In-Band Full-Duplex Relaying for SWIPT-Enabled Cognitive Radio Networks
Abstract
1. Introduction
2. System Model and Problem Formulation
2.1. Information and Power Transfer Model
2.2. Achievable Rates and Problem Formulation
3. Proposed Solution for SRM Problem
3.1. Tractable Formulation for SRM Problem
3.2. Proposed Iterative Algorithm
- Consider the function . It can be seen that is convex, since its Hessian is a positive definite matrix. According to [6], we can obtain an upper bound of around the point () as:where:
- Similarly, an upper bound of a convex function around the point () can be found as:
| Algorithm 1 Proposed iterative algorithm for solving Problem (14). |
|
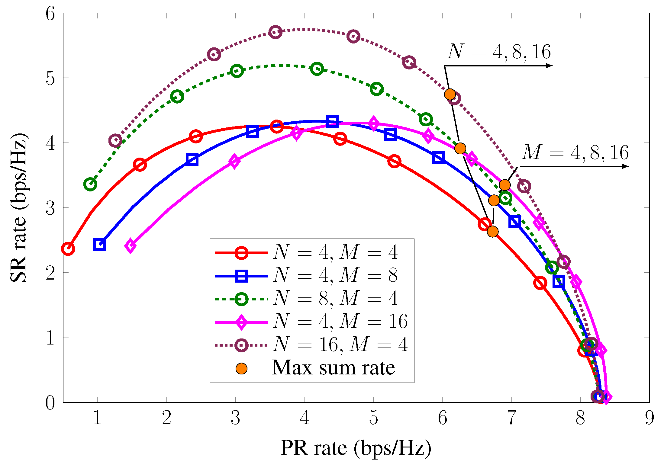
4. Numerical Results
5. Conclusions
Author Contributions
Funding
Conflicts of Interest
Appendix A. Proof of Theorem 1
References
- Sabharwal, A.; Schniter, P.; Guo, D.; Bliss, D.W.; Rangarajan, S.; Wichman, R. In-band full-duplex wireless: Challenges and opportunities. IEEE J. Sel. Areas Commun. 2014, 32, 1637–1652. [Google Scholar] [CrossRef]
- Yadav, A.; Tsiropoulos, G.I.; Dobre, O.A. Full-Duplex Communications: Performance in Ultradense mm-Wave Small-Cell Wireless Networks. IEEE Veh. Technol. Mag. 2018, 13, 40–47. [Google Scholar] [CrossRef]
- Nguyen, D.; Tran, L.N.; Pirinen, P.; Latva-aho, M. On the spectral efficiency of full-duplex small cell wireless systems. IEEE Trans. Wirel. Commun. 2014, 13, 4896–4910. [Google Scholar] [CrossRef]
- Tam, H.H.M.; Tuan, H.D.; Ngo, D.T. Successive Convex Quadratic Programming for Quality-of-Service Management in Full-Duplex MU-MIMO Multicell Networks. IEEE Trans. Commun. 2016, 64, 2340–2353. [Google Scholar] [CrossRef]
- Nguyen, V.D.; Nguyen, H.V.; Nguyen, C.T.; Shin, O.S. Spectral Efficiency of Full-Duplex Multiuser System: Beamforming Design, User Grouping, and Time Allocation. IEEE Access 2017, 5, 5785–5797. [Google Scholar] [CrossRef]
- Nguyen, H.V.; Nguyen, V.D.; Dobre, O.A.; Wu, Y.; Shin, O.S. Joint antenna array mode selection and user assignment for full-duplex MU-MISO systems. IEEE Trans. Wirel. Commun. 2019, 18, 2946–2963. [Google Scholar] [CrossRef]
- Yang, K.; Cui, H.; Song, L.; Li, Y. Efficient Full-Duplex Relaying With Joint Antenna-Relay Selection and Self-Interference Suppression. IEEE Trans. Wirel. Commun. 2015, 14, 3991–4005. [Google Scholar] [CrossRef]
- Yu, B.; Yang, L.; Cheng, X.; Cao, R. Power and Location Optimization for Full-Duplex Decode-and-Forward Relaying. IEEE Trans. Commun. 2015, 63, 4743–4753. [Google Scholar] [CrossRef]
- Haykin, S.; Setoodeh, P. Cognitive Radio Networks: The Spectrum Supply Chain Paradigm. IEEE Trans. Cogn. Commun. Netw. 2015, 1, 3–28. [Google Scholar] [CrossRef]
- Nguyen, H.V.; Nguyen, V.-D.; Kim, H.M.; Shin, O.-S. A Convex optimization for sum rate maximization in a MIMO cognitive radio network. In Proceedings of the 2016 Eighth International Conference on Ubiquitous and Future Networks (ICUFN), Vienna, Austria, 5–8 July 2016; pp. 495–497. [Google Scholar]
- Erdogan, E.; Afana, A.; Ikki, S.; Yanikomeroglu, H. Antenna Selection in MIMO Cognitive AF Relay Networks with Mutual Interference and Limited Feedback. IEEE Commun. Lett. 2017, 21, 1111–1114. [Google Scholar] [CrossRef]
- Zheng, G.; Krikidis, I.; Ottersten, B. Full-Duplex Cooperative Cognitive Radio with Transmit Imperfections. IEEE Trans. Wirel. Commun. 2013, 12, 2498–2511. [Google Scholar] [CrossRef]
- Mohammadi, M.; Chalise, B.K.; Hakimi, A.; Mobini, Z.; Suraweera, H.A.; Ding, Z. Beamforming Design and Power Allocation for Full-Duplex Non-Orthogonal Multiple Access Cognitive Relaying. IEEE Trans. Commun. 2018, 66, 5952–5965. [Google Scholar] [CrossRef]
- Ali, B.; Mirza, J.; Zhang, J.; Zheng, G.; Saleem, S.; Wong, K. Full-Duplex Amplify-and-Forward Relay Selection in Cooperative Cognitive Radio Networks. IEEE Trans. Veh. Technol. 2019, 68, 6142–6146. [Google Scholar] [CrossRef]
- Lee, S.; Zhang, R.; Huang, K. Opportunistic wireless energy harvesting in cognitive radio networks. IEEE Trans. Wirel. Commun. 2013, 12, 4788–4799. [Google Scholar] [CrossRef]
- Shi, Q.; Liu, L.; Xu, W.; Zhang, R. Joint transmit beamforming and receive power splitting for MISO SWIPT systems. IEEE Trans. Wirel. Commun. 2014, 13, 3269–3280. [Google Scholar] [CrossRef]
- Khandaker, M.; Wong, K.K. SWIPT in MISO Multicasting Systems. IEEE Wirel. Commun. Lett. 2014, 3, 277–280. [Google Scholar] [CrossRef]
- Bhowmick, A.; Yadav, K.; Roy, S.D.; Kundu, S. Throughput of an Energy Harvesting Cognitive Radio Network Based on Prediction of Primary User. IEEE Trans. Veh. Technol. 2017, 66, 8119–8128. [Google Scholar] [CrossRef]
- Ponnimbaduge Perera, T.D.; Jayakody, D.N.K.; Sharma, S.K.; Chatzinotas, S.; Li, J. Simultaneous Wireless Information and Power Transfer (SWIPT): Recent Advances and Future Challenges. IEEE Commun. Surv. Tutor. 2018, 20, 264–302. [Google Scholar] [CrossRef]
- Gao, Y.; He, H.; Deng, Z.; Zhang, X. Cognitive Radio Network with Energy-Harvesting Based on Primary and Secondary User Signals. IEEE Access 2018, 6, 9081–9090. [Google Scholar] [CrossRef]
- Zhai, D.; Zhang, R.; Du, J.; Ding, Z.; Yu, F.R. Simultaneous Wireless Information and Power Transfer at 5G New Frequencies: Channel Measurement and Network Design. IEEE J. Sel. Areas Commun. 2019, 37, 171–186. [Google Scholar] [CrossRef]
- Nguyen, V.D.; Duong, T.Q.; Tuan, H.D.; Shin, O.S.; Poor, H.V. Spectral and Energy Efficiencies in Full-Duplex Wireless Information and Power Transfer. IEEE Trans. Commun. 2017, 65, 2220–2233. [Google Scholar] [CrossRef]
- Bhowmick, A.; Roy, S.D.; Kundu, S. Throughput of a Cognitive Radio Network with Energy-Harvesting Based on Primary User Signal. IEEE Wirel. Commun. Lett. 2016, 5, 136–139. [Google Scholar] [CrossRef]
- Xing, H.; Kang, X.; Wong, K.; Nallanathan, A. Optimizing DF Cognitive Radio Networks With Full-Duplex-Enabled Energy Access Points. IEEE Trans. Wirel. Commun. 2017, 16, 4683–4697. [Google Scholar] [CrossRef]
- Riihonen, T.; Werner, S.; Wichman, R. Mitigation of loopback self-interference in full-duplex MIMO relays. IEEE Trans. Signal Process. 2011, 59, 5983–5993. [Google Scholar] [CrossRef]
- Duarte, M.; Dick, C.; Sabharwal, A. Experiment-driven characterization of full-duplex wireless systems. IEEE Trans. Wirel. Commun. 2012, 11, 4296–4307. [Google Scholar] [CrossRef]
- Nguyen, V.D.; Nguyen, H.V.; Dobre, O.A.; Shin, O.S. A New Design Paradigm for Secure Full-Duplex Multiuser Systems. IEEE J. Sel. Areas Commun. 2018, 36, 1480–1498. [Google Scholar] [CrossRef]
- Bhowmick, A.; Chatterjee, A.; Verma, T. Performance of DF Relaying in an Energy Harvesting Full Duplex Cognitive Radio Network. In Proceedings of the 2019 International Conference on Vision Towards Emerging Trends in Communication and Networking (ViTECoN), Vellore, India, 30–31 March 2019; pp. 1–4. [Google Scholar]
- Korpi, D.; Heino, M.; Icheln, C.; Haneda, K.; Valkama, M. Compact Inband Full-Duplex Relays With Beyond 100 dB Self-Interference Suppression: Enabling Techniques and Field Measurements. IEEE Trans. Antennas Propag. 2017, 65, 960–965. [Google Scholar] [CrossRef]
- 3GPP Technical Specification Group Radio Access Network, Evolved Universal Terrestrial Radio Access (E-UTRA): Further Advancements for E-UTRA Physical Layer Aspects (Release 9); Document 3GPP TS 36.814 V9.0.0; 3GPP: Valbonne, France, 2010.





© 2020 by the authors. Licensee MDPI, Basel, Switzerland. This article is an open access article distributed under the terms and conditions of the Creative Commons Attribution (CC BY) license (http://creativecommons.org/licenses/by/4.0/).
Share and Cite
Nguyen, H.V.; Nguyen, V.-D.; Shin, O.-S. In-Band Full-Duplex Relaying for SWIPT-Enabled Cognitive Radio Networks. Electronics 2020, 9, 835. https://doi.org/10.3390/electronics9050835
Nguyen HV, Nguyen V-D, Shin O-S. In-Band Full-Duplex Relaying for SWIPT-Enabled Cognitive Radio Networks. Electronics. 2020; 9(5):835. https://doi.org/10.3390/electronics9050835
Chicago/Turabian StyleNguyen, Hieu V., Van-Dinh Nguyen, and Oh-Soon Shin. 2020. "In-Band Full-Duplex Relaying for SWIPT-Enabled Cognitive Radio Networks" Electronics 9, no. 5: 835. https://doi.org/10.3390/electronics9050835
APA StyleNguyen, H. V., Nguyen, V.-D., & Shin, O.-S. (2020). In-Band Full-Duplex Relaying for SWIPT-Enabled Cognitive Radio Networks. Electronics, 9(5), 835. https://doi.org/10.3390/electronics9050835

