Comorbidities and Treatment Outcomes in Patients Diagnosed with Drug-Resistant Tuberculosis in Rural Eastern Cape Province, South Africa
Abstract
1. Introduction
2. Materials and Methods
2.1. Study Design and Population
2.2. Data Collection
2.3. Outcome Categories
2.4. Statistical Analysis
3. Results
3.1. Characteristics of the Study Participants and Comorbidities
3.2. Distribution of DR-TB
3.3. Comorbidities Stratified According to DR-TB Type
3.4. Correlation of Comorbidities with Demographics
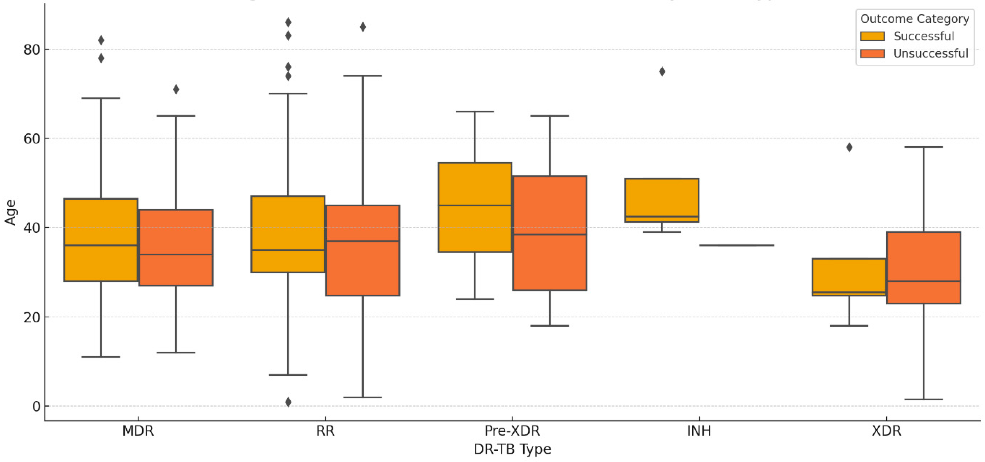
3.4.1. Age
3.4.2. Education
3.4.3. Income Source
3.4.4. Occupation
3.5. Impact of Comorbidities on Treatment Outcomes
3.5.1. Cured Rates
3.5.2. Treatment Completion
3.5.3. Mortality
3.5.4. Other Negative Outcomes
3.6. Impact of Comorbidities on Treatment Outcomes Stratified by HIV Status
3.6.1. Allergies
3.6.2. Epilepsy
3.6.3. HTN
3.6.4. Hearing Loss
3.6.5. Mental Illness
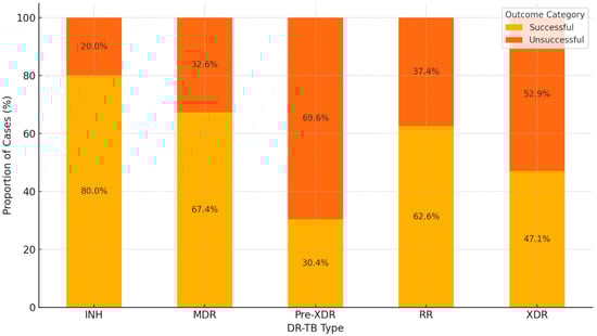
3.7. Comparison of Treatment Outcomes Across DR-TB Types
3.8. Logistic Regression Model on Treatment Outcomes
4. Discussion
5. Conclusions
Author Contributions
Funding
Institutional Review Board Statement
Informed Consent Statement
Data Availability Statement
Acknowledgments
Conflicts of Interest
References
- Peltzer, K. Tuberculosis non-communicable disease comorbidity and multimorbidity in public primary care patients in South Africa. Afr. J. Prim. Health Care Fam. Med. 2018, 10, 1–6. [Google Scholar] [CrossRef] [PubMed]
- World Health Organization (WHO). Fact Sheet. 2023. Available online: https://www.who.int/news-room/fact-sheets/detail/noncommunicable-diseases (accessed on 11 September 2024).
- World Health Organization (WHO). Global Status Report on Noncommunicable Diseases 2014. Available online: https://iris.who.int/bitstream/handle/10665/148114/9789241564854_eng.pdf?ua=1 (accessed on 11 September 2024).
- Lozano, R.; Naghavi, M.; Foreman, K.; Lim, S.; Shibuya, K.; Aboyans, V.; Abraham, J.; Adair, T.; Aggarwal, R.; Ahn, S.Y.; et al. Global and regional mortality from 235 causes of death for 20 age groups in 1990 and 2010: A systematic analysis for the Global Burden of Disease Study 2010. Lancet 2012, 380, 2095–2128. [Google Scholar] [CrossRef] [PubMed]
- Stubbs, B.; Siddiqi, K.; Elsey, H.; Siddiqi, N.; Ma, R.; Romano, E.; Siddiqi, S.; Koyanagi, A. Tuberculosis and non-communicable disease multimorbidity: An analysis of the world health survey in 48 low-and middle-income countries. Int. J. Environ. Res. Public Health 2021, 18, 2439. [Google Scholar] [CrossRef] [PubMed]
- Adegbite, B.R.; Edoa, J.R.; Abdul, J.A.A.; Epola, M.; Mevyann, C.; Dejon-Agobé, J.C.; Zinsou, J.F.; Honkpehedji, Y.J.; Mpagama, S.G.; Alabi, A.S.; et al. Non-communicable disease co-morbidity and associated factors in tuberculosis patients: A cross-sectional study in Gabon. eClinicalMedicine 2022, 45, 101316. [Google Scholar] [CrossRef]
- Biswas, T.; Townsend, N.; Huda, M.M.; Maravilla, J.; Begum, T.; Pervin, S.; Ghosh, A.; Mahumud, R.A.; Islam, S.; Anwar, N.; et al. Prevalence of multiple non-communicable diseases risk factors among adolescents in 140 countries: A population-based study. eClinicalMedicine 2022, 52, 101591. [Google Scholar] [CrossRef]
- Rheeder, P.; Morris-Paxton, A.A.; Ewing, R.G.; Woods, D. The noncommunicable disease outcomes of primary healthcare screening in two rural subdistricts of the Eastern Cape Province, South Africa. Afr. J. Prim. Health Care Fam. Med. 2017, 9, e1–e7. [Google Scholar] [CrossRef]
- World Health Organization (WHO). Global Tuberculosis Report 2023; World Health Organization: Geneva, Switzerland, 2023.
- Nunemo, M.H.; Gidebo, K.D.; Woticha, E.W.; Lemu, Y.K. Predictors of Tuberculosis and Non-Communicable Disease Comorbidities Among Newly Enrolled Tuberculosis Patients, Southern Ethiopia. Integr. Blood Press. Control 2023, 16, 95–109. [Google Scholar] [CrossRef]
- World Health Organization (WHO). Global Tuberculosis Report 2021; World Health Organization: Geneva, Switzerland, 2021.
- World Health Organization (WHO). The End TB Strategy [Internet]. Available online: https://www.who.int/teams/global-tuberculosis-programme/the-end-tb-strategy (accessed on 11 September 2024).
- Statistics South Africa (Stats SA). Non-Communicable Diseases in South Africa, 2008–2018; Report no. 03-08-01; Statistics South Africa: Pretoria, South Africa, 2023. Available online: https://www.statssa.gov.za/publications/Report-03-08-01/Report-03-08-012018.pdf (accessed on 11 September 2024).
- Isaacs, A.; Manga, N.; Le Grange, C.; Hellenberg, D.; Titus, V.; Sayed, R. A snapshot of noncommunicable disease profiles and their prescription costs at ten primary healthcare facilities in the western half of the Cape Town Metropole. S. Afr. Fam. Pract. 2014, 56, 43–49. [Google Scholar] [CrossRef]
- Lalkhen, H.; Mash, R. Multimorbidity in non-communicable diseases in South African primary healthcare. S. Afr. Med. J. 2015, 105, 134–138. [Google Scholar] [CrossRef]
- Ketema, D.B.; Alene, M.; Assemie, M.A.; Yismaw, L.; Merid, M.W. Risk factors for mortality among drug-resistant tuberculosis patients registered for drug-resistant treatment in Amhara region, Ethiopia: A historical cohort study. Arch. Pub. Health 2020, 78, 69. [Google Scholar] [CrossRef]
- Byrne, A.L.; Marais, B.J.; Mitnick, C.D.; Lecca, L.; Marks, G.B. Tuberculosis and chronic respiratory disease: A systematic review. Int. J. Infect. Dis. 2015, 32, 138–146. [Google Scholar] [CrossRef] [PubMed]
- Pradipta, I.S.; Forsman, L.D.; Bruchfeld, J.; Hak, E.; Alffenaar, J.W. Risk factors of multidrug-resistant tuberculosis: A global systematic review and meta-analysis. J. Infect. 2018, 77, 469–478. [Google Scholar] [CrossRef] [PubMed]
- Molalign, S.; Wencheko, E. Risk factors of mortality in patients with multi-drug resistant TB. Ethiop. J. Health Dev. 2015, 29, 82–88. [Google Scholar]
- Chung-Delgado, K.; Guillen-Bravo, S.; Revilla-Montag, A.; Bernabe-Ortiz, A. Mortality among MDR-TB cases: Comparison with drug-susceptible tuberculosis and associated factors. PLoS ONE 2015, 10, e0119332. [Google Scholar] [CrossRef]
- Workneh, M.H.; Bjune, G.A.; Yimer, S.A. Diabetes mellitus is associated with increased mortality during tuberculosis treatment: A prospective cohort study among tuberculosis patients in south-eastern Amahra region, Ethiopia. Infect. Dis. Poverty 2016, 5, 22. [Google Scholar] [CrossRef]
- Samuels, J.P.; Sood, A.; Campbell, J.R.; Ahmad Khan, F.; Johnston, J.C. Comorbidities and treatment outcomes in multidrug- resistant tuberculosis: A systematic review and meta-analysis. Sci. Rep. 2018, 8, 4980. [Google Scholar] [CrossRef]
- Crofts, J.P.; Andrews, N.J.; Barker, R.D.; Delpech, V.; Abubakar, I. Risk factors for recurrent tuberculosis in England and Wales, 1998–2005. Thorax 2010, 65, 310–314. [Google Scholar] [CrossRef]
- Gómez-Gómez, A.; Magaña-Aquino, M.; López-Meza, S.; Aranda-Álvarez, M.; Díaz-Ornelas, D.E.; Hernández-Segura, M.G.; Salazar-Lezama, M.Á.; Castellanos-Joya, M.; Noyola, D.E. Diabetes and other risk factors for multi-drug resistant tuberculosis in a Mexican population with pulmonary tuberculosis: Case control study. Arch. Med. Res. 2015, 46, 142–148. [Google Scholar] [CrossRef]
- Linh, N.N.; Viney, K.; Gegia, M.; Falzon, D.; Glaziou, P.; Floyd, K.; Timimi, H.; Ismail, N.; Zignol, M.; Kasaeva, T.; et al. World Health Organization treatment outcome definitions for tuberculosis: 2021 update. Eur. Resp. J. 2021, 58, 2100804. [Google Scholar] [CrossRef]
- Starshinova, A.; Nazarenko, M.; Belyaeva, E.; Chuzhov, A.; Osipov, N.; Kudlay, D. Assessment of Comorbidity in Patients with Drug-Resistant Tuberculosis. Pathogens 2023, 12, 1394. [Google Scholar] [CrossRef]
- Yamaguti, V.; Rijo, R.; Crepaldi, N.; Ruffino-Netto, A.; Carvalho, I.; Alves, D. Charlson Comorbidities Index Importance Evaluation as a Predictor to Tuberculosis Treatments Outcome in the state of São Paulo, Brazil. Procedia Comput. Sci. 2018, 138, 258–263. [Google Scholar] [CrossRef]
- Tao, N.N.; Li, Y.F.; Song, W.M.; Liu, J.Y.; Zhang, Q.Y.; Xu, T.T.; Li, S.J.; An, Q.Q.; Liu, S.Q.; Li, H.C. Risk factors for drug-resistant tuberculosis, the association between comorbidity status and drug-resistant patterns: A retrospective study of previously treated pulmonary tuberculosis in Shandong, China, during 2004–2019. BMJ Open 2021, 11, e044349. [Google Scholar] [CrossRef] [PubMed]
- Romanowski, K.; Clark, E.G.; Levin, A.; Cook, V.J.; Johnston, J.C. Tuberculosis and chronic kidney disease: An emerging global syndemic. Kidney Int. 2016, 90, 34–40. [Google Scholar] [CrossRef] [PubMed]
- Bell, L.C.K.; Noursadeghi, M. Pathogenesis of HIV-1 and Mycobacterium tuberculosis co-infection. Nat. Rev. Microbiol. 2018, 16, 80–90. [Google Scholar] [CrossRef] [PubMed]
- Sethi, S.; Murphy, T.F. Infection in the pathogenesis and course of chronic obstructive pulmonary disease. N. Engl. J. Med. 2008, 359, 2355–2365. [Google Scholar] [CrossRef]
- Inghammar, M.; Löfdahl, C.-G.; Winqvist, N.; Ljungberg, B.; Egesten, A.; Engströmet, G. Impaired pulmonary function and the risk of tuberculosis: A population-based cohort study. Eur. Respir. J. 2011, 37, 1285–1287. [Google Scholar] [CrossRef]
- Workneh, M.H.; Bjune, G.A.; Yimer, S.A. Prevalence and associated factors of tuberculosis and diabetes mellitus comorbidity: A systematic review. PLoS ONE 2017, 12, e0175925. [Google Scholar] [CrossRef]
- World Health Organization (WHO). Addressing the Rising Prevalence of Hearing Loss; World Health Organization: Geneva, Switzerland, 2018. Available online: https://iris.who.int/bitstream/handle/10665/260336/9789241550260-eng.pdf?sequence=1 (accessed on 30 September 2024).
- Hong, H.; Dowdy, D.W.; Dooley, K.E.; Francis, H.W.; Budhathoki, C.; Han, H.R.; Farley, J.E. Aminoglycoside-induced hearing loss among patients being treated for drug-resistant tuberculosis in South Africa: A prediction model. Clin. Infect. Dis. 2020, 70, 917–924. [Google Scholar] [CrossRef]
- Owusu, E.; Amartey, B.T.; Afutu, E.; Boafo, N. Aminoglycoside therapy for tuberculosis: Evidence for ototoxicity among tuberculosis patients in Ghana. Diseases 2022, 10, 10. [Google Scholar] [CrossRef]
- World Health Organization (WHO). 2024. Available online: https://www.who.int/news-room/fact-sheets/detail/deafness-and-hearing-loss (accessed on 30 September 2024).
- Mukherjea, D.; Rybak, L.P.; Sheehan, K.E.; Kaur, T.; Ramkumar, V.; Jajoo, S.; Sheth, S. The Design and Screening of Drugs to Prevent Acquired Sensorineural Hearing Loss. Expert Opin. Drug Dis. 2011, 6, 491–505. [Google Scholar] [CrossRef]
- Harris, T.; Bardien, S.; Schaaf, H.S.; Petersen, L.; De Jong, G.; Fagan, J.J. Aminoglycoside-induced hearing loss in HIV-positive and HIV-negative multidrug-resistant tuberculosis patients. S. Afr. Med. J. 2012, 102, 363–366. [Google Scholar] [CrossRef] [PubMed]
- Dillard, L.K.; Martinez, R.X.; Perez, L.L.; Fullerton, A.M.; Chadha, S.; McMahon, C.M. Prevalence of aminoglycoside-induced hearing loss in drug-resistant tuberculosis patients: A systematic review. J. Infect. 2021, 83, 27–36. [Google Scholar] [CrossRef] [PubMed]
- Seddon, J.A.; Godfrey-Faussett, P.; Jacobs, K.; Ebrahim, A.; Hesseling, A.C.; Schaaf, H.S. Hearing loss in patients on treatment for drug-resistant tuberculosis. Eur. Respir. J. 2012, 40, 1277–1286. [Google Scholar] [CrossRef] [PubMed]
- Hong, H.; Dowdy, D.W.; Dooley, K.E.; Francis, H.W.; Budhathoki, C.; Han, H.R.; Farley, J.E. Prevalence of pre-existing hearing loss among patients with drug-resistant tuberculosis in South Africa. Am. J. Audiol. 2020, 29, 199–205. [Google Scholar] [CrossRef] [PubMed]
- Hong, H.; Budhathoki, C.; Farley, J.E. Increased risk of aminoglycoside-induced hearing loss in MDR-TB patients with HIV coinfection. Int. J. Tuberc. Lung Dis. 2018, 22, 667–674. [Google Scholar] [CrossRef]
- Khoza-Shangase, K.; Prodromos, M. Impact of drug-resistant tuberculosis treatment on hearing function in South African adults: Bedaquiline versus kanamycin. S. Afr. J. Commun. Disord. 2021, 68, 784. [Google Scholar] [CrossRef]
- Ramma, L.; Schellack, N.; Heinze, B. Prevention of treatment-induced ototoxicity: An update for clinicians. S. Afr. Med. J. 2019, 109, 145–149. [Google Scholar] [CrossRef]
- Shean, K.; Streicher, E.; Pieterson, E.; Symons, G.; van Zyl Smit, R.; Theron, G.; Lehloenya, R.; Padanilam, X.; Wilcox, P.; Victor, T.C.; et al. Drug-associated adverse events and their relationship with outcomes in patients receiving treatment for extensively drug-resistant tuberculosis in South Africa. PLoS ONE 2013, 8, e63057. [Google Scholar] [CrossRef]
- Zhang, Y.; Wu, S.; Xia, Y.; Wang, N.; Zhou, L.; Wang, J.; Fang, R.; Sun, F.; Chen, M.; Zhan, S. Adverse Events Associated with Treatment of Multidrug-resistant Tuberculosis in China: An Ambispective Cohort Study. Med. Sci. Monit. 2017, 23, 2348–2356. [Google Scholar] [CrossRef]
- Khoza-Shangase, K. Hearing function of gold miners with and without a history of tuberculosis treatment: A retrospective data review. Braz. J. Otorhinolaryngol. 2020, 86, 294–299. [Google Scholar] [CrossRef]
- Modongo, C.; Sobota, R.S.; Kesenogile, B.; Ncube, R.; Sirugo, G.; Williams, S.M.; Zetola, N.M. Successful MDR-TB treatment regimens including amikacin are associated with high rates of hearing loss. BMC Infect. Dis. 2014, 14, 542. [Google Scholar] [CrossRef]
- Khoza-Shangase, K. Pharmaco-audiology vigilance in the treatment of adult patients with HIV/AIDS: Ototoxicity monitoring protocol recommendation. Infect. Disord. Drug Targets 2020, 20, 33–42. [Google Scholar] [CrossRef]






| DR-TB Type | N (%) |
|---|---|
| RR | 205 (46.1) |
| MDR | 194 (43.6) |
| Pre-XDR | 23 (5.2) |
| XDR | 17 (3.8) |
| INH-resistant | 6 (1.3) |
| Total | 445 (100) |
| Coeff | OR | p-Value | |
|---|---|---|---|
| Intercept | 1.2869 | 3.6217 | <0.0001 |
| BMI category overweight | −0.1481 | 0.8623 | 0.4126 |
| BMI category obesity | 1.1277 | 3.0884 | 0.0408 |
| BMI category underweight | −0.2964 | 0.7435 | 0.0394 |
| HIV status positive | −0.8078 | 0.4458 | <0.0001 |
Disclaimer/Publisher’s Note: The statements, opinions and data contained in all publications are solely those of the individual author(s) and contributor(s) and not of MDPI and/or the editor(s). MDPI and/or the editor(s) disclaim responsibility for any injury to people or property resulting from any ideas, methods, instructions or products referred to in the content. |
© 2024 by the authors. Licensee MDPI, Basel, Switzerland. This article is an open access article distributed under the terms and conditions of the Creative Commons Attribution (CC BY) license (https://creativecommons.org/licenses/by/4.0/).
Share and Cite
Hosu, M.C.; Faye, L.M.; Apalata, T. Comorbidities and Treatment Outcomes in Patients Diagnosed with Drug-Resistant Tuberculosis in Rural Eastern Cape Province, South Africa. Diseases 2024, 12, 296. https://doi.org/10.3390/diseases12110296
Hosu MC, Faye LM, Apalata T. Comorbidities and Treatment Outcomes in Patients Diagnosed with Drug-Resistant Tuberculosis in Rural Eastern Cape Province, South Africa. Diseases. 2024; 12(11):296. https://doi.org/10.3390/diseases12110296
Chicago/Turabian StyleHosu, Mojisola Clara, Lindiwe Modest Faye, and Teke Apalata. 2024. "Comorbidities and Treatment Outcomes in Patients Diagnosed with Drug-Resistant Tuberculosis in Rural Eastern Cape Province, South Africa" Diseases 12, no. 11: 296. https://doi.org/10.3390/diseases12110296
APA StyleHosu, M. C., Faye, L. M., & Apalata, T. (2024). Comorbidities and Treatment Outcomes in Patients Diagnosed with Drug-Resistant Tuberculosis in Rural Eastern Cape Province, South Africa. Diseases, 12(11), 296. https://doi.org/10.3390/diseases12110296

