Dantas, G.; Siciliano, B.; França, B.B.; da Silva, C.M.; Arbilla, G. The impact of COVID-19 partial lockdown on the air quality of the city of Rio de Janeiro, Brazil. Sci. Total Environ. 2020, 729, 139085. [Google Scholar] [CrossRef]
- Brewer, N.T.; Chapman, G.B.; Gibbons, F.X.; Gerrard, M.; McCaul, K.D.; Weinstein, N.D. Meta-analysis of the relationship between risk perception and health behavior: The example of vaccination. Health Psychol. 2007, 26, 136–145. [Google Scholar] [CrossRef] [Green Version]
- Rafael, V.; Monzón, A. Mobility Restrictions and E-Commerce: Holistic Balance in Madrid Centre during COVID-19 Lockdown. Economies 2021, 9, 57. [Google Scholar] [CrossRef]
- Wrzus, C.; Hänel, M.; Wagner, J.; Neyer, F.J. Social network changes and life events across the life span: A meta-analysis. Psychol. Bull. 2013, 139, 53–80. [Google Scholar] [CrossRef]
- Liao, Q.; Wu, P.; Lam, W.W.T.; Cowling, B.J.; Fielding, R. Trajectories of public psycho-behavioural responses relating to influenza A(H7N9) over the winter of 2014–15 in Hong Kong. Psychol. Health 2019, 34, 162–180. [Google Scholar] [CrossRef]
- O’Neill, D.W.; Fanning, A.L.; Lamb, W.F.; Steinberger, J.K. A good life for all within planetary boundaries. Nat. Sustain. 2018, 1, 88–95. [Google Scholar] [CrossRef] [Green Version]
- Sidorchuk, R.; Lukina, A.; Markin, I.; Korobkov, S.; Ivashkova, N.; Mkhitaryan, S.; Skorobogatykh, I. Influence of Passenger Flow at the Station Entrances on Passenger Satisfaction Amid COVID-19. J. Open Innov. Technol. Mark. Complex. 2020, 6, 150. [Google Scholar] [CrossRef]
- Semenova, O.; Apalkova, J.; Butovskaya, M. Spatial and Social Behavior of Single and Coupled Individuals of Both Sexes during COVID-19 Lockdown Regime in Russia. Int. J. Environ. Res. Public Health 2021, 18, 4283. [Google Scholar] [CrossRef]
- Newman, P. COVID, CITIES and CLIMATE: Historical Precedents and Potential Transitions for the New Economy. Urban. Sci. 2020, 4, 32. [Google Scholar] [CrossRef]
- Fountas, G.; Sun, Y.-Y.; Akizu-Gardoki, O.; Pomponi, F. How Do People Move Around? National Data on Transport Modal Shares for 131 Countries. World 2020, 1, 34–43. [Google Scholar] [CrossRef]
- Noorbhai, H. A mathematical model to guide the re-opening of economies during the COVID-19 pandemic. Ann. Med. Surg. 2020, 57, 5–6. [Google Scholar] [CrossRef] [PubMed]
- Ibrahim, I.; Kamaludin, K.; Sundarasen, S. COVID-19, Government Response, and Market Volatility: Evidence from the Asia-Pacific Developed and Developing Markets. Economies 2020, 8, 105. [Google Scholar] [CrossRef]
- Barysienė, J.; Batarlienė, N.; Bazaras, D.; Čižiūnienė, K.; Griškevičienė, D.; Griškevičius, A.J.; Lazauskas, J.; Mačiulis, A.; Palšaitis, R.; Vasiliauskas, A.V.; et al. Analysis of the current logistics and transport challenges in the context of the changing environment. Transport 2015, 30, 233–241. [Google Scholar] [CrossRef] [Green Version]
- Zollet, S.; Colombo, L.; De Meo, P.; Marino, D.; McGreevy, S.R.; McKeon, N.; Tarra, S. Towards Territorially Embedded, Equitable and Resilient Food Systems? Insights from Grassroots Responses to COVID-19 in Italy and the CityRegion of Rome. Sustainability 2021, 13, 2425. [Google Scholar] [CrossRef]
- Brdulak, H.; Brdulak, A. Challenges and Threats Faced in 2020 by International Logistics Companies Operating on the Polish Market. Sustainability 2021, 13, 359. [Google Scholar] [CrossRef]
- Parfenov, A.; Shamina, L.; Niu, J.; Yadykin, V. Transformation of Distribution Logistics Management in the Digitalization of the Economy. J. Open Innov. Technol. Mark. Complex. 2021, 7, 58. [Google Scholar] [CrossRef]
- Sá, M.J.; Serpa, S. The COVID-19 Pandemic as an Opportunity to Foster the Sustainable Development of Teaching in Higher Education. Sustainability 2020, 12, 8525. [Google Scholar] [CrossRef]
- Zhang, Y.; Fricker, J.D. Quantifying the impact of COVID-19 on non-motorized transportation: A Bayesian structural time series model. Policy 2021, 103, 11–20. [Google Scholar] [CrossRef]
- Dai, J.; Liu, Z.; Li, R. Improving the subway attraction for the post-COVID-19 era: The role of fare-free public transport policy. Transp. Policy 2021, 103, 21–30. [Google Scholar] [CrossRef]
- Corazza, M.V.; Musso, A. Urban transport policies in the time of pandemic, and after: An ARDUOUS research agenda. Transp. Policy 2021, 103, 31–44. [Google Scholar] [CrossRef]
- Eisenmann, C.; Nobis, C.; Kolarova, V.; Lenz, B.; Winkler, C. Transport mode use during the COVID-19 lockdown period in Germany: The car became more important, public transport lost ground. Transp. Policy 2021, 103, 60–67. [Google Scholar] [CrossRef]
- Paul, B.; Sarkar, S. The Contagion Effects of COVID-19 and Public Transportation System: Conceptualizing the Shifting Paradigm in India. In COVID-19 Pandemic Trajectory in the Developing World; Mishra, M., Singh, R.B., Eds.; Advances in Geographical and Environmental Sciences 2021; Springer: Singapore, 2021. [Google Scholar] [CrossRef]
- Christidis, P.; Christodoulou, A. The Predictive Capacity of Air Travel Patterns during the Global Spread of the COVID-19 Pandemic: Risk, Uncertainty and Randomness. Int. J. Environ. Res. Public Health 2020, 17, 3356. [Google Scholar] [CrossRef]
- Hendrickson, C.; Rilett, L.R. The COVID-19 Pandemic and Transportation Engineering. J. Transp. Eng. Part. A Syst. 2020, 146, 01820001. [Google Scholar] [CrossRef]
- De Lucena, A.J.; de Oliveira, L.D.; Ibanez, P.; de Sousa, G.M.; da Rocha, A.S. The Geography of COVID-19 in Rio de Janeiro, Brazil: Conflicts, Tensions, and Challenges. In COVID-19 Pandemic Trajectory in the Developing World; Mishra, M., Singh, R.B., Eds.; Advances in Geographical and Environmental Sciences 2021; Springer: Singapore, 2021. [Google Scholar] [CrossRef]
- Molina, J.A.; Giménez-Nadal, J.I.; Velilla, J. Sustainable Commuting: Results from a Social Approach and International Evidence on Carpooling. Sustainability 2020, 12, 9587. [Google Scholar] [CrossRef]
- Tamagusko, T.; Ferreira, A. Data-Driven Approach to Understand the Mobility Patterns of the Portuguese Population during the COVID-19 Pandemic. Sustainability 2020, 12, 9775. [Google Scholar] [CrossRef]
- Cruz-Rodríguez, J.; Luque-Sendra, A.; de las Heras, A.; Zamora-Polo, F. Analysis of Inter urban Mobility in University Students: Motivation and Ecological Impact. Int. J. Environ. Res. Public Health 2020, 17, 9348. [Google Scholar] [CrossRef]
- Campisi, T.; Acampa, G.; Marino, G.; Tesoriere, G. Cycling Master Plans in Italy: The I-BIM Feasibility Tool for Cost and Safety Assessments. Sustainability 2020, 12, 4723. [Google Scholar] [CrossRef]
- Nikitas, A.; Tsigdinos, S.; Karolemeas, C.; Kourmpa, E.; Bakogiannis, E. Cycling in the Era of COVID-19: Lessons Learnt and Best Practice Policy Recommendations for a More Bike-Centric Future. Sustainability 2021, 13, 4620. [Google Scholar] [CrossRef]
- Timokhina, G.; Ivashkova, N.; Skorobogatykh, I.; Murtuzalieva, N.; Musatova, Z. Management of Competitiveness of Metropolis Public Transport in the COVID-19 Pandemic Based on Core Consumers’ Values. J. Open Innov. Technol. Mark. Complex. 2020, 6, 192. [Google Scholar] [CrossRef]
- Labonté-LeMoyne, É.; Chen, S.-L.; Coursaris, C.K.; Sénécal, S.; Léger, P.-M. The Unintended Consequences of COVID-19 Mitigation Measures on Mass Transit and Car Use. Sustainability 2020, 12, 9892. [Google Scholar] [CrossRef]
- Przybylowski, A.; Stelmak, S.; Suchanek, M. Mobility Behaviour in View of the Impact of the COVID-19 Pandemic—Public Transport Users in Gdansk Case Study. Sustainability 2021, 13, 364. [Google Scholar] [CrossRef]
- Konečný, V.; Brídziková, M.; Senko, Š. Impact of COVID-19 and Anti—Pandemic Measures on the Sustainability of Demand in Suburban Bus Transport. The Case of the Slovak Republic. Sustainability 2021, 13, 4967. [Google Scholar] [CrossRef]
- Abdullah, M.; Ali, N.; Dias, C.; Campisi, T.; Javid, M.A. Exploring the Traveler’s Intentions to Use Public Transport during the COVID-19 Pandemic While Complying with Precautionary Measures. Appl. Sci. 2021, 11, 3630. [Google Scholar] [CrossRef]
- Gutiérrez, R.L.; De Vicente Oliva, M.A.; Romero-Ania, A. Managing Sustainable Urban Public Transport Systems: An AHP Multcriteria Decision Model. Sustainability 2021, 13, 4614. [Google Scholar] [CrossRef]
- Rosstat. The Share of the Urban Population in the Total Population as of 1 January 2020. Available online: https://showdata.gks.ru/report/278932/ (accessed on 31 March 2021).
- Nefedova, T.G.; Treivish, A.I. The Theory of «Differential Urbanization» and the Hierarchy of Cities in Russia at the Turn of the XXI Century; Smolensk: Oikumena, Russia, 2002; pp. 71–86. Available online: http://www.demoscope.ru/weekly/2005/0217/analit01.php (accessed on 30 April 2021). (In Russian)
- Rosstat. Population of the Russian Federation by Municipality as of 1 January 2020. Available online: https://rosstat.gov.ru/storage/mediabank/CcG8qBhP/mun_obr2020.rar (accessed on 21 April 2021).
- Auerbach, F. Das Gesetz der Bevölkerungs konzentration. Petermanns Geogr. Mitt. 1913, 59, 74–76. [Google Scholar]
- Zipf, G.K. Human Behavior and the Principle of Least Effort; Addison-Wesley Press: Cambridge, MA, USA, 1949; p. 573. [Google Scholar]
- Zanadvorov, V.S.; Zanadvorova, A.V. The Economy of the City: An Introductory Course; Akademkniga: Moscow, Russia, 2003; p. 272. Available online: http://window.edu.ru/resource/253/42253/files/index.html (accessed on 28 April 2021). (In Russian)
- Kapitsa, S.P. Paradoxes of Growth: Laws of Human Development; Alpina Non-fiction: Moscow, Russia, 2010; p. 192. (In Russian) [Google Scholar]
- Antlauf, W.; Bernardeau, F.G.; Coates, K.C. Fast track. Civil Engineering. Mag. Am. Soc. Civil. Eng. 2004, 74, 37–43. [Google Scholar]
- Bashirov, V.R.; Melnikova, E.B. Urban agglomerations. Cartographic method for identifying criteria for agglomerations in Russia. Izv. Vuzov. Geod. Aer. Photogr. 2014, 4, 95–99. (In Russian) [Google Scholar]
- Wilcoxon, F. Individual comparisons by ranking methods. Biom. Bull. 1945, 1, 80–83. [Google Scholar] [CrossRef]
- Administration of the City of Tyumen. Department of Road Infrastructure and Transport. Available online: http://www.tyumen-city.ru/ekonomika/transport/ (accessed on 12 March 2021).
- Lorenz, M.O. Methods of Measuring the Concentration of Wealth. Publ. Am. Stat. Assoc. 1905, 9, 209–219. [Google Scholar] [CrossRef]
- Zaninetti, L.; Ferraro, M. On the truncated Pareto distribution with applications. Cent. Eur. J. Phys. 2008, 6, 1–6. [Google Scholar] [CrossRef] [Green Version]
- Wild, C.J.; Seber, G.A.F. Chance Encounters: A First Course in Data Analysis and Inference; John Wiley & Sons: New York, NY, USA, 1999; p. 640. [Google Scholar]
- Donnelly, R.A., Jr. Business Statistics, 3rd ed.; Pearson: Hoboken, NJ, USA, 2020; p. 976. [Google Scholar]
Publisher’s Note: MDPI stays neutral with regard to jurisdictional claims in published maps and institutional affiliations. |
© 2021 by the authors. Licensee MDPI, Basel, Switzerland. This article is an open access article distributed under the terms and conditions of the Creative Commons Attribution (CC BY) license (https://creativecommons.org/licenses/by/4.0/).

















