Cardiovascular Disease Outcomes Associated with Obstructive Sleep Apnea in Diabetics: A Systematic Review and Meta-Analysis
Abstract
1. Introduction
2. Methods
2.1. Inclusion and Exclusion Criteria
2.2. Search Strategy and Screening
2.3. Data Extraction and Quality Assessment
2.4. Statistical Analysis
3. Results
3.1. Literature Search
3.2. Characteristics of Studies
3.3. Association of OSA with CVD
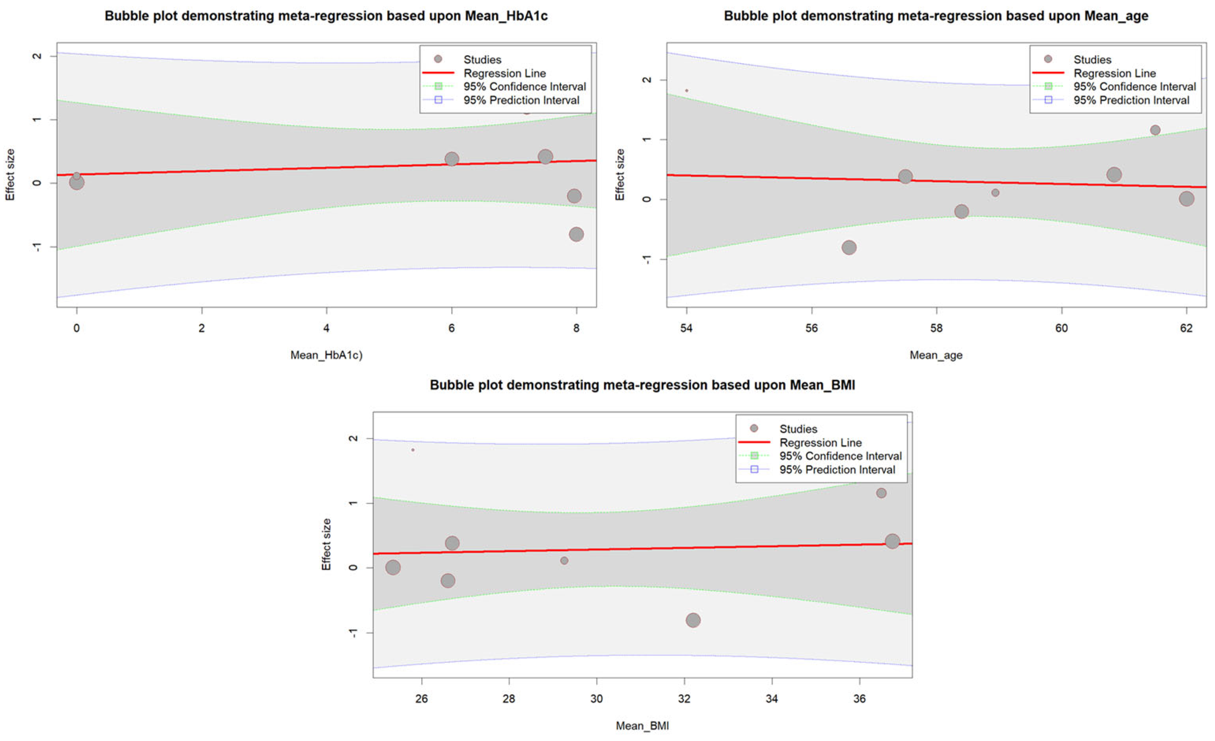
3.4. Meta-Regression
3.5. Publication Bias and Sensitivity Analysis
4. Discussion
5. Conclusions
Supplementary Materials
Author Contributions
Funding
Institutional Review Board Statement
Informed Consent Statement
Data Availability Statement
Acknowledgments
Conflicts of Interest
References
- Lin, X.; Xu, Y.; Pan, X.; Xu, J.; Ding, Y.; Sun, X.; Song, X.; Ren, Y.; Shan, P.-F. Global, regional, and national burden and trend of diabetes in 195 countries and territories: An analysis from 1990 to 2025. Sci. Rep. 2020, 10, 14790. [Google Scholar] [CrossRef] [PubMed]
- Rawshani, A.; Rawshani, A.; Franzén, S.; Eliasson, B.; Svensson, A.-M.; Miftaraj, M.; McGuire, D.K.; Sattar, N.; Rosengren, A.; Gudbjornsdottir, S. Mortality and cardiovascular disease in type 1 and type 2 diabetes. N. Engl. J. Med. 2017, 376, 1407–1418. [Google Scholar] [CrossRef]
- Einarson, T.R.; Acs, A.; Ludwig, C.; Panton, U.H. Prevalence of cardiovascular disease in type 2 diabetes: A systematic literature review of scientific evidence from across the world in 2007–2017. Cardiovasc. Diabetol. 2018, 17, 83. [Google Scholar] [CrossRef]
- Davies, M.J.; D’Alessio, D.A.; Fradkin, J.; Kernan, W.N.; Methieu, C.; Mingrone, G.; Rossing, P.; Tsapas, A.; Wexler, D.J.; Buse, J.B. Management of hyperglycemia in type 2 diabetes, 2018. A consensus report by the American Diabetes Association (ADA) and the European Association for the Study of Diabetes (EASD). Diabetes Care 2018, 41, 2669–2701. [Google Scholar] [PubMed]
- Senaratna, C.V.; Perret, J.L.; Lodge, C.J.; Lowe, A.J.; Campbell, B.E.; Matheson, M.C.; Hamilton, G.S.; Dharmage, S.C. Prevalence of obstructive sleep apnea in the general population: A systematic review. Sleep Med. Rev. 2017, 34, 70–81. [Google Scholar] [CrossRef] [PubMed]
- Thompson, C.; Legault, J.; Moullec, G.; Baltzan, M.; Cross, N.; Dang-Vu, T.T.; Martineau-Dussault, M.-E.; Hanly, P.; Ayas, N.; Lorrain, D.; et al. A portrait of obstructive sleep apnea risk factors in 27,210 middle-aged and older adults in the Canadian Longitudinal Study on Aging. Sci. Rep. 2022, 12, 5127. [Google Scholar] [CrossRef]
- Benjafield, A.V.; Ayas, N.T.; Eastwood, P.R.; Heinzer, R.; Ip, M.S.M.; Morell, M.J.; Nunez, C.M.; Patel, S.R.; Penzel, T.; Pepin, J.-L.; et al. Estimation of the global prevalence and burden of obstructive sleep apnoea: A literature-based analysis. Lancet Respir. Med. 2019, 7, 687–698. [Google Scholar] [CrossRef]
- Young, T.; Peppard, P.E.; Gottlieb, D.J. Epidemiology of obstructive sleep apnea: A population health perspective. Am. J. Respir. Crit. Care Med. 2002, 165, 1217–1239. [Google Scholar] [CrossRef] [PubMed]
- Phillipson, E.A. Sleep apnea–A major public health problem. Mass Med. Soc 1993, 328, 1271–1273. [Google Scholar]
- White, D.P.; Younes, M.K. Obstructive sleep apnea. Compr. Physiol. 2012, 2, 2541–2594. [Google Scholar]
- Labarca, G.; Gower, J.; Lamperti, L.; Dreyse, J.; Jorquera, J. Chronic intermittent hypoxia in obstructive sleep apnea: A narrative review from pathophysiological pathways to a precision clinical approach. Sleep Breath. 2020, 24, 751–760. [Google Scholar] [CrossRef] [PubMed]
- Unnikrishnan, D.; Jun, J.; Polotsky, V. Inflammation in sleep apnea: An update. Rev. Endocr. Metab. Disord. 2015, 16, 25–34. [Google Scholar] [CrossRef] [PubMed]
- Marin, J.M.; Carrizo, S.J.; Vicente, E.; Agusti, A.G. Long-term cardiovascular outcomes in men with obstructive sleep apnoea-hypopnoea with or without treatment with continuous positive airway pressure: An observational study. Lancet 2005, 365, 1046–1053. [Google Scholar] [CrossRef]
- Tahrani, A.A. Obstructive sleep apnoea in diabetes: Does it matter? Diabetes Vasc. Dis. Res. 2017, 14, 454–462. [Google Scholar] [CrossRef]
- Altaf, Q.A.; Dodson, P.; Ali, A.; Raymond, N.T.; Wharton, H.; Fellows, H.; Hampshire-Bancroft, R.; Shah, M.; Shepherd, E.; Miah, J.; et al. Obstructive sleep apnea and retinopathy in patients with type 2 diabetes. A longitudinal study. Am. J. Respir. Crit. Care Med. 2017, 196, 892–900. [Google Scholar] [CrossRef]
- Sharma, S.; Behl, T.; Sehgal, A.; Singh, S.; Sharma, N.; Bhatia, S.; Al-Harassi, A.; Bungau, S.; Mostafavi, E. Possible role of Wnt signaling pathway in diabetic retinopathy. Curr. Drug Targets 2022, 23, 1372–1380. [Google Scholar] [PubMed]
- Qie, R.; Zhang, D.; Liu, L.; Ren, Y.; Zhao, Y.; Liu, D.; Liu, F.; Chen, X.; Cheng, C.; Guo, C.; et al. Obstructive sleep apnea and risk of type 2 diabetes mellitus: A systematic review and dose-response meta-analysis of cohort studies. J. Diabetes 2020, 12, 455–464. [Google Scholar] [CrossRef] [PubMed]
- Fallahi, A.; Jamil, D.I.; Karimi, E.B.; Baghi, V.; Gheshlagh, R.G. Prevalence of obstructive sleep apnea in patients with type 2 diabetes: A systematic review and meta-analysis. Diabetes Metab. Syndr. Clin. Res. Rev. 2019, 13, 2463–2468. [Google Scholar] [CrossRef]
- Huang, T.; Lin, B.M.; Stampfer, M.J.; Tworoger, S.S.; Hu, F.B.; Redline, S. A population-based study of the bidirectional association between obstructive sleep apnea and type 2 diabetes in three prospective US cohorts. Diabetes Care 2018, 41, 2111–2119. [Google Scholar] [CrossRef]
- Aung, A.-T.; Koo, C.-Y.; Tam, W.W.; Chen, Z.; Kristanto, W.; Sim, H.-W.; Kojodjojo, P.; Kofidis, T.; Lee, C.-H. Sleep apnea and diabetes mellitus are independently associated with cardiovascular events and hospitalization for heart failure after coronary artery bypass grafting. Sci. Rep. 2020, 10, 21664. [Google Scholar] [CrossRef]
- Adderley, N.J.; Subramanian, A.; Toulis, K.; Gokhale, K.; Taverner, T.; Hanif, W.; Haroon, S.; Thomas, G.N.; Sainsbury, C.; Tahrani, A.A.; et al. Obstructive sleep apnea, a risk factor for cardiovascular and microvascular disease in patients with type 2 diabetes: Findings from a population-based cohort study. Diabetes Care 2020, 43, 1868–1877. [Google Scholar] [CrossRef]
- Wang, X.; Fan, J.; Du, Y.; Ma, C.; Ma, X.; Nie, S.; Wei, Y. Clinical significance of obstructive sleep apnea in patients with acute coronary syndrome in relation to diabetes status. BMJ Open Diabetes Res. Care 2019, 7, e000737. [Google Scholar] [PubMed]
- Rice, T.B.; Foster, G.D.; Sanders, M.H.; Unruh, M.; Reboussian, D.; Kuna, S.T.; Millman, R.; Zammit, G.; Wing, R.R.; Wadden, T.A.; et al. The relationship between obstructive sleep apnea and self-reported stroke or coronary heart disease in overweight and obese adults with type 2 diabetes mellitus. Sleep 2012, 35, 1293. [Google Scholar] [PubMed]
- Su, X.; Li, J.H.; Gao, Y.; Guo, J.J.; Shi, M.; Zou, X.; Xu, W.; Zhao, L.B.; Wang, H.; Wang, Y.; et al. Impact of obstructive sleep apnea complicated with type 2 diabetes on long-term cardiovascular risks and all-cause mortality in elderly patients. BMC Geriatr. 2021, 21, 508. [Google Scholar]
- Liberati, A.; Altman, D.G.; Tetzlaff, J.; Mulrow, C.; Gøtzsche, P.C.; Ioannidis, J.P.A.; Clarke, M.; Devereaux, P.J.; Kleijnen, J.; Moher, D. The PRISMA statement for reporting systematic reviews and meta-analyses of studies that evaluate health care interventions: Explanation and elaboration. Ann. Intern. Med. 2009, 151, W-65–W-94. [Google Scholar] [CrossRef]
- Brooke, B.S.; Schwartz, T.A.; Pawlik, T.M. MOOSE reporting guidelines for meta-analyses of observational studies. JAMA Surg. 2021, 156, 787–788. [Google Scholar] [CrossRef]
- Higgins, J.P.; Thompson, S.G.; Spiegelhalter, D.J. A re-evaluation of random-effects meta-analysis. J. R. Stat. Soc. Ser. A Stat. Soc. 2009, 172, 137–159. [Google Scholar] [CrossRef]
- Dong, J.-Y.; Zhang, Y.-H.; Qin, L.-Q. Obstructive sleep apnea and cardiovascular risk: Meta-analysis of prospective cohort studies. Atherosclerosis 2013, 229, 489–495. [Google Scholar] [CrossRef]
- Koo, C.Y.; Drager, L.F.; Sethi, R.; Ho, H.-H.; Hein, T.; Jim, M.-H.; Tai, B.-C.; Zhang, J.-J.; Lee, C.-H.; Sleep and Stent Study Investigators. Obstructive Sleep Apnea and Diabetes Independently Add to Cardiovascular Risk After Coronary Revascularization. Diabetes Care 2017, 41, e12–e14. [Google Scholar] [CrossRef]
- Manin, G.; Pons, A.; Baltzinger, P.; Moreau, F.; Iamandi, C.; Wilhelm, J.M.; Lenoble, P.; Kessler, L.; Kessler, R. Obstructive sleep apnoea in people with Type 1 diabetes: Prevalence and association with micro-and macrovascular complications. Diabet. Med. 2015, 32, 90–96. [Google Scholar]
- Strausz, S.; Havulinna, A.S.; Tuomi, T.; Bachour, A.; Groop, L.; Mäkitie, A.; Koskinen, S.; Salomaa, V.; Palotie, A.; Ripatti, S.; et al. Obstructive sleep apnoea and the risk for coronary heart disease and type 2 diabetes: A longitudinal population-based study in Finland. BMJ Open 2018, 8, e022752. [Google Scholar]
- Labarca, G.; Dreyse, J.; Salas, C.; Schmidt, A.; Rivera, F.; Letelier, F.; Jorquera, J. Risk of mortality among patients with moderate to severe obstructive sleep apnea and diabetes mellitus: Results from the SantOSA cohort. Sleep Breath. 2021, 25, 1467–1475. [Google Scholar] [CrossRef] [PubMed]
- Wang, H.; Li, X.; Tang, Z.; Gong, G. Cardiovascular outcomes post percutaneous coronary intervention in patients with obstructive sleep apnea and type 2 diabetes mellitus: A systematic review and meta-analysis. Diabetes Ther. 2020, 11, 1795–1806. [Google Scholar] [PubMed]
- Loke, Y.K.; Brown, J.W.L.; Kwok, C.S.; Niruban, A.; Myint, P.K. Association of obstructive sleep apnea with risk of serious cardiovascular events: A systematic review and meta-analysis. Circ. Cardiovasc. Qual. Outcomes 2012, 5, 720–728. [Google Scholar] [PubMed]
- Salari, N.; Khazaie, H.; Abolfathi, M.; Ghasemi, H.; Shabani, S.; Rasoulpoor, S.; Mohammadi, M.; Rasoulpoor, S.; Khaledi-Paveh, B. The effect of obstructive sleep apnea on the increased risk of cardiovascular disease: A systematic review and meta-analysis. Neurol. Sci. 2022, 43, 219–231. [Google Scholar] [CrossRef] [PubMed]
- Wang, X.; Ouyang, Y.; Wang, Z.; Zhao, G.; Liu, L.; Bi, Y. Obstructive sleep apnea and risk of cardiovascular disease and all-cause mortality: A meta-analysis of prospective cohort studies. Int. J. Cardiol. 2013, 169, 207–214. [Google Scholar] [CrossRef] [PubMed]
- da Silva Paulitsch, F.; Zhang, L. Continuous positive airway pressure for adults with obstructive sleep apnea and cardiovascular disease: A meta-analysis of randomized trials. Sleep Med. 2019, 54, 28–34. [Google Scholar] [CrossRef]
- Jean-Louis, G.; Zizi, F.; Brown, D.; Ogedegbe, G.; Borer, J.; McFarlane, S. Obstructive sleep apnea and cardiovascular disease: Evidence and underlying mechanisms. Minerva Pneumol. 2009, 48, 277. [Google Scholar]
- Bauters, F.; Rietzschel, E.R.; Hertegonne, K.B.; Chirinos, J.A. The link between obstructive sleep apnea and cardiovascular disease. Curr. Atheroscler. Rep. 2016, 18, 1. [Google Scholar] [CrossRef]
- Tasali, E.; Ip, M.S. Obstructive sleep apnea and metabolic syndrome: Alterations in glucose metabolism and inflammation. Proc. Am. Thorac. Soc. 2008, 5, 207–217. [Google Scholar] [CrossRef]
- Zhang, Y.; Xing, Y.; Yuan, H.; Gang, X.; Guo, W.; Li, Z.; Wang, G. Impaired glucose metabolisms of patients with obstructive sleep apnea and type 2 diabetes. J. Diabetes Res. 2018, 2018, 6714392. [Google Scholar] [CrossRef] [PubMed]
- Torres, G.; Sánchez-de-la-Torre, M.; Barbé, F. Relationship between OSA and hypertension. Chest 2015, 148, 824–832. [Google Scholar] [CrossRef] [PubMed]
- Somers, V.K.; Dyken, M.E.; Clary, M.P.; Abboud, F.M. Sympathetic neural mechanisms in obstructive sleep apnea. J. Clin. Investig. 1995, 96, 1897–1904. [Google Scholar] [CrossRef] [PubMed]



| Author | Study Design | Country, Year | Age (Mean) | Male % | Type of Diabetes | Mean Follow-Up Period (Years) | BMI (Mean) | HbA1c (Mean) | Total OSA | No. of CVD Events in OSA | Total Non-OSA | No. of CVD Events in non OSA | Total Sample Size | Type of CVD Outcome |
|---|---|---|---|---|---|---|---|---|---|---|---|---|---|---|
| Adderley NJ et al. [21] | Retrospective cohort | UK, 2020 | 60.84 | 75.00 | T2DM | 3 | 36.75 | 7.50 | 3667 | 2492 | 10,450 | 4690 | 14,117 | Stroke/TIA, IHD, HF, AF, PVD |
| Aung A-T et al. [20] | Prospective, observational | Singapore, 2020 | 62.00 | 83.30 | T2DM | 2.1 | 25.35 | N/A | 295 | 191 | 278 | 178 | 573 | Stroke/TIA, MI, AF |
| Koo CY et al. [29] | Prospective, observational | Singapore, 2018 | 58.4 | 85.20 | T2DM | 1.9 | 26.60 | 7.96 | 271 | 68 | 284 | 87 | 555 | MI, Stroke |
| Manin G et al. [30] | Cross-sectional | France, 2014 | 54.00 | 60.00 | T1DM | N/A | 25.80 | 7.55 | 31 | 16 | 36 | 3 | 67 | ACS, PVD |
| Rice TB et al. [23] | Cross-sectional | USA, 2012 | 61.50 | 40.00 | T2DM | N/A | 36.50 | 7.20 | 162 | 36 | 143 | 10 | 305 | MI |
| Strausz S et al. [31] | Prospective cohort | Finland, 2018 | 58.94 | 51.20 | T2DM | 12.9 | 29.26 | N/A | 119 | 6 | 1286 | 58 | 1405 | CHD, Stroke/TIA |
| Tahrani AA [14] | Cross-sectional | UK, 2012 | 56.6 | 57.60 | T2DM | N/A | 32.2 | 8 | 151 | 61 | 83 | 75 | 234 | Stroke/TIA, IHD, PVD |
| Wang X et al. [22] | Prospective cohort | China, 2019 | 57.50 | 82.60 | T2DM | 2 | 26.70 | 6 | 121 | 67 | 127 | 48 | 248 | Stroke, MI, MACCE |
| Labarca et al. [32] | Prospective cohort | Chile, 2021 | 59.4 | 67.81 | T2DM | 5 | 32.3 | N/A | 151 | N/A | 141 | N/A | 292 | CV mortality, stroke, CHD |
Disclaimer/Publisher’s Note: The statements, opinions and data contained in all publications are solely those of the individual author(s) and contributor(s) and not of MDPI and/or the editor(s). MDPI and/or the editor(s) disclaim responsibility for any injury to people or property resulting from any ideas, methods, instructions or products referred to in the content. |
© 2023 by the authors. Licensee MDPI, Basel, Switzerland. This article is an open access article distributed under the terms and conditions of the Creative Commons Attribution (CC BY) license (https://creativecommons.org/licenses/by/4.0/).
Share and Cite
Bushi, G.; Padhi, B.K.; Shabil, M.; Satapathy, P.; Rustagi, S.; Pradhan, K.B.; Al-qaim, Z.H.; Khubchandani, J.; Sah, R.; Sah, S.; et al. Cardiovascular Disease Outcomes Associated with Obstructive Sleep Apnea in Diabetics: A Systematic Review and Meta-Analysis. Diseases 2023, 11, 103. https://doi.org/10.3390/diseases11030103
Bushi G, Padhi BK, Shabil M, Satapathy P, Rustagi S, Pradhan KB, Al-qaim ZH, Khubchandani J, Sah R, Sah S, et al. Cardiovascular Disease Outcomes Associated with Obstructive Sleep Apnea in Diabetics: A Systematic Review and Meta-Analysis. Diseases. 2023; 11(3):103. https://doi.org/10.3390/diseases11030103
Chicago/Turabian StyleBushi, Ganesh, Bijaya Kumar Padhi, Muhammed Shabil, Prakasini Satapathy, Sarvesh Rustagi, Keerti Bhusan Pradhan, Zahraa Haleem Al-qaim, Jagdish Khubchandani, Ranjit Sah, Sanjit Sah, and et al. 2023. "Cardiovascular Disease Outcomes Associated with Obstructive Sleep Apnea in Diabetics: A Systematic Review and Meta-Analysis" Diseases 11, no. 3: 103. https://doi.org/10.3390/diseases11030103
APA StyleBushi, G., Padhi, B. K., Shabil, M., Satapathy, P., Rustagi, S., Pradhan, K. B., Al-qaim, Z. H., Khubchandani, J., Sah, R., Sah, S., & Anand, A. (2023). Cardiovascular Disease Outcomes Associated with Obstructive Sleep Apnea in Diabetics: A Systematic Review and Meta-Analysis. Diseases, 11(3), 103. https://doi.org/10.3390/diseases11030103

