Inductive Power Transmission for Wearable Textile Heater using Series-None Topology
Abstract
1. Introduction
2. System Modeling
2.1. Circuit Analysis of SS and SN modes
2.2. PTE and PDL Properties in SS and SN Modes
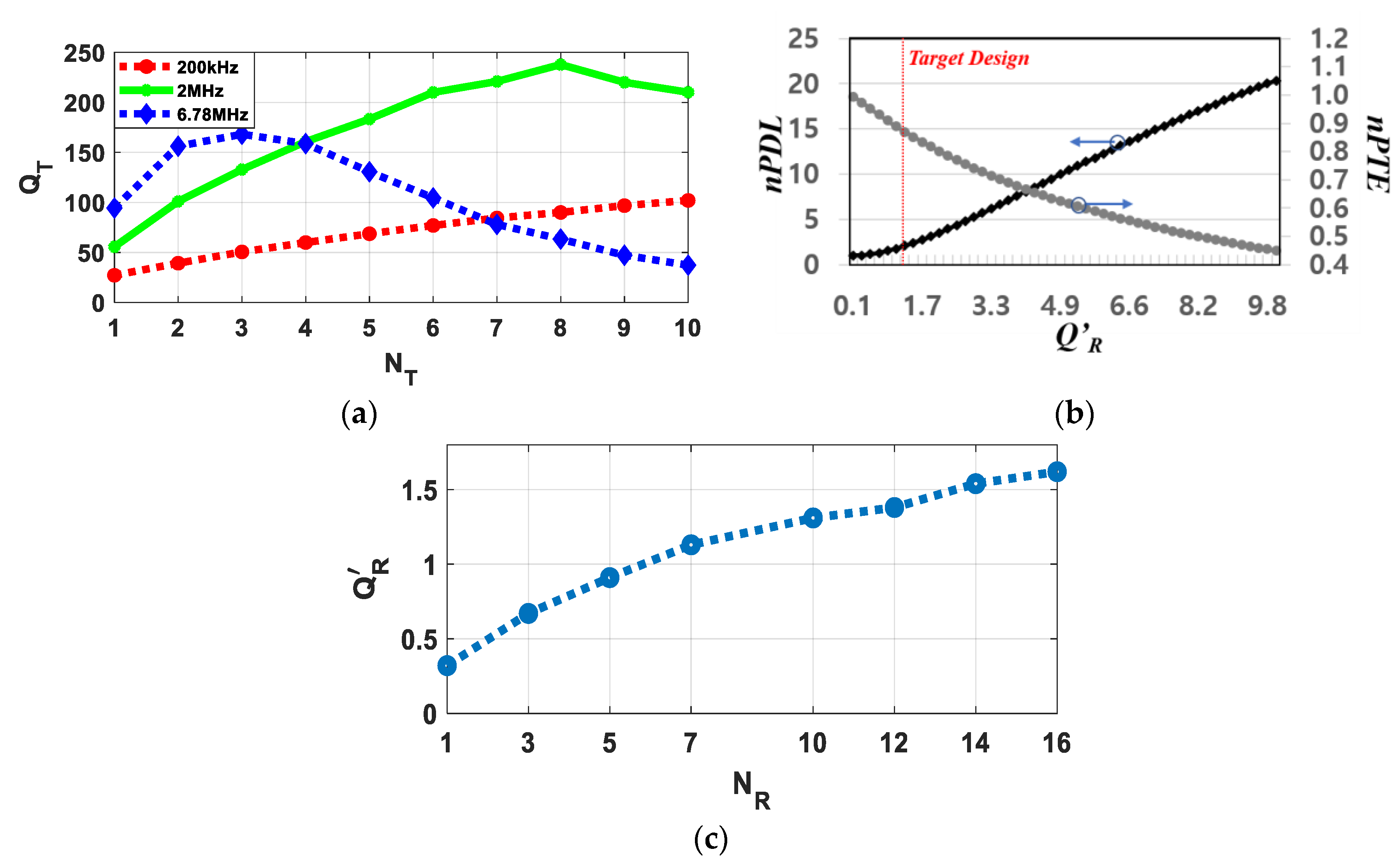
2.3. Coil Design for Wearable Textile Heater
3. Experiment Results
4. Conclusions
Author Contributions
Funding
Conflicts of Interest
References
- Hong, S.; Lee, H.; Lee, J.; Kwon, J.; Han, S.; Suh, Y.D.; Cho, H.; Shin, J.; Yeo, J.; Ko, S.H. Highly stretchable and transparent metal nanowire heater for wearable electronics applications. Adv. Mater. 2015, 27, 4744–4751. [Google Scholar] [CrossRef] [PubMed]
- Choi, S.; Park, J.; Hyun, W.; Kim, J.; Kim, J.; Lee, Y.B.; Song, C.; Hwang, H.J.; Kim, J.H.; Hyeon, T.; et al. Stretchable heater using ligand-exchanged silver nanowire nanocomposite for wearable articular thermotherapy. ACS Nano 2015, 9, 6626–6633. [Google Scholar] [CrossRef] [PubMed]
- Zhang, M.; Wang, C.; Liang, X.; Yin, Z.; Xia, K.; Wang, H.; Jian, M.; Zhang, Y. Weft-Knitted Fabric for a Highly Stretchable and Low-Voltage Wearable Heater. Adv. Electron. Mater. 2017, 3, 1700193. [Google Scholar] [CrossRef]
- Liu, C.; Jiang, C.; Qiu, C. Overview of coil designs for wireless charging of electric vehicle. In Proceedings of the 2017 IEEE PELS Workshop on Emerging Technologies: Wireless Power Transfer (WoW), Chongqing, China, 20–22 May 2017; pp. 1–6. [Google Scholar]
- Jia, Y.; Mirbozorgi, S.A.; Lee, B.; Khan, W.; Madi, F.; Weber, A.; Li, W.; Ghovanloo, M. A mm-Sized Free-Floating Wirelessly-Powered Implantable Optical Stimulation Device. IEEE Trans. Biomed. Circuits Syst. 2019, 13, 608–618. [Google Scholar] [CrossRef]
- Lee, B.; Ahn, D. Robust Self-Regulated Rectifier for Parallel-Resonant Rx Coil in Multiple-Receiver Wireless Power Transmission System. IEEE J. Emerg. Sel. Top. Power Electron. 2019. [Google Scholar] [CrossRef]
- Lee, B.; Yeon, P.; Ghovanloo, M. A multi-cycle Q-modulation for dynamic optimization of inductive links. IEEE Trans. Ind. Electron. 2016, 63, 5091–5100. [Google Scholar] [CrossRef] [PubMed]
- Zhang, Z.; Pang, H.; Georgiadis, A.; Cecati, C. Wireless power transfer—An overview. IEEE Trans. Ind. Electron. 2018, 66, 1044–1058. [Google Scholar] [CrossRef]
- Sample, A.P.; Meyer, D.T.; Smith, J.R. Analysis, experimental results, and range adaptation of magnetically coupled resonators for wireless power transfer. IEEE Trans. Ind. Electron. 2011, 58, 544–554. [Google Scholar] [CrossRef]
- Monti, G.; Costanzo, A.; Mastri, F.; Monglardo, M. Optimal design of a wireless power transfer link using parallel and series resonators. Wirel. Power Transf. 2016, 3, 105–116. [Google Scholar] [CrossRef]
- Hu, A.P.; Hussmann, S. Improved power flow control for contactless moving sensor applications. IEEE Power Electron. Lett. 2004, 2, 135–138. [Google Scholar] [CrossRef]
- Monti, G.; Mastri, F.; Mongiardo, M.; Corchia, L.; Tarricone, L. Load-Independent Operative Regime for Inductive Resonant WPT Link in Parallel Configuration. IEEE Trans. Microw. Theory Technol. 2020, 1–10. [Google Scholar] [CrossRef]
- Zhang, Y.; Kan, T.; Yan, Z.; Mao, Y.; Wu, Z.; Mi, C.C. Modeling and Analysis of Series-None Compensation for Wireless Power Transfer Systems with a Strong Coupling. IEEE Trans. Power Electron. 2018, 34, 1209–1215. [Google Scholar] [CrossRef]
- Lee, B.; Kim, H.; Rim, C.T. Resonant power shoes for humanoid robots. In Proceedings of the 2011 IEEE Energy Conversion Congress and Exposition, Phoenix, AZ, USA, 17–22 September 2011; pp. 1791–1794. [Google Scholar]
- Šahta, I.; Baltina, I.; Truskovska, N.; Blums, J.; Deksnis, E. Selection of conductive yarns for knitting an electrical heating element. High Perform. Optim. Des. Struct. Mater. 2014, 137, 91–102. [Google Scholar]
- Harrison, R.R. Designing efficient inductive power links for implantable devices. In Proceedings of the 2007 IEEE International Symposium on Circuits and Systems, New Orleans, LA, USA, 27–30 May 2007; pp. 2080–2083. [Google Scholar]
- Kiani, M.; Ghovanloo, M. A Figure-of-Merit for Designing High-Performance Inductive Power Transmission Links. IEEE Trans. Ind. Electron. 2013, 60, 5292–5305. [Google Scholar] [CrossRef] [PubMed]









| Tx/Rx Coil | Parameters | |||||||
|---|---|---|---|---|---|---|---|---|
| Material | Outer Diameter | Thickness | Pitch (mm) | Turn | Parasitic Res. | Ind. (μH) | Q | |
| Tx coil | Copper | 16 cm | 22 AWG | 0.3 | 8 | 0.82 Ω | 15.5 | 238 |
| Rx coil | Coated Textile | 16 cm | 1 μm 1 | 0.25 | 7 | 214.3 Ω | 18.3 | 1.1 |
| Fixed Parameters | Topology | |||
|---|---|---|---|---|
| k | Series-Series (SS) | Series-None (SN) | ||
| 0.24 | 153.37 | 1.07 | ||
| Calculated PTE | 90.7% | 81.8% | ||
| Measured PTE | 88% | 77% | ||
| Calculated | 1.76 | |||
| Measured | 1.6 | |||
© 2020 by the authors. Licensee MDPI, Basel, Switzerland. This article is an open access article distributed under the terms and conditions of the Creative Commons Attribution (CC BY) license (http://creativecommons.org/licenses/by/4.0/).
Share and Cite
Kwon, H.; Lee, K.-H.; Lee, B. Inductive Power Transmission for Wearable Textile Heater using Series-None Topology. Electronics 2020, 9, 431. https://doi.org/10.3390/electronics9030431
Kwon H, Lee K-H, Lee B. Inductive Power Transmission for Wearable Textile Heater using Series-None Topology. Electronics. 2020; 9(3):431. https://doi.org/10.3390/electronics9030431
Chicago/Turabian StyleKwon, Hyeokjin, Kang-Ho Lee, and Byunghun Lee. 2020. "Inductive Power Transmission for Wearable Textile Heater using Series-None Topology" Electronics 9, no. 3: 431. https://doi.org/10.3390/electronics9030431
APA StyleKwon, H., Lee, K.-H., & Lee, B. (2020). Inductive Power Transmission for Wearable Textile Heater using Series-None Topology. Electronics, 9(3), 431. https://doi.org/10.3390/electronics9030431

