Bandwidth Improvement of Conventional Dual-Band Power Divider Using Physical Port Separation Structure
Abstract
:1. Introduction
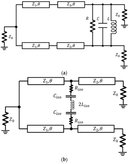
2. Design and Analysis
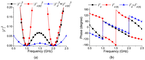
2.1. Even-Mode Analysis
2.2. Odd-Mode Analysis
3. Experimental Verification
4. Conclusions
Author Contributions
Funding
Conflicts of Interest
References
- Wilkinson, E.J. An N-Way Hybrid Power Dividers. IEEE Trans. Microw. Theory Tech. 1960, 8, 116–118. [Google Scholar] [CrossRef]
- Srisathit, S.; Chongcheawchamnan, M.; Worapishet, A. Design and realisation of dual-band 3 dB power divider based on two-section transmission-line topology. IET Electron. Lett. 2003, 39, 723–724. [Google Scholar] [CrossRef]
- Monzon, C. A small dual-frequency transformer in two sections. IEEE Trans. Microw. Theory Tech. 2003, 51, 1157–1161. [Google Scholar] [CrossRef]
- Wu, L.; Sun, Z.; Yilmaz, H.; Berroth, M. A dual-frequency wilkinson power divider. IEEE Trans. Microw. Theory Tech. 2006, 54, 278–284. [Google Scholar] [CrossRef]
- Gao, N.; Wu, G.; Tang, Q. Design of a Novel Compact Dual-Band Wilkinson Power Divider with Wide Frequency Ratio. IEEE Microw. Wirel. Compon. Lett. 2014, 24, 81–83. [Google Scholar] [CrossRef]
- Kawai, T.; Yamasaki, J.; Kokubo, Y.; Ohta, I. A design method of dual-frequency wilkinson power divider. In Proceedings of the 2006 IEEE MTT-S 2006 Asia-Pacific Microwave Conference, Yokohama, Japan, 12–15 December 2006; pp. 913–916. [Google Scholar]
- Park, M.; Lee, B. A Dual-Band Wilkinson Power Divider. IEEE Microw. Wirel. Compon. Lett. 2008, 18, 85–87. [Google Scholar] [CrossRef]
- Zhang, T.; Che, W.; Chen, H.; Feng, W. A Compact Four-way Dual-band Power Divider Using Lumped Elements. IEEE Microw. Wirel. Compon. Lett. 2015, 25, 94–96. [Google Scholar] [CrossRef]
- Ahmed, U.T.; Abbosh, A.M. Modified Wilkinson power divider using coupled microstrip lines and shunt open-ended stubs. IET Electron. Lett. 2015, 51, 838–839. [Google Scholar] [CrossRef]
- Park, M. Dual-Band Wilkinson Divider with Coupled Output Port Extensions. IEEE Trans. Microw. Theory Tech. 2009, 57, 2232–2237. [Google Scholar] [CrossRef]
- Antsos, D.; Crist, R.; Sukamto, L. A novel Wilkinson power divider with predictable performance at K and Ka-band. In Proceedings of the 1994 IEEE MTT-S International Microwave Symposium Digest, San Diego, CA, USA, 23–27 May 1994; pp. 907–910. [Google Scholar]
- Horst, S.; Bairavasubramanian, R.; Tentzeris, M.; Papapolymerou, J. Modified Wilkinson power dividers for millimeter-wave integrated circuits. IEEE Trans. Microw. Theory Tech. 2007, 55, 2439–2446. [Google Scholar] [CrossRef]
- Cheng, K.-K.M.; Law, C. A novel approach to the design and implementation of dual-band power divider. IEEE Trans. Microw. Theory Tech. 2008, 56, 487–492. [Google Scholar] [CrossRef]
- Shin, Y.; Lee, B.; Park, M.-J. Dual-band Wilkinson power divider with shifted output ports. IEEE Microw. Wirel. Compon. Lett. 2008, 18, 443–445. [Google Scholar] [CrossRef]
- Li, X.; Yang, Y.-J.; Yang, L.; Gong, S.-X.; Hong, T.; Chen, X.; Zhang, Y.-J. Design of unequal Wilkinson power divider for dual-band operation with isolation stubs. IET Electron. Lett. 2009, 45, 1245–1247. [Google Scholar] [CrossRef]
- Wu, G.; Yang, L.; Zhou, Y.; Xu, Q. Wilkinson power divider design for dual-band applications. IET Electron. Lett. 2014, 50, 1003–1005. [Google Scholar] [CrossRef]
- Maktoomi, M.-A.; Hashmi, M.-S. A performance enhanced port extended dual-band Wilkinson power divider. IEEE Access 2017, 5, 11832–11840. [Google Scholar] [CrossRef]
- Park, M.-J.; Lee, B. Wilkinson power divider with extended ports for dual-band operation. IET Electron. Lett. 2008, 44, 916–918. [Google Scholar] [CrossRef]
- Wu, Y.; Liu, Y.; Li, S. Unequal dual-frequency Wilkinson power divider including series resistor-inductor-capacitor isolation structure. IET Microw. Antennas Propag. 2009, 3, 1079–1085. [Google Scholar] [CrossRef]
- Ahn, S.; Lee, J.W.; Cho, C.S.; Lee, T.K. A Dual-Band Unequal Wilkinson Power Divider with Arbitrary Frequency Ratios. IEEE Microw. Wirel. Compon. Lett. 2009, 19, 783–785. [Google Scholar] [CrossRef]
- Gharehaghaji, H.S.; Shamsi, H. Design of Unequal Dual Band Gysel Power Divider with Isolation Bandwidth Improvement. IEEE Microw. Wirel. Compon. Lett. 2017, 27, 138–140. [Google Scholar] [CrossRef]
- Pang, Y.-H.; Li, Z.-H. Dual-band bandpass Wilkinson power divider of controllable bandwidths. IET Electron. Lett. 2016, 52, 537–539. [Google Scholar] [CrossRef]
- Wang, X.; Ma, Z.; Ohira, M. Theory and Experiment of Two-Section Two-Resistor Wilkinson Power Divider with Two Arbitrary Frequency Bands. IEEE Trans. Microw. Theory Tech. 2018, 66, 1291–1300. [Google Scholar] [CrossRef]
- Wang, X.; Sakagami, I.; Takahashi, K.; Okamura, S. A Generalized Dual-Band Wilkinson Power Divider with Parallel L, C, and R Components. IEEE Trans. Microw. Theory Tech. 2012, 60, 952–964. [Google Scholar] [CrossRef]
- Liu, F.; Lee, J. Design of New Dual-Band Wilkinson Power Dividers with Simple Structure and Wide Isolation. IEEE Trans. Microw. Theory Tech. 2019, 67, 3628–3635. [Google Scholar] [CrossRef]
- Mirzaei, M.; Sheikhi, A. Design and implementation of microstrip dual-band filtering power divider using square-loop resonator. IET Electron. Lett. 2020, 56, 19–21. [Google Scholar] [CrossRef]
- Wang, X.; Wang, J.; Zhang, G.; Hong, J.; Wu, W. Dual-Wideband Filtering Power Divider With Good Isolation and High Selectivity. IEEE Microw. Wirel. Compon. Lett. 2017, 27, 1071–1073. [Google Scholar] [CrossRef]
- Maktoomi, M.H.; Banerjee, D.; Hashmi, M.S. An Enhanced Frequency-Ratio Coupled-Line Dual-Frequency Wilkinson Power Divider. IEEE Trans. Circuits Syst. II Exp. Briefs 2018, 65, 888–892. [Google Scholar] [CrossRef]










| 79 | 63 | 60 | 47 | 5.6 | 1.2 |
| Ref. | Bandwidth (MHz) | Insertion Loss (dB) | Size 1 | Port Extension | |||||||
|---|---|---|---|---|---|---|---|---|---|---|---|
| [13] | 41 | 51 | 51 | 92 | 61 | 71 | 3.8 | 3.6 | 2 | Yes | |
| [14] | 38 | - 3 | 47 | 75 | 56 | 85 | 3.3 | 3.6 | Yes | ||
| [21] | 50 | 100 | 100 | 125 | 1200 | 1.92/5.01 4 | 2.14/5.24 4 | 2 | Yes | ||
| [22] | 172 | 238 | 125 | - 3 | 129 | 97 | 3.8 | 4.2 | 2 | Yes | |
| [23] | - 3 | N/A | 160 | 1300 | 3.8 | 4.2 | >1.5 | No | |||
| [24] | - 3 | N/A | 89 | 107 | 3.9 | 4.0 | 1.5 | No | |||
| [25] | 1297 | 632 | 789 | 315 | 368 | 3.15 | 3.18 | No | |||
| [26] | 1167 | 833 | 3000 | 783 | 1450 | 1000 | 3.87 | 3.97 | No | ||
| [27] | - 3 | 350 | 325 | 300 | 650 | 3.28 | 3.35 | No | |||
| [28] | 200 | 300 | 200 | 280 | 250 | 285 | 3.1 | 3.2 | No | ||
| This work | 662 | 568 | 222 | 173 | 1074 | 3.14 | 3.19 | Yes | |||
Publisher’s Note: MDPI stays neutral with regard to jurisdictional claims in published maps and institutional affiliations. |
© 2020 by the authors. Licensee MDPI, Basel, Switzerland. This article is an open access article distributed under the terms and conditions of the Creative Commons Attribution (CC BY) license (http://creativecommons.org/licenses/by/4.0/).
Share and Cite
Chang, T.-J.; Tsao, Y.-F.; Huang, T.-J.; Hsu, H.-T. Bandwidth Improvement of Conventional Dual-Band Power Divider Using Physical Port Separation Structure. Electronics 2020, 9, 2192. https://doi.org/10.3390/electronics9122192
Chang T-J, Tsao Y-F, Huang T-J, Hsu H-T. Bandwidth Improvement of Conventional Dual-Band Power Divider Using Physical Port Separation Structure. Electronics. 2020; 9(12):2192. https://doi.org/10.3390/electronics9122192
Chicago/Turabian StyleChang, Tso-Jung, Yi-Fan Tsao, Ting-Jui Huang, and Heng-Tung Hsu. 2020. "Bandwidth Improvement of Conventional Dual-Band Power Divider Using Physical Port Separation Structure" Electronics 9, no. 12: 2192. https://doi.org/10.3390/electronics9122192
APA StyleChang, T.-J., Tsao, Y.-F., Huang, T.-J., & Hsu, H.-T. (2020). Bandwidth Improvement of Conventional Dual-Band Power Divider Using Physical Port Separation Structure. Electronics, 9(12), 2192. https://doi.org/10.3390/electronics9122192

