Performance Analysis of Cooperative Sensing over Time-Correlated Rayleigh Channels in Vehicular Environments
Abstract
1. Introduction
1.1. Related Work
1.2. Contributions
1.3. Organization and Notation
2. System Description
2.1. Network Model
- Step 1:
- Each SVU senses the PU by means of energy detector in the local sensing slot, and then sends their local information (energy statistics or binary decisions) to the nearby FC through the control channel in the reporting slot.
- Step 2:
- The FC receives the local information and combines them to reach a global decision on the availability of licensed bands for future passing SVUs.
- Step 3:
- If the absence of the PU is recognized, the FC feeds back the transmission ACK to all the SVUs in the current cell, and thus the SVUs can send data in the transmission slot.
- Step 4:
- Or else, if the PU is detected, the FC feeds back the stop ACK to the SVUs, and thus the SVUs wait for the next sensing cycle.
2.2. Sensing Channel Model
- :
- For smaller values of , the channel is quasi-static (at least, during a sensing period of time).
- :
- When is small , the channel is time-correlated.
- :
- For larger values of , the channel is completely random time-varying.
2.3. Local Sensing Model
2.4. Cooperative Sensing Model
3. Performance Analysis
3.1. False Alarm and Detection for ED-Based Local Sensing
3.2. False Alarm and Detection for SF-Based Cooperative Sensing
3.3. False Alarm and Detection for HF-Based Cooperative Sensing
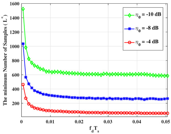
4. Performance Evaluation
5. Conclusions and Future Work
Author Contributions
Funding
Conflicts of Interest
References
- Karagiannis, G.; Altintas, O.; Ekici, E.; Heijenk, G.; Jarupan, B.; Lin, K.; Weil, T. Vehicular networking: A survey and tutorial on requirements, architectures, challenges, standards and solutions. IEEE Commun. Surv. Tutor. 2011, 13, 584–616. [Google Scholar] [CrossRef]
- Haykin, S. Cognitive radio: Brain-empowered wireless communications. IEEE J. Sel. Areas Commun. 2005, 23, 201–220. [Google Scholar] [CrossRef]
- Singh, K.D.; Rawat, P.; Bonnin, J. Cognitive radio for vehicular ad hoc networks (CR-VANETs): Approaches and challenges. EURASIP J. Wirel. Commun. Netw. 2014, 2014, 49. [Google Scholar] [CrossRef]
- Ali, A.; Hamouda, W. Advances on spectrum sensing for cognitive radio networks: Theory and applications. IEEE Commun. Surv. Tutor. 2017, 19, 1277–1304. [Google Scholar] [CrossRef]
- Awin, F.; Abdel-Raheem, E.; Tepe, K. Blind spectrum sensing approaches for interweaved cognitive radio system: A tutorial and short course. IEEE Commun. Surv. Tutor. 2019, 21, 238–259. [Google Scholar] [CrossRef]
- Arjoune, Y.; Kaabouch, N. A comprehensive survey on spectrum sensing in cognitive radio networks: Recent advances, new challenges, and future research directions. Sensors 2019, 19, 126. [Google Scholar] [CrossRef] [PubMed]
- Akyildiz, I.; Lo, B.; Balakrishnan, R. Cooperative spectrum sensing in cognitive radio networks: A survey. Phys. Commun. 2011, 4, 40–62. [Google Scholar] [CrossRef]
- Cichon, K.; Kliks, A.; Bogucka, H. Energy-efficient cooperative spectrum sensing: A survey. IEEE Commun. Surv. Tutor. 2016, 18, 1861–1886. [Google Scholar] [CrossRef]
- Kremo, H.; Altintas, O. On detecting spectrum opportunities for cognitive vehicular networks in the TV white space. J. Sign. Process. Syst. 2013, 73, 243–254. [Google Scholar] [CrossRef]
- Min, A.W.; Shin, K.G. Impact of mobility on spectrum sensing in cognitive radio networks. In Proceedings of the ACM Workshop on Cognitive Radio Network (CoRoNet), Beijing, China, 21 September 2009; pp. 13–18. [Google Scholar]
- Gao, N.; Jing, X.; Huang, H.; Mu, J. Robust collaborative spectrum sensing using PHY-layer fingerprints in mobile cognitive radio networks. IEEE Commun. Lett. 2017, 21, 1063–1066. [Google Scholar] [CrossRef]
- Wang, X.Y.; Ho, P.H. A novel sensing coordination framework for CR-VANETs. IEEE Trans. Veh. Technol. 2010, 59, 1936–1948. [Google Scholar] [CrossRef]
- Xu, Y.; Cheng, P.; Chen, Z.; Li, Y.; Vucetic, B. Mobile collaborative spectrum sensing for heterogeneous networks: A bayesian machine learning approach. IEEE Trans. Signal Process. 2018, 66, 5634–5647. [Google Scholar] [CrossRef]
- Salahdine, F.; Ghribi, E.; Kaabouch, N. A cooperative spectrum sensing scheme based on compressive sensing for cognitive radio networks. Int. J. Digit. Inf. Wirel. Commun. (IJDIWC) 2019, 9, 124–136. [Google Scholar]
- Aygun, B.; Wyglinski, A.M. A voting based distributed cooperative spectrum sensing strategy for connected vehicles. IEEE Trans. Veh. Technol. 2017, 66, 5109–5121. [Google Scholar] [CrossRef]
- Hill, E.; Sun, H. Double threshold spectrum sensing methods in spectrum-scarce vehicular communications. IEEE Trans. Ind. Inform. 2018, 14, 4072–4080. [Google Scholar] [CrossRef]
- Paul, A.; Kunarapu, P.; Banerjee, A.; Maity, S. Spectrum sensing in cognitive vehicular networks for uniform mobility model. IET Commun. 2019, 9, 1–17. [Google Scholar] [CrossRef]
- Bera, D.; Chakrabarti, I.; Pathak, S.S.; Karagiannidis, G.K. Another look in the analysis of cooperative spectrum sensing over nakagami-m fading channels. IEEE Trans. Wirel. Commun. 2017, 16, 856–871. [Google Scholar] [CrossRef]
- Souid, I.; Chikha, H.B.; Attia, R. Blind spectrum sensing in cognitive vehicular ad hoc networks over Nakagami-m fading channels. In Proceedings of the IEEE International Conference on Electrical Sciences and Technologies in Maghreb (CISTEM), Tunis, Tunisia, 3–6 November 2014; pp. 1–5. [Google Scholar]
- Balam, S.K.; Siddaiah, P.; Nallagonda, S. Performance analysis of decision/data fusion-aided cooperative cognitive radio network over generalized fading channel. IEEE Trans. Aerosp. Electr. Syst. 2019, 55, 2269–2276. [Google Scholar] [CrossRef]
- Nallagonda, S.; Kumar, G.K.; Nallagonda, A.K. A comprehensive performance analysis of data-fusion aided cooperative cognitive radio network over η-μ fading channel. IET Commun. 2019, 13, 2558–2566. [Google Scholar] [CrossRef]
- Chembe, C.; Noor, R.M.; Ahmedy, I.; Oche, M.; Kunda, D.; Liu, C.H. Spectrum sensing in cognitive vehicular network: State-of-art, challenges and open issues. Comput. Commun. 2017, 97, 15–30. [Google Scholar] [CrossRef]
- Jakes, W.C. Microwave Mobile Communications; Wiley: New York, NY, USA, 1974. [Google Scholar]
- Gradshteyn, I.; Ryzhik, I. Table of Integrals, Series, and Products; Academic: San Diego, CA, USA, 2007. [Google Scholar]
- Manesh, M.R.; Apu, M.S.; Kaabouch, N.; Hu, W. Performance evaluation of spectrum sensing techniques for cognitive radio systems. In Proceedings of the 2016 IEEE 7th Annual Ubiquitous Computing, Electronics & Mobile Communication Conference (UEMCON), New York, NY, USA, 20–22 October 2016; pp. 1–7. [Google Scholar]
- Li, B.; Zhao, C.; Sun, M.; Zhou, Z.; Nallanathan, A. Spectrum sensing for cognitive radios in time-variant flat-fading channels: A joint estimation Approach. IEEE Trans. Commun. 2014, 62, 2665–2680. [Google Scholar] [CrossRef]
- Atapattu, S.; Tellambura, C.; Jiang, H. Energy detection based cooperative spectrum sensing in cognitive radio networks. IEEE Trans. Wirel. Commun. 2011, 10, 1232–1241. [Google Scholar] [CrossRef]
- Wonseok, C.; Moon-Gun, S.; Jaeha, A.; Gi-Hong, I. Soft combining for cooperative spectrum sensing over fast-fading channels. IEEE Commun. Lett. 2014, 18, 193–196. [Google Scholar]
- Guo, H.; Reisi, N.; Jiang, W.; Luo, W. Soft combination for cooperative spectrum sensing in fading channels. IEEE Access 2017, 5, 975–986. [Google Scholar] [CrossRef]
- Peh, E.C.Y.; Liang, Y.-C.; Guan, Y.L.; Zeng, Y. Cooperative spectrum sensing in cognitive radio networks with weighted decision fusion schemes. IEEE Trans. Wirel. Commun. 2010, 9, 3838–3847. [Google Scholar] [CrossRef]
- Nardelli, P.H.J.; Ramezanipour, I.; Alves, H. Average error probability in wireless sensor networks with imperfect sensing and communication for different decision rules. IEEE Sens. J. 2016, 16, 3948–3957. [Google Scholar] [CrossRef]
- Bae, S.; So, J.; Kim, H. On optimal cooperative sensing with energy detection in cognitive radio. Sensors 2017, 17, 2111. [Google Scholar]
- Juboori, S.A.; Hussain, S.J.; Fernando, X. Cognitive spectrum sensing with multiple primary users in Rayleigh fading channels. Electronics 2014, 3, 553–563. [Google Scholar] [CrossRef]
- Nuttall, A.H. Some integrals involving the QM function. IEEE Trans. Inf. Theory 1975, 21, 95–96. [Google Scholar] [CrossRef]
- Peebles, P.Z.; Shi, B.E. Probability, Random Variables, and Random Signal Principles; McGraw-Hill: New York, NY, USA, 2001. [Google Scholar]











| Parameters | Semantic Meaning | Value |
|---|---|---|
| K | the number of samples | 50 |
| N | the number of SVUs | 20 |
| the average SNR measured at the SVU | −8 dB | |
| the PU transmitted power | 1 | |
| the normalized Doppler shift | 0.01 | |
| the parameter of threshold for hard fusion | 0.5 | |
| the desired probability of false alarm | 0.1 |
© 2020 by the authors. Licensee MDPI, Basel, Switzerland. This article is an open access article distributed under the terms and conditions of the Creative Commons Attribution (CC BY) license (http://creativecommons.org/licenses/by/4.0/).
Share and Cite
Qian, X.; Hao, L. Performance Analysis of Cooperative Sensing over Time-Correlated Rayleigh Channels in Vehicular Environments. Electronics 2020, 9, 1004. https://doi.org/10.3390/electronics9061004
Qian X, Hao L. Performance Analysis of Cooperative Sensing over Time-Correlated Rayleigh Channels in Vehicular Environments. Electronics. 2020; 9(6):1004. https://doi.org/10.3390/electronics9061004
Chicago/Turabian StyleQian, Xiaomin, and Li Hao. 2020. "Performance Analysis of Cooperative Sensing over Time-Correlated Rayleigh Channels in Vehicular Environments" Electronics 9, no. 6: 1004. https://doi.org/10.3390/electronics9061004
APA StyleQian, X., & Hao, L. (2020). Performance Analysis of Cooperative Sensing over Time-Correlated Rayleigh Channels in Vehicular Environments. Electronics, 9(6), 1004. https://doi.org/10.3390/electronics9061004

