Interaction of Per- and Polyfluoroalkyl Substances and Allostatic Load among Adults in Various Occupations
Abstract
:1. Introduction
2. Materials and Methods
2.1. Study Population
2.2. Allostatic Load Measurement and Definition
2.3. Analytical Procedures
PFAS Detection Limits
2.4. Statistical Analysis
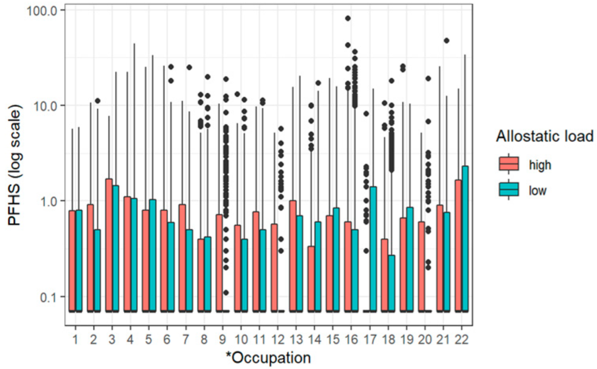
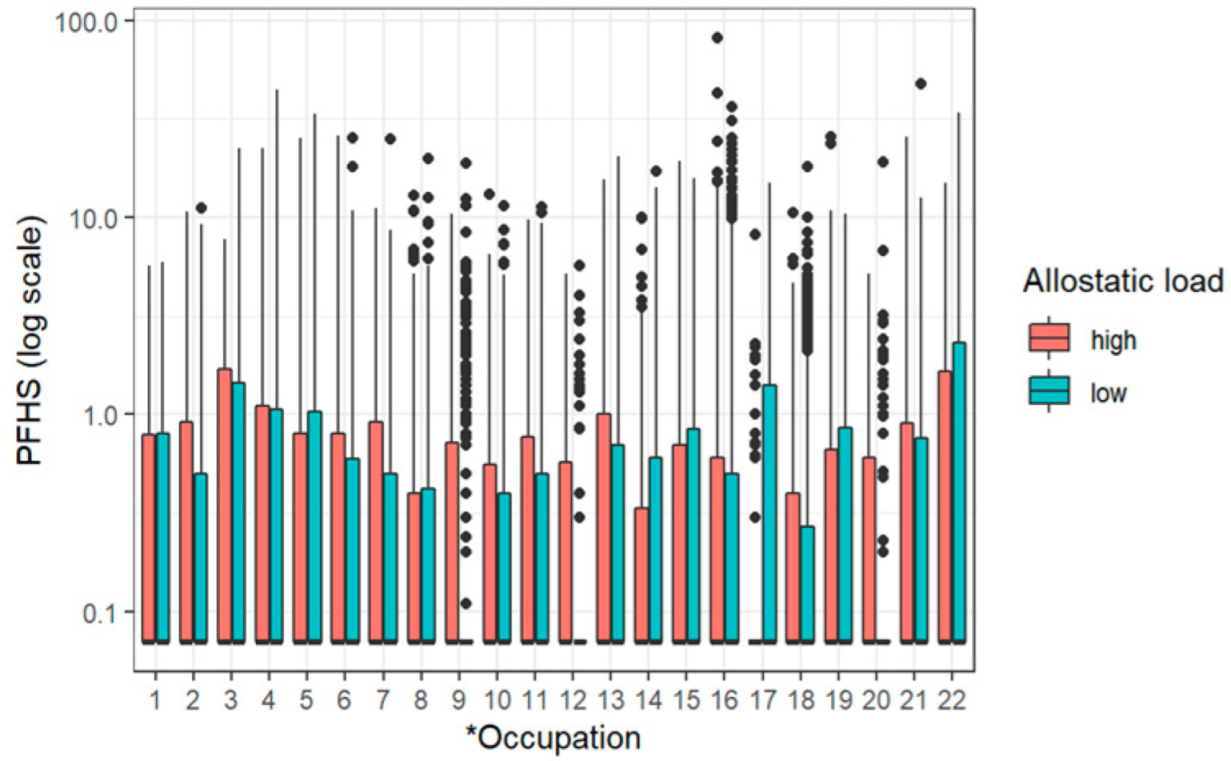
3. Results
4. Discussion
5. Conclusions
Author Contributions
Funding
Institutional Review Board Statement
Informed Consent Statement
Data Availability Statement
Conflicts of Interest
References
- Prevedouros, K.; Cousins, I.T.; Buck, R.C.; Korzeniowski, S.H. Sources, fate and transport of perfluorocarboxylates. Environ. Sci. Technol. 2006, 40, 32–44. [Google Scholar] [CrossRef] [PubMed]
- Obeng-Gyasi, E. Per-and polyfluoroalkyl substances: Toxic chemicals of concern in North. Carolina. North Carol. Med. J. 2022, 83, 90–93. [Google Scholar] [CrossRef] [PubMed]
- Glüge, J.; Scheringer, M.; Cousins, I.T.; DeWitt, J.C.; Goldenman, G.; Herzke, D.; Lohmann, R.; Ng, C.A.; Trier, X.; Wang, Z. An overview of the uses of per-and polyfluoroalkyl substances (PFAS). Environ. Sci. Process. Impacts 2020, 22, 2345–2373. [Google Scholar] [CrossRef] [PubMed]
- National Institute of Environmental Health Sciences and National. Perfluoroalkyl and Polyfluoroalkyl Substances (PFAS). 2021. Available online: https://www.niehs.nih.gov/health/topics/agents/pfc/index.cfm. (accessed on 22 April 2022).
- Lu, Y.; Gao, K.; Li, X.; Tang, Z.; Xiang, L.; Zhao, H.; Fu, J.; Wang, L.; Zhu, N.; Cai, Z.; et al. Mass spectrometry-based metabolomics reveals occupational exposure to per-and polyfluoroalkyl substances relates to oxidative stress, fatty acid β-oxidation disorder, and kidney injury in a manufactory in China. Environ. Sci. Technol. 2019, 53, 9800–9809. [Google Scholar] [CrossRef]
- Mamsen, L.S.; Björvang, R.D.; Mucs, D.; Vinnars, M.-T.; Papadogiannakis, N.; Lindh, C.H.; Andersen, C.Y.; Damdimopoulou, P. Concentrations of perfluoroalkyl substances (PFASs) in human embryonic and fetal organs from first, second, and third trimester pregnancies. Environ. Int. 2019, 124, 482–492. [Google Scholar] [CrossRef]
- Barton, K.E.; Starling, A.P.; Higgins, C.P.; McDonough, C.A.; Calafat, A.M.; Adgate, J.L. Sociodemographic and behavioral determinants of serum concentrations of per-and polyfluoroalkyl substances in a community highly exposed to aqueous film-forming foam contaminants in drinking water. Int. J. Hyg. Environ. Health 2020, 223, 256–266. [Google Scholar] [CrossRef]
- Posner, S. Perfluorinated compounds: Occurrence and uses in products. In Polyfluorinated Chemicals and Transformation Products; Springer: Berlin/Heidelberg Germany, 2012; pp. 25–39. [Google Scholar]
- Sterling, P. Allostasis: A new paradigm to explain arousal pathology. In Handbook of Life Stress, Cognition and Health; John Wiley & Sons: Hoboken, NJ, USA, 1988. [Google Scholar]
- McEwen, B.S. Stress, adaptation, and disease: Allostasis and allostatic load. Ann. N. Y. Acad. Sci. 1998, 840, 33–44. [Google Scholar] [CrossRef]
- McEwen, B.S.; Stellar, E. Stress and the individual: Mechanisms leading to disease. Arch. Intern. Med. 1993, 153, 2093–2101. [Google Scholar] [CrossRef]
- Obeng-Gyasi, E.; Obeng-Gyasi, B. Chronic stress and cardiovascular disease among individuals exposed to lead: A pilot study. Diseases 2020, 8, 7. [Google Scholar] [CrossRef] [Green Version]
- Sabbah, W.; Watt, R.G.; Sheiham, A.; Tsakos, G. Effects of allostatic load on the social gradient in ischaemic heart disease and periodontal disease: Evidence from the Third National Health and Nutrition Examination Survey. J. Epidemiol. Community Health 2008, 62, 415–420. [Google Scholar] [CrossRef]
- Mauss, D.; Li, J.; Schmidt, B.; Angerer, P.; Jarczok, M.N. Measuring allostatic load in the workforce—A systematic review. Ind. Health 2014, 53, 5–20. [Google Scholar] [CrossRef] [PubMed] [Green Version]
- Goldbourt, U.; Yaari, S.; Medalie, J.H. Isolated low HDL cholesterol as a risk factor for coronary heart disease mortality: A 21-year follow-up of 8000 men. Arterioscler. Thromb. Vasc. Biol. 1997, 17, 107–113. [Google Scholar] [CrossRef] [Green Version]
- Mahon, N.G.; Blackstone, E.H.; Francis, G.S.; Starling, R.C.; Young, J.B.; Lauer, M.S. The prognostic value of estimated creatinine clearance alongside functional capacity in ambulatory patients with chronic congestive heart failure. J. Am. Coll. Cardiol. 2002, 40, 1106–1113. [Google Scholar] [CrossRef] [Green Version]
- Horwich, T.B.; Kalantar-Zadeh, K.; MacLellan, R.W.; Fonarow, G.C. Albumin levels predict survival in patients with systolic heart failure. Am. Heart J. 2008, 155, 883–889. [Google Scholar] [CrossRef] [PubMed] [Green Version]
- Ackermann, R.T.; Cheng, Y.J.; Williamson, D.F.; Gregg, E.W. Identifying adults at high risk for diabetes and cardiovascular disease using hemoglobin A1c: National Health and Nutrition Examination Survey 2005–2006. Am. J. Prev. Med. 2011, 40, 11–17. [Google Scholar] [CrossRef]
- Navas-Acien, A.; Guallar, E.; Silbergeld, E.K.; Rothenberg, S.J. Lead exposure and cardiovascular disease: A systematic review. Environ. Health Perspect. 2007, 115, 472–482. [Google Scholar] [CrossRef] [Green Version]
- Isomaa, B.; Almgren, P.; Tuomi, T.; Forsen, B.; Lahti, K.; Nissen, M.; Taskinen, M.-R.; Groop, L. Cardiovascular morbidity and mortality associated with the metabolic syndrome. Diabetes Care 2001, 24, 683–689. [Google Scholar] [CrossRef] [Green Version]
- Weverling-Rijnsburger, A.W.; Blauw, G.J.; Lagaay, A.M.; Knock, D.L.; Meinders, A.E.; Westendorp, R.G. Total cholesterol and risk of mortality in the oldest old. Lancet 1997, 350, 1119–1123. [Google Scholar] [CrossRef]
- Centers for Disease Control and Prevention. National Health and Nutrition Examination Survey (NHANES) MEC Laboratory Procedures Manual; CreateSpace Independent Publishing Platform: Scotts Walley, CA, USA, 2013.
- Centers for Disease Control and Prevention. Laboratory Procedure Manual for Perfluoroalkyl and Polyfluoroalkyl Substances (NHANES 2013−2014)(Method No. 6304.06). 2013. Available online: https://wwwn.cdc.gov/nchs/data/nhanes/2013-2014/labmethods/PFAS_H_MET.pdf (accessed on 22 April 2022).
- National Health and Nutrition Examination Survey—CDC. Laboratory Procedure Manual. 2013–2014. Available online: https://www.cdc.gov/nchs/data/nhanes/nhanes_13_14/PFAS_H_MET.pdf (accessed on 22 April 2022).
- Yadav, M.L.; Roychoudhury, B. Handling missing values: A study of popular imputation packages in R. Knowl.Based Syst. 2018, 160, 104–118. [Google Scholar] [CrossRef]
- Akoglu, H. User’s guide to correlation coefficients. Turk. J. Emerg. Med. 2018, 18, 91–93. [Google Scholar] [CrossRef]
- De Castro, A.; Voss, J.G.; Ruppin, A.; Dominguez, C.F.; Seixas, N.S. Stressors among Latino day laborers: A pilot study examining allostatic load. AAOHN J. 2010, 58, 185–196. [Google Scholar] [CrossRef] [PubMed] [Green Version]
- Mauss, D.; Jarczok, M.N.; Fischer, J.E. A streamlined approach for assessing the Allostatic Load Index in industrial employees. Stress 2015, 18, 475–483. [Google Scholar] [CrossRef] [PubMed]
- Mauss, D.; Jarczok, M.N.; Fischer, J.E. The streamlined allostatic load index: A replication of study results. Stress 2016, 19, 553–558. [Google Scholar] [CrossRef]
- Piolanti, A.; Gostoli, S.; Gervasi, J.; Sonino, N.; Guidi, J. A trial integrating different methods to assess psychosocial problems in primary care. Psychother. Psychosom. 2019, 88, 30–36. [Google Scholar] [CrossRef] [PubMed]
- Savransky, A.; Chiappelli, J.; Fisseha, F.; Wisner, K.M.; Xiaoming, D.; Mirmomen, S.M.; Jones, A.D.; Adhikari, B.M.; Bruce, H.A.; Rowland, L.M.; et al. Elevated allostatic load early in the course of schizophrenia. Transl. Psychiatry 2018, 8, 246. [Google Scholar] [CrossRef] [PubMed]
- Guidi, J.; Lucente, M.; Sonino, N.; Fava, G.A. Allostatic load and its impact on health: A systematic review. Psychother. Psychosom. 2021, 90, 11–27. [Google Scholar] [CrossRef]
- Buschmann, R.N.; Prochaska, J.D.; Cutchin, M.P.; Peek, M.K. Stress and health behaviors as potential mediators of the relationship between neighborhood quality and allostatic load. Ann. Epidemiol. 2018, 28, 356–361. [Google Scholar] [CrossRef]
- Juster, R.-P.; Lupien, S. A sex-and gender-based analysis of allostatic load and physical complaints. Gend. Med. 2012, 9, 511–523. [Google Scholar] [CrossRef]
- Obeng-Gyasi, E.; Ferguson, A.C.; Stamatakis, K.A.; Province, M.A. Combined effect of lead exposure and allostatic load on cardiovascular disease mortality—a preliminary study. Int. J. Environ. Res. Public Health 2021, 18, 6879. [Google Scholar] [CrossRef]
- Theorell, T. Regeneration and anabolism: The good perspective. In Handbook of Socioeconomic Determinants of Occupational Health: From Macro-Level to Micro-Level Evidence; Springer: Cham, Switzerland, 2020; pp. 1–13. [Google Scholar]


| PFAS | ||||||||||
|---|---|---|---|---|---|---|---|---|---|---|
| PFDE N = 23,119 | PFBS N = 19,010 | PFHP N = 22,250 | PFDO N = 20,502 | PFNA N = 23,008 | ||||||
| Variable | Mean | SE | Mean | SE | Mean | SE | Mean | SE | Mean | SE |
| * Occupations | ||||||||||
| 1 | 0.165 | 0.018 | 0.070 | <0.001 | 0.087 | 0.005 | 0.078 | 0.002 | 0.450 | 0.070 |
| 2 | 0.208 | 0.039 | 0.074 | 0.004 | 0.099 | 0.012 | 0.079 | 0.004 | 0.888 | 0.437 |
| 3 | 0.133 | 0.013 | 0.070 | <0.001 | 0.097 | 0.006 | 0.082 | 0.004 | 0.381 | 0.055 |
| 4 | 0.158 | 0.012 | 0.071 | 0.001 | 0.090 | 0.003 | 0.079 | 0.002 | 0.468 | 0.063 |
| 5 | 0.174 | 0.020 | 0.070 | <0.001 | 0.092 | 0.003 | 0.082 | 0.003 | 0.432 | 0.031 |
| 6 | 0.170 | 0.020 | 0.070 | <0.001 | 0.096 | 0.005 | 0.081 | 0.003 | 0.461 | 0.047 |
| 7 | 0.144 | 0.019 | 0.070 | <0.001 | 0.086 | 0.003 | 0.077 | 0.002 | 0.378 | 0.060 |
| 8 | 0.144 | 0.007 | 0.070 | <0.001 | 0.095 | 0.004 | 0.079 | 0.003 | 0.431 | 0.033 |
| 9 | 0.166 | 0.016 | 0.070 | <0.001 | 0.102 | 0.010 | 0.077 | 0.001 | 0.537 | 0.075 |
| 10 | 0.136 | 0.011 | 0.070 | <0.001 | 0.095 | 0.006 | 0.076 | 0.001 | 0.377 | 0.043 |
| 11 | 0.143 | 0.009 | 0.070 | <0.001 | 0.089 | 0.003 | 0.076 | 0.001 | 0.371 | 0.026 |
| 12 | 0.154 | 0.021 | 0.070 | <0.001 | 0.093 | 0.010 | 0.078 | 0.003 | 0.453 | 0.103 |
| 13 | 0.140 | 0.010 | 0.070 | <0.001 | 0.094 | 0.005 | 0.078 | 0.002 | 0.425 | 0.047 |
| 14 | 0.139 | 0.010 | 0.070 | <0.001 | 0.091 | 0.004 | 0.077 | 0.001 | 0.396 | 0.039 |
| 15 | 0.165 | 0.010 | 0.071 | 0.001 | 0.100 | 0.003 | 0.079 | 0.001 | 0.507 | 0.046 |
| 16 | 0.148 | 0.004 | 0.070 | <0.001 | 0.090 | 0.001 | 0.079 | 0.001 | 0.414 | 0.017 |
| 17 | 0.154 | 0.019 | 0.074 | 0.004 | 0.104 | 0.011 | 0.080 | 0.002 | 0.488 | 0.090 |
| 18 | 0.139 | 0.009 | 0.070 | <0.001 | 0.094 | 0.004 | 0.079 | 0.001 | 0.356 | 0.023 |
| 19 | 0.133 | 0.010 | 0.070 | <0.001 | 0.090 | 0.004 | 0.077 | 0.001 | 0.376 | 0.035 |
| 20 | 0.181 | 0.042 | 0.070 | <0.001 | 0.103 | 0.012 | 0.087 | 0.007 | 0.438 | 0.112 |
| 21 | 0.162 | 0.013 | 0.070 | <0.001 | 0.088 | 0.004 | 0.080 | 0.002 | 0.443 | 0.030 |
| 22 | 0.196 | 0.021 | 0.070 | <0.001 | 0.096 | 0.007 | 0.079 | 0.002 | 0.652 | 0.082 |
| PFAS | ||||||||
|---|---|---|---|---|---|---|---|---|
| PFOS N = 23,400 | PFUA N = 22,907 | PFOA N = 21,985 | PFHS N = 23,006 | |||||
| Variable | Mean | SE | Mean | SE | Mean | SE | Mean | SE |
| Occupations | ||||||||
| 1 | 4.005 | 0.002 | 0.127 | 0.012 | 0.787 | 0.097 | 0.586 | 0.048 |
| 2 | 6.327 | 0.004 | 0.166 | 0.047 | 1.264 | 0.537 | 0.776 | 0.230 |
| 3 | 4.611 | 0.004 | 0.102 | 0.009 | 0.966 | 0.145 | 1.147 | 0.354 |
| 4 | 3.609 | 0.002 | 0.123 | 0.010 | 0.917 | 0.106 | 0.866 | 0.083 |
| 5 | 4.124 | 0.003 | 0.149 | 0.028 | 1.107 | 0.105 | 0.940 | 0.094 |
| 6 | 3.616 | 0.003 | 0.147 | 0.026 | 0.885 | 0.080 | 0.794 | 0.090 |
| 7 | 2.623 | 0.002 | 0.110 | 0.013 | 0.728 | 0.098 | 0.660 | 0.089 |
| 8 | 2.750 | 0.003 | 0.108 | 0.004 | 0.857 | 0.083 | 0.585 | 0.040 |
| 9 | 3.514 | 0.001 | 0.120 | 0.009 | 1.077 | 0.147 | 0.815 | 0.080 |
| 10 | 2.469 | 0.001 | 0.118 | 0.011 | 0.866 | 0.133 | 0.681 | 0.108 |
| 11 | 2.560 | 0.001 | 0.114 | 0.006 | 0.775 | 0.094 | 0.758 | 0.090 |
| 12 | 2.826 | 0.003 | 0.130 | 0.018 | 0.776 | 0.192 | 0.640 | 0.160 |
| 13 | 2.893 | 0.002 | 0.120 | 0.007 | 0.913 | 0.134 | 0.876 | 0.137 |
| 14 | 2.728 | 0.001 | 0.114 | 0.008 | 0.789 | 0.091 | 0.680 | 0.079 |
| 15 | 3.786 | 0.001 | 0.129 | 0.007 | 1.084 | 0.109 | 0.805 | 0.076 |
| 16 | 2.867 | 0.001 | 0.118 | 0.003 | 0.869 | 0.034 | 0.707 | 0.031 |
| 17 | 4.053 | 0.002 | 0.140 | 0.023 | 1.007 | 0.158 | 0.947 | 0.151 |
| 18 | 2.454 | 0.001 | 0.109 | 0.006 | 0.769 | 0.059 | 0.595 | 0.063 |
| 19 | 3.371 | 0.001 | 0.111 | 0.008 | 0.879 | 0.102 | 0.721 | 0.076 |
| 20 | 2.662 | 0.007 | 0.141 | 0.027 | 0.717 | 0.142 | 0.576 | 0.117 |
| 21 | 3.222 | 0.002 | 0.220 | 0.089 | 0.895 | 0.103 | 1.023 | 0.218 |
| 22 | 6.281 | 0.002 | 0.150 | 0.020 | 1.570 | 0.225 | 1.682 | 0.236 |
| PFAS | ||||||||||
|---|---|---|---|---|---|---|---|---|---|---|
| PFDE | PFBS | PFHP | PFDO | PFNA | ||||||
| Variable | Mean | SE | Mean | SE | Mean | SE | Mean | SE | Mean | SE |
| Allostatic Load | ||||||||||
| Low | 0.146 | 0.003 | 0.070 | 0.000 | 0.090 | 0.001 | 0.079 | 0.001 | 0.425 | 0.020 |
| High | 0.154 | 0.004 | 0.070 | 0.000 | 0.093 | 0.002 | 0.079 | 0.001 | 0.428 | 0.016 |
| PFAS | ||||||||
|---|---|---|---|---|---|---|---|---|
| PFOS | PFUA | PFOA | PFHS | |||||
| Variable | Mean | SE | Mean | SE | Mean | SE | Mean | SE |
| Allostatic Load | ||||||||
| Low | 3.010 | 0.173 | 0.119 | 0.005 | 0.835 | 0.030 | 0.733 | 0.029 |
| High | 3.138 | 0.153 | 0.125 | 0.005 | 0.929 | 0.035 | 0.751 | 0.032 |
| PFAS | Coeff | 95% CI | p-Value |
|---|---|---|---|
| PFDE | −0.0083 | (−0.291, 1.010) | 0.427 |
| PFBS | 0.3188 | (−0.012, 0.337) | 0.280 |
| PFHP | −0.0432 | (−4.823, 1.298) | 0.513 |
| PFDO | 0.0639 | (−0.362, 0.891) | 0.444 |
| PFNA | 0.0115 | (−2.421, 0.520) | 0.022 |
| PFOS | 0.0006 | (0.921, 5.530) | 0.428 |
| PFUA | −0.0146 | (−0.156, 0.554) | 0.109 |
| PFOA | −0.0128 | (−0.005, 1.833) | 0.001 |
| PFHS | 0.0009 | (−0.025, 1.052) | 0.641 |
| Family income | −0.0006 | (0.001, 0.006) | <0.0001 |
| * Occupations | |||
| 1 | 0.0525 | (−0.486, 0.116) | 0.215 |
| 2 | 0.0620 | (−0.767, 0.235) | 0.225 |
| 3 | −0.0230 | (−0.556, 0.467) | 0.640 |
| 4 | 0.0502 | (−0.496, 0.114) | 0.118 |
| 5 | 0.0338 | (−0.37, 0.190) | 0.331 |
| 6 | 0.0451 | (−0.544, 0.148) | 0.226 |
| 7 | 0.0530 | (−0.552, 0.211) | 0.205 |
| 8 | −0.0332 | (−0.065, 0.435) | 0.294 |
| 9 | 0.0739 | (−0.498, 0.234) | 0.049 |
| 10 | −0.0334 | (−0.158, 0.604) | 0.439 |
| 11 | 0.0310 | (−0.398, 0.249) | 0.418 |
| 12 | 0.0308 | (−0.533, 0.474) | 0.579 |
| 13 | −0.0100 | (−0.215, 0.522) | 0.794 |
| 14 | 0.0267 | (−0.272, 0.319) | 0.438 |
| 15 | −0.0013 | (−0.343, 0.241) | 0.935 |
| 16 | −0.0283 | (−0.087, 0.370) | 0.260 |
| 17 | −0.1148 | (0.223, 0.973) | 0.002 |
| 18 | −0.0214 | (−0.242, 0.400) | 0.527 |
| 19 | −0.0095 | (−0.332, 0.336) | 0.784 |
| 20 | 0.0439 | (−0.389, 0.468) | 0.305 |
| 21 | 0.0841 | (−0.726, −0.085) | 0.018 |
| 22 | 0.0094 | (−0.475, 0.337) | 0.865 |
| PFHS | PFDE | PFBS | PFHP | PFDO | PFNA | PFUA | PFOA | PFOS | |
|---|---|---|---|---|---|---|---|---|---|
| PFHS | 1.000 | 0.196 | 0.069 | 0.341 | 0.168 | 0.404 | 0.112 | 0.516 | 0.539 |
| PFDE | 0.196 | 1.000 | 0.022 | 0.161 | 0.807 | 0.362 | 0.792 | 0.240 | 0.447 |
| PFBS | 0.069 | 0.022 | 1.000 | 0.051 | 0.010 | 0.046 | 0.009 | 0.068 | 0.055 |
| PFHP | 0.341 | 0.161 | 0.051 | 1.000 | 0.245 | 0.344 | 0.068 | 0.567 | 0.436 |
| PFDO | 0.168 | 0.807 | 0.010 | 0.245 | 1.000 | 0.234 | 0.743 | 0.191 | 0.343 |
| PFNA | 0.404 | 0.362 | 0.046 | 0.344 | 0.234 | 1.000 | 0.260 | 0.542 | 0.566 |
| PFUA | 0.112 | 0.792 | 0.009 | 0.068 | 0.743 | 0.260 | 1.000 | 0.115 | 0.231 |
| PFOA | 0.516 | 0.240 | 0.068 | 0.567 | 0.191 | 0.542 | 0.115 | 1.000 | 0.674 |
| PFOS | 0.539 | 0.447 | 0.055 | 0.436 | 0.343 | 0.566 | 0.231 | 0.674 | 1.000 |
| PFAS | Coeff | 95% CI | p-Value |
|---|---|---|---|
| PFDE | −0.012 | (−0.593, 0.557) | 0.102 |
| PFBS | −14.586 | (−22.159, 0.100) | <0.0001 |
| PFHP | 0.011 | (−1.452, 0.552) | 0.283 |
| PFDO | −0.452 | (−2.742, 0.132) | 0.054 |
| PFNA | 0.023 | (−0.108, 1.072) | 0.144 |
| PFOS | −0.003 | (−0.009, 5.004) | 0.138 |
| PFUA | −0.024 | (−0.343, 0.413) | 0.245 |
| PFOA | 0.003 | (−0.055, 0.162) | 0.561 |
| PFHS | 0.004 | (−0.055, 0.951) | 0.037 |
| Occupation | −0.068 | (−0.028, 0.0154) | 0.022 |
| 1 AL: PFDE | 0.006 | (−0.713, 0.848) | 0.119 |
| AL: PFBS | 3.724 | (−8.595, 6.708) | <0.0001 |
| AL: PFHP | −0.012 | (−1.998, 2.085) | 0.441 |
| AL: PFDO | 0.148 | (−3.451, 4.131) | 0.048 |
| AL: PFNA | −0.005 | (−0.176, 0.233) | 0.129 |
| AL: PFOS | 0.0005 | (−0.030, 0.201) | 0.155 |
| AL: PFUA | 0.0006 | (−0.600, 0.449) | 0.199 |
| AL: PFOA | −0.001 | (−0.008, 0.091) | 0.922 |
| AL: PFHS | −0.001 | (−0.007, 0.061) | 0.055 |
| AL: Occupation | 0.018 | (0.060, 0.065) | 0.023 |
| 2 AL: PFDE: Occupation | −0.001 | (−0.040, 0.032) | 0.4224 |
| AL: PFBS: Occupation | −0.237 | (−0.905, 0.769) | <0.0001 |
| AL: PFHP: Occupation | 0.0006 | (−0.128, 0.112) | 0.890 |
| AL: PFDO: Occupation | −0.007 | (−0.228, 0.186) | 0.0387 |
| AL: PFNA: Occupation | 0.0003 | (−0.002, 0.042) | 0.2073 |
| AL: PFOS: Occupation | −0.00006 | (−0.011, 0.021) | 0.2414 |
| AL: PFUA: Occupation | 0.0008 | (−0.001, 0.012) | 0.0953 |
| AL: PFOA: Occupation | 0.0003 | (−0.083, 0.503) | 0.1525 |
| AL: PFHS: Occupation | 0.00001 | (−0.021, 0.104) | 0.1828 |
Publisher’s Note: MDPI stays neutral with regard to jurisdictional claims in published maps and institutional affiliations. |
© 2022 by the authors. Licensee MDPI, Basel, Switzerland. This article is an open access article distributed under the terms and conditions of the Creative Commons Attribution (CC BY) license (https://creativecommons.org/licenses/by/4.0/).
Share and Cite
Bashir, T.; Obeng-Gyasi, E. Interaction of Per- and Polyfluoroalkyl Substances and Allostatic Load among Adults in Various Occupations. Diseases 2022, 10, 26. https://doi.org/10.3390/diseases10020026
Bashir T, Obeng-Gyasi E. Interaction of Per- and Polyfluoroalkyl Substances and Allostatic Load among Adults in Various Occupations. Diseases. 2022; 10(2):26. https://doi.org/10.3390/diseases10020026
Chicago/Turabian StyleBashir, Tahir, and Emmanuel Obeng-Gyasi. 2022. "Interaction of Per- and Polyfluoroalkyl Substances and Allostatic Load among Adults in Various Occupations" Diseases 10, no. 2: 26. https://doi.org/10.3390/diseases10020026
APA StyleBashir, T., & Obeng-Gyasi, E. (2022). Interaction of Per- and Polyfluoroalkyl Substances and Allostatic Load among Adults in Various Occupations. Diseases, 10(2), 26. https://doi.org/10.3390/diseases10020026

