Artemisia pallens W. Attenuates Inflammation and Oxidative Stress in Freund’s Complete Adjuvant-Induced Rheumatoid Arthritis in Wistar Rats
Abstract
1. Introduction
2. Materials and Methods
2.1. Chemicals and Reagents
2.2. Collection and Identification of the Plant
2.3. Extraction Procedure
2.4. Analytical Method of Artemisinin Estimation Using UV Vis Spectrophotometer
2.5. High-Performance Liquid Chromatography (HPLC) Technique
2.6. Experimental Animals
2.7. Acute Oral Toxicity Study
2.8. FCA-Induced Arthritis
2.9. Measurement of Body Weight
2.10. Measurement of Paw Volume
2.11. Measurement of Joint Diameter
2.12. Measurement of Mechanical Hyperalgesia
2.13. Measurement of Thermal Hyperalgesia
2.14. Hematological and Biochemical Parameter Assessment
2.15. Antioxidant Activity
2.16. Measurement of Spleen Weight
2.17. Radiography
2.18. Estimation of Arthritis Damage
2.19. Statistical Analysis
3. Result
3.1. Analytical Methodology to Estimate Artemisinin from the Extract
3.2. HPLC Technique
3.3. Acute Oral Toxicity
3.4. Anti-Arthritic Activity
3.4.1. Effect of MEAP on the Body Weight
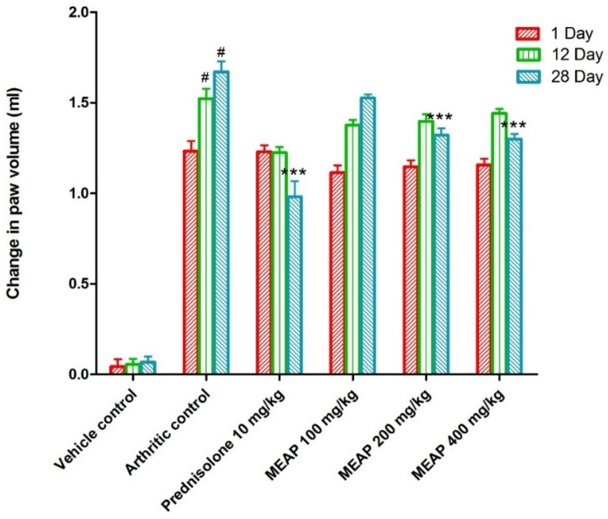
3.4.2. Effect of MEAP on Paw Volume
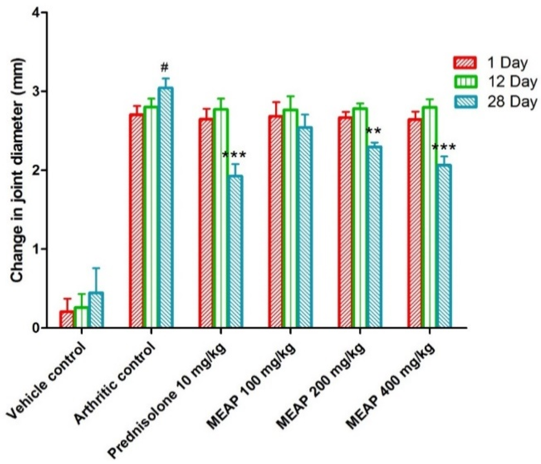
3.4.3. Effect of MEAP on the Joint Diameter
3.4.4. Effect of MEAP on Mechanical Hyperalgesia
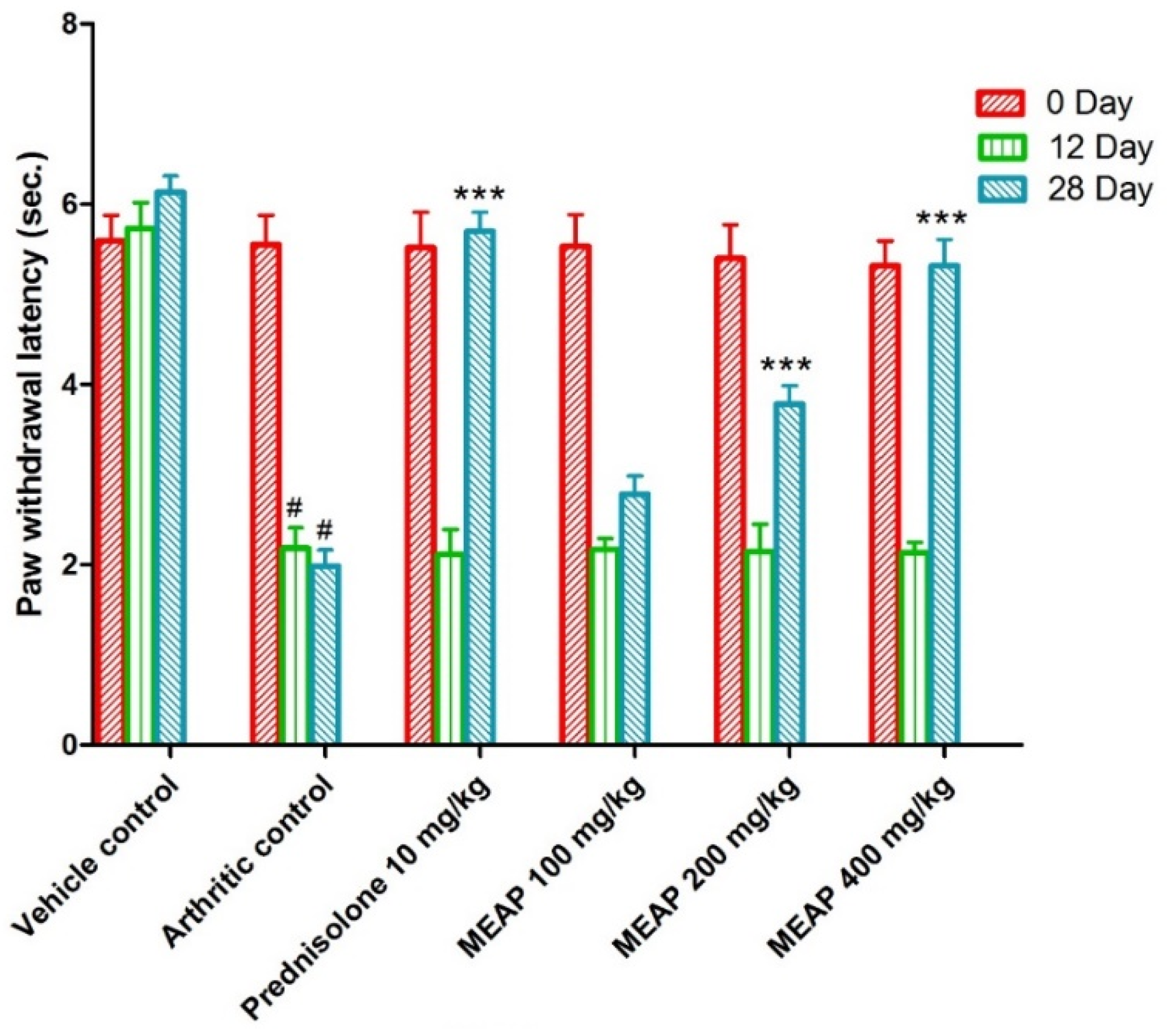
3.4.5. Effect of MEAP on Thermal Hyperalgesia
3.4.6. Effects of MEAP on Biochemical Parameters
3.4.7. Effects of MEAP on the Hematological Parameters
3.4.8. Effects of MEAP on Antioxidant Parameters
3.4.9. Effects of MEAP on Change in Spleen Weight
3.4.10. Radiological Analysis
3.4.11. Histopathological Study of Synovial Joint
4. Discussion
5. Future Perspectives
6. Conclusions
Supplementary Materials
Author Contributions
Funding
Institutional Review Board Statement
Informed Consent Statement
Data Availability Statement
Acknowledgments
Conflicts of Interest
References
- Chopra, A.; Abdel-Nasser, A. Epidemiology of rheumatic musculoskeletal disorders in the developing world. Best. Pract. Res. Clin. Rheumatol. 2008, 22, 583–604. [Google Scholar] [CrossRef]
- Feldmann, M.; Brennan, F.M.; Maini, R.N. Rheumatoid Arthritis. Cell 1996, 85, 307–310. [Google Scholar] [CrossRef] [PubMed]
- Firestein, G.S. Pathogenesis of Rheumatoid Arthritis: The Intersection of Genetics and Epigenetics. Trans. Am. Clin. Climatol. Assoc. 2018, 129, 171–182. [Google Scholar] [PubMed]
- Anderson, G.D.; Hauser, S.D.; McGarity, K.L.; Bremer, M.E.; Isakson, P.C.; Gregory, S.A. Selective inhibition of cyclooxygenase (COX)-2 reverses inflammation and expression of COX-2 and interleukin 6 in rat adjuvant arthritis. J. Clin. Investig. 1996, 97, 2672–2679. [Google Scholar] [CrossRef] [PubMed]
- Nielen, M.M.J. Simultaneous development of acute phase response and autoantibodies in preclinical rheumatoid arthritis. Ann. Rheum. Dis. 2006, 65, 535–537. [Google Scholar] [CrossRef] [PubMed]
- Gerlag, D.M.; Tak, P.P. Novel approaches for the treatment of rheumatoid arthritis: Lessons from the evaluation of synovial biomarkers in clinical trials. Best. Pract. Res. Clin. Rheumatol. 2008, 22, 311–323. [Google Scholar] [CrossRef]
- Burke, A.; Smyth, E.F.G. Goodman and Gilmans the Pharmacological Basis of Therapeutics; Brunton, L.L., Lazo, J.S., Parker, K., Eds.; McGraw Hill: New York, NY, USA, 2006. [Google Scholar]
- Shukla, S.; Mehta, A.; Mehta, P.; Vyas, S.P.; Shukla, S.; Bajpai, V.K. Studies on anti-inflammatory, antipyretic and analgesic properties of Caesalpinia bonducella F. seed oil in experimental animal models. Food Chem. Toxicol. 2010, 48, 61–64. [Google Scholar] [CrossRef] [PubMed]
- Nunes, C.d.R.; Barreto Arantes, M.; Menezes de Faria Pereira, S.; Leandro da Cruz, L.; de Souza Passos, M.; Pereira de Moraes, L.; Vieira, I.J.C.; Barros de Oliveira, D. Plants as Sources of Anti-Inflammatory Agents. Molecules 2020, 25, 3726. [Google Scholar] [CrossRef]
- Umam, K.; Feng, C.S.; Yang, G.; Tu, P.C.; Lin, C.Y.; Yang, M.T.; Kuo, T.F.; Yang, W.C.; Tran Nguyen Minh, H. Phytochemistry, Pharmacology and Mode of Action of the Anti-Bacterial Artemisia Plants. Bioengineering 2023, 10, 633. [Google Scholar] [CrossRef]
- Singh, S.; Bhatt, D.; Singh, M.K.; Sundaresan, V.; Tandon, S.; Padalia, R.C.; Bawankule, D.U.; Verma, R.S. New Insights into the Chemical Composition, Pro-Inflammatory Cytokine Inhibition Profile of Davana (Artemisia pallens Wall. ex DC.) Essential Oil and cis- Davanone in Primary Macrophage Cells. Chem. Biodivers. 2021, 18, e2100531. [Google Scholar] [CrossRef]
- Bisht, D.; Kumar, D.; Kumar, D.; Dua, K.; Chellappan, D.K. Phytochemistry and pharmacological activity of the genus artemisia. Arch. Pharm. Res. 2021, 44, 439–474. [Google Scholar] [CrossRef] [PubMed]
- Suresh, J.; Elango, K.; Dhanabal, S.P.; Paramakrishnan, N.; Suresh, B. A comparative pharmacognostical evaluation of two Artemisia species found in Nilgiris biosphere. Anc. Sci. Life 2007, 27, 7–13. [Google Scholar] [PubMed]
- Mohammed, H.A.; Qureshi, K.A.; Ali, H.M.; Al-Omar, M.S.; Khan, O.; Mohammed, S.A.A. Bio-Evaluation of the Wound Healing Activity of Artemisia judaica L. as Part of the Plant’s Use in Traditional Medicine; Phytochemical, Antioxidant, Anti-Inflammatory, and Antibiofilm Properties of the Plant’s Essential Oils. Antioxidants 2022, 11, 332. [Google Scholar] [CrossRef] [PubMed]
- Xie, K.; Li, Z.; Zhang, Y.; Wu, H.; Zhang, T.; Wang, W. Artemisinin and its derivatives as promising therapies for autoimmune diseases. Heliyon 2024, 10, e27972. [Google Scholar] [CrossRef] [PubMed]
- Zhang, R.X.; Fan, A.Y.; Zhou, A.N.; Moudgil, K.D.; Ma, Z.Z.; Lee, D.Y.; Fong, H.H.; Berman, B.M.; Lao, L. Extract of the Chinese herbal formula Huo Luo Xiao Ling Dan inhibited adjuvant arthritis in rats. J. Ethnopharmacol. 2009, 121, 366–371. [Google Scholar] [CrossRef]
- Mohammed, S.; Dekabo, A.; Hailu, T. Phytochemical analysis and anti-microbial ac-tivities of Artemisia spp. and rapid isolation methods of artemisinin. AMB Expr. 2022, 12, 17. [Google Scholar] [CrossRef] [PubMed]
- Numonov, S.; Sharopov, F.; Salimov, A.; Sukhrobov, P.; Atolikshoeva, S.; Safarzoda, R.; Habasi, M.; Aisa, H.A. Assessment of Artemisinin Contents in Selected Artemisia Species from Tajikistan (Central Asia). Medicines 2019, 6, 23. [Google Scholar] [CrossRef]
- Chiang, Y.-H.; Lin, Y.-C.; Wang, S.-Y.; Lee, Y.-P.; Chen, C.-F. Effects of Artemisia annua on experimentally induced leucocytozoonosis in chickens. Poult. Sci. 2020, 101, 101690. [Google Scholar] [CrossRef] [PubMed]
- Organisation for Economic Co-operation and Development (OECD). Acute Oral Toxicity: Up-and-Down Procedure. 2024. Available online: https://www.oecd.org/env/test-no-425-acute-oral-toxicity-up-and-down-procedure-9789264071049-en.htm (accessed on 10 May 2023).
- Winter, C.A.; Risley, E.A.; Nuss, G.W. Carrageenin-Induced Edema in Hind Paw of the Rat as an Assay for Antiinflammatory. Drugs Exp. Biol. Med. 1962, 111, 544–547. [Google Scholar] [CrossRef]
- Lee, J.; Kim, K.A.; Jeong, S.; Lee, S.; Park, H.J.; Kim, N.J.; Lim, S. Anti-inflammatory, anti-nociceptive, and anti-psychiatric effects by the rhizomes of Alpinia officinarum on complete Freund’s adjuvant-induced arthritis in rats. J. Ethnopharmacol. 2009, 126, 258–264. [Google Scholar] [CrossRef] [PubMed]
- Chaplan, S.R.; Bach, F.W.; Pogrel, J.W.; Chung, J.M.; Yaksh, T.L. Quantitative assessment of tactile allodynia in the rat paw. J. Neurosci. Methods 1994, 53, 55–63. [Google Scholar] [CrossRef] [PubMed]
- Selvakumar, K.; Bavithra, S.; Suganya, S.; Ahmad Bhat, F.; Krishnamoorthy, G.; Arunakaran, J. Effect of Quercetin on Haematobiochemical and Histological Changes in the Liver of Polychlorined Biphenyls-Induced Adult Male Wistar Rats. J. Biomarkers 2013, 2013, 960125. [Google Scholar] [CrossRef] [PubMed]
- Misra, H.P.; Fridovich, I. The role of superoxide anion in the autoxidation of epinephrine and a simple assay for superoxide dismutase. J. Biol. Chem. 1972, 247, 3170–3175. [Google Scholar] [CrossRef]
- Slater, T.F.; Sawyer, B.C. The stimulatory effects of carbon tetrachloride and other halogenoalkanes on peroxidative reactions in rat liver fractions in vitro. General features of the systems used. Biochem. J. 1971, 123, 805–814. [Google Scholar] [CrossRef]
- Karra, N.; Swindle, E.J.; Morgan, H. Drug delivery for traditional and emerging airway models. Organs-on-a-Chip 2019, 1, 100002. [Google Scholar] [CrossRef]
- Swathi, K.P.; Jayaram, S.; Sugumar, D.; Rymbai, E. Evaluation of anti-inflammatory and anti-arthritic property of ethanolic extract of Clitoria ternatea. Chin. Herb. Med. 2021, 13, 243–249. [Google Scholar] [CrossRef]
- Ekambaram, S.; Perumal, S.S.; Subramanian, V. Evaluation of antiarthritic activity of Strychnos potatorum Linn seeds in Freund’s adjuvant induced arthritic rat model. BMC Complement. Altern. Med. 2010, 10, 56. [Google Scholar] [CrossRef] [PubMed]
- Jemal, A.; Thun, M.J.; Ries, L.A.; Howe, H.L.; Weir, H.K.; Center, M.M.; Ward, E.; Wu, X.C.; Eheman, C.; Anderson, R.; et al. Annual report to the nation on the status of cancer, 1975-2005, featuring trends in lung cancer, tobacco use, and tobacco control. J. Natl. Cancer Inst. 2008, 100, 1672–1694. [Google Scholar] [CrossRef] [PubMed]
- Hoffmann, J.C.; Herklotz, C.; Zeidler, H.; Bayer, B.; Rosenthal, H.; Westermann, J. Initiation and perpetuation of rat adjuvant arthritis is inhibited by the anti-CD2 monoclonal antibody (mAb) OX34. Ann. Rheum. Dis. 1997, 56, 716–722. [Google Scholar] [CrossRef]
- Jha, V.; Kadam, P.; Jain, T.; Bhargava, A.; Marick, A.; Saiya, B.; Maiti, S.; Pandya, S.; Patel, R.; Jadhav, N. Investigation of physico-chemical properties and evaluation of the biological potential of essential oil extracted from Artemisia pallens. J. Umm Al-Qura Univ. Appl. Sci. 2023, 9, 494–507. [Google Scholar] [CrossRef]
- Suresh, J.; Singh, A.; Vasavi, A.; Ihsanullah, M.; Mary, S. Phytochemical and pharmacological properties of Artemisia pallens. Int. J. Pharm. Sci. Res. 2011, 5, 3090–3091. [Google Scholar]
- Ivanescu, B.; Vlase, L.; Corciova, A.; Lazar, M.I. Artemisinin evaluation in Ro-manian Artemisia annua wild plants using a new HPLC/MS method, Natural Product Research. Former. Nat. Prod. Lett. 2011, 25, 716–722. [Google Scholar]
- Honmore, V.; Kandhare, A.; Zanwar, A.A.; Rojatkar, S.; Bodhankar, S.; Natu, A. Artemisia pal-lens alleviates acetaminophen induced toxicity via modulation of endogenous bi-omarkers. Pharm. Biol. 2015, 53, 571–581. [Google Scholar] [CrossRef] [PubMed]
- Mukinda, J.T.; Syce, J.A. Acute and chronic toxicity of the aqueous extract of Artemisia afra in rodents. J. Ethnopharmacol. 2007, 112, 138–144. [Google Scholar] [CrossRef] [PubMed]
- Kulkarni, S.; Durham, H.; Glover, L.; Ather, O.; Phillips, V.; Nemes, S.; Cousens, L.; Blomgran, P.; Ambery, P. Metabolic adverse events associated with systemic corticosteroid therapy-a systematic review and meta-analysis. BMJ Open 2022, 12, e061476. [Google Scholar] [CrossRef] [PubMed]
- Ashok, P.K.; Sagar, M.K.; Chopra, H.; Upadhyaya, K. Analgesic and Anti-Inflammatory Properties of Artemisia Pallens Wall Ex. Dc. Pharmacologyonline 2010, 1, 567–573. [Google Scholar]
- Ferreira, J.F.S.; Luthria, D.L.; Sasaki, T.; Heyerick, A. Flavonoids from Artemisia annua L. as Antioxidants and Their Potential Synergism with Artemisinin against Malaria and Cancer. Molecules 2010, 15, 3135–3170. [Google Scholar] [CrossRef] [PubMed]
- Tong, W.W.; Zhang, C.; Hong, T.; Liu, D.H.; Wang, C.; Li, J.; He, X.K.; Xu, W.D. Silibinin alle-viates inflammation and induces apoptosis in human rheumatoid arthritis fibro-blast-like synoviocytes and has a therapeutic effect on arthritis in rats. Sci. Rep. 2018, 8, 3241. [Google Scholar] [CrossRef]
- Hopkins, S.J. Cytokines and eicosanoids in rheumatic diseases. Ann. Rheum. Dis. 1990, 49, 207–210. [Google Scholar] [CrossRef]
- Jadot, G.; Michelson, A.M.; Puget, K. Anti-Inflammatory Activity of Superoxide Dismutases: Studies on Adjuvant Induced Polyarthritis in Rats. Free Radic. Res. Commun. 1986, 2, 27–42. [Google Scholar] [CrossRef]
- Geetha, T.; Varalakshmi, P. Anti-inflammatory activity of lupeol and lupeol linoleate in rats. J. Ethnopharmacol. 2001, 76, 77–80. [Google Scholar] [CrossRef]
- Kleinau, S.; Erlandsson, H.; Klareskog, L. Percutaneous exposure of adjuvant oil causes arthritis in DA rats. Clin. Exp. Immunol. 2008, 96, 281–284. [Google Scholar] [CrossRef] [PubMed]
- Portanova, J.P.; Zhang, Y.; Anderson, G.D.; Hauser, S.D.; Masferrer, J.L.; Seibert, K.; Gregory, S.A.; Isakson, P.C. Selective neutralization of prostaglandin E2 blocks inflammation, hyperalgesia, and interleukin 6 production in vivo. J. Exp. Med. 1996, 184, 883–891. [Google Scholar] [CrossRef] [PubMed]
- Agarwal, R.B.; Rangari, V.D. Phytochemical investigation and evaluation of anti-inflammatory and anti-arthritic activities of essential oil of Strobilanthus ixiocephala Benth. Indian. J. Exp. Biol. 2003, 41, 890–894. [Google Scholar] [PubMed]
- Azarmi, S.; Roa, W.H.; Löbenberg, R. Targeted delivery of nanoparticles for the treatment of lung diseases. Adv. Drug Deliv. Rev. 2008, 60, 863–875. [Google Scholar] [CrossRef] [PubMed]
- Martí-Carvajal, A.J.; Agreda-Pérez, L.H.; Solà, I. Erythropoiesis-stimulating agents for anemia in rheumatoid arthritis. Cochrane Database Syst. Rev. 2013, 2015. [Google Scholar] [CrossRef]
- Patel, M.G.; Pundarikakshudu, K. Anti-arthritic activity of a classical Ayurvedic formulation Vatari Guggulu in rats. J. Tradit. Complement. Med. 2016, 6, 389–394. [Google Scholar] [CrossRef] [PubMed]
- Peng, Y.; Ao, M.; Dong, B.; Jiang, Y.; Yu, L.; Chen, Z.; Hu, C.; Xu, R. Anti-Inflammatory Effects of Curcumin in the Inflammatory Diseases: Status, Limitations and Countermeasures. Drug Des. Devel. Ther. 2021, 15, 4503–4525. [Google Scholar] [CrossRef] [PubMed]
- Wong, Y.F.; Zhou, H.; Wang, J.R.; Xie, Y.; Xu, H.X.; Liu, L. Anti-inflammatory and analgesic effects and molecular mechanisms of JCICM-6, a purified extract derived from an anti-arthritic Chinese herbal formula. Phytomedicine 2008, 15, 416–426. [Google Scholar] [CrossRef] [PubMed]
- Khojah, H.M.; Ahmed, S.; Abdel-Rahman, M.S.; Hamza, A.-B. Reactive oxygen and nitrogen species in patients with rheumatoid arthritis as potential biomarkers for disease activity and the role of antioxidants. Free Radic. Biol. Med. 2016, 97, 285–291. [Google Scholar] [CrossRef]
- Farrugia, M.; Baron, B. The role of TNF-α in rheumatoid arthritis: A focus on regulatory T cells. J. Clin. Transl. Res. 2016, 2, 84–90. [Google Scholar] [CrossRef] [PubMed]
- Monboisse, J.C.; Borel, J.P. Oxidative damage to collagen. In Free Radicals Aging; Birkhäuser: Basel, Switzerland, 1992; pp. 323–327. [Google Scholar]
- McCord, J.M. Free Radicals and Inflammation: Protection of Synovial Fluid by Superoxide Dismutase. Science 1974, 80, 529–531. [Google Scholar] [CrossRef] [PubMed]
- Borel, J.P.; Monboisse, J.C. Effect of oxygen free radicals on collagen in inflammation. Ann. Biol. Clin. 1986, 44, 260–265. [Google Scholar]
- Baskol, G.; Demir, H.; Baskol, M.; Kilic, E.; Ates, F.; Karakukcu, C.; Ustdal, M. Investigation of protein oxidation and lipid peroxidation in patients with rheumatoid arthritis. Cell Biochem. Funct. 2006, 24, 307–311. [Google Scholar]
- Ysrafil, Y.; Sapiun, Z.; Slamet, N.S.; Mohamad, F.; Hartati, H.; Damiti, S.A.; Alexandra, F.D.; Rahman, S.; Masyeni, S.; Harapan, H.; et al. An-ti-inflammatory activities of flavonoid derivates. ADMET DMPK 2023, 11, 331–359. [Google Scholar]









| Treatment Groups | Dose mg/kg | AST (U/L) | ALT (U/L) | ALP (U/L) |
|---|---|---|---|---|
| Vehicle control | - | 38.12 ± 1.14 | 43.56 ± 2.46 | 74.91 ± 2.82 |
| Arthritic control | - | 134.60 ± 3.24 # | 176.70 ± 1.79 # | 442.10 ± 14.02 # |
| Prednisolone | 10 | 54.54 ± 2.03 *** | 55.02 ± 2.04 *** | 158.80 ± 8.37 *** |
| MEAP | 100 | 123.70 ± 3.85 | 169.10 ± 2.88 | 421.10 ± 8.75 |
| MEAP | 200 | 118.70 ± 4.20 ** | 162.00 ± 2.398 ** | 403.40 ± 10.99 * |
| MEAP | 400 | 76.89± 2.38 *** | 119.70 ± 2.814 *** | 395.30 ± 10.16 ** |
| Treatment Groups | Dose mg/kg | Hb (gm/100 mL) | WBC (Thousands/µL) | RBC (Million/µL) | Platelet (Lacks/µL) |
|---|---|---|---|---|---|
| Vehicle control | - | 14.19 ± 0.27 | 7.53 ± 0.21 | 6.87 ± 0.11 | 9.60 ± 0.56 |
| Arthritic control | - | 8.70 ± 0.17 # | 15.09 ± 0.27 # | 3.66 ± 0.16 # | 18.09 ± 0.37 # |
| Prednisolone | 10 | 13.09 ± 0.36 *** | 12.34 ± 0.25 *** | 5.69 ± 0.14 *** | 11.24 ± 0.29 *** |
| MEAP | 100 | 9.10 ± 0.20 | 14.78 ± 0.22 | 3.79 ± 0.18 | 17.72 ± 0.20 |
| MEAP | 200 | 9.68 ± 0.23 * | 14.00 ± 0.28 * | 4.84 ± 0.32 * | 16.17 ± 0.60 * |
| MEAP | 400 | 10.15 ± 0.29 ** | 13.75 ± 0.33 ** | 5.18 ± 0.57 ** | 15.52 ± 0.51 ** |
| Treatment Group | Dose mg/kg | SOD (mU/mg Protein) | GSH (µmole/mg Protein) | MDA (nmole MDA/mg Protein) |
|---|---|---|---|---|
| Vehicle control | - | 4.41 ± 0.05 | 69.56 ± 1.03 | 1.98 ± 0.05 |
| Arthritic control | - | 2.43 ± 0.05 # | 43.29 ± 0.90 # | 3.42 ± 0.04 # |
| Prednisolone | 10 | 3.37 ± 0.14 *** | 61.26 ± 1.53 *** | 2.92 ± 0.08 *** |
| MEAP | 100 | 2.48 ± 0.04 | 43.59 ± 1.57 | 3.29 ± 0.06 |
| MEAP | 200 | 2.86 ± 0.08 ** | 49.62 ± 1.13 ** | 3.12 ± 0.09 ** |
| MEAP | 400 | 3.15 ± 0.075 *** | 50.66 ± 0.84 *** | 3.04 ± 0.05 *** |
| Treatment Group | Dose (mg/kg) | Spleen Weight (g) |
|---|---|---|
| Vehicle control | - | 1.00 ± 0.04 |
| Arthritic control | - | 1.42 ± 0.06 # |
| Prednisolone | 10 | 1.82 ± 0.07 * |
| MEAP | 100 | 1.39 ± 0.04 |
| MEAP | 200 | 1.27 ± 0.06 |
| MEAP | 400 | 1.23 ± 0.05 |
Disclaimer/Publisher’s Note: The statements, opinions and data contained in all publications are solely those of the individual author(s) and contributor(s) and not of MDPI and/or the editor(s). MDPI and/or the editor(s) disclaim responsibility for any injury to people or property resulting from any ideas, methods, instructions or products referred to in the content. |
© 2024 by the authors. Licensee MDPI, Basel, Switzerland. This article is an open access article distributed under the terms and conditions of the Creative Commons Attribution (CC BY) license (https://creativecommons.org/licenses/by/4.0/).
Share and Cite
Ahmad, T.; Kadam, P.; Bhiyani, G.; Ali, H.; Akbar, M.; Siddique, M.U.M.; Shahid, M. Artemisia pallens W. Attenuates Inflammation and Oxidative Stress in Freund’s Complete Adjuvant-Induced Rheumatoid Arthritis in Wistar Rats. Diseases 2024, 12, 230. https://doi.org/10.3390/diseases12100230
Ahmad T, Kadam P, Bhiyani G, Ali H, Akbar M, Siddique MUM, Shahid M. Artemisia pallens W. Attenuates Inflammation and Oxidative Stress in Freund’s Complete Adjuvant-Induced Rheumatoid Arthritis in Wistar Rats. Diseases. 2024; 12(10):230. https://doi.org/10.3390/diseases12100230
Chicago/Turabian StyleAhmad, Tasneem, Parag Kadam, Gopal Bhiyani, Hasan Ali, Md. Akbar, Mohd Usman Mohd Siddique, and Mudassar Shahid. 2024. "Artemisia pallens W. Attenuates Inflammation and Oxidative Stress in Freund’s Complete Adjuvant-Induced Rheumatoid Arthritis in Wistar Rats" Diseases 12, no. 10: 230. https://doi.org/10.3390/diseases12100230
APA StyleAhmad, T., Kadam, P., Bhiyani, G., Ali, H., Akbar, M., Siddique, M. U. M., & Shahid, M. (2024). Artemisia pallens W. Attenuates Inflammation and Oxidative Stress in Freund’s Complete Adjuvant-Induced Rheumatoid Arthritis in Wistar Rats. Diseases, 12(10), 230. https://doi.org/10.3390/diseases12100230

