Investigation on Hybrid Energy Storage Systems and Their Application in Green Energy Systems
Abstract
:1. Introduction
2. Functional Planning and Hardware Design of ICESS
2.1. Functional Arrangement
2.1.1. Operation Mode 1: Peak Demand Shaving
2.1.2. Operation Mode 2: RE Power Generation Smoothing
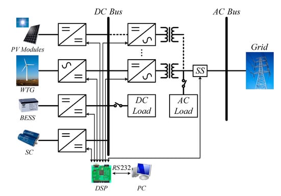
2.2. System Architecture
3. Controller Design of ICESS Converters
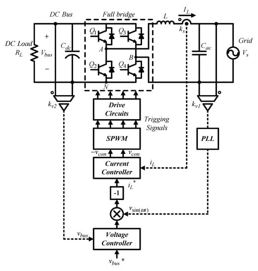
3.1. Single-Phase Full-Bridge Grid-Tie Inverter
3.1.1. Inductor Current Controller
3.1.2. DC Bus Voltage Controller
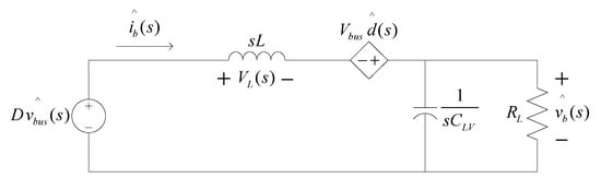
3.2. DC-DC Buck-Boost Converter
4. Case Simulation
4.1. Case 1: Peak Demand Shaving (Operation Mode 1)
4.2. Case 2: RE Power Generation Smoothing (Operation Mode 2)
5. Hardware Implementation
5.1. Case 1: Peak Demand Shaving (Operation Mode 1)
5.2. Case 2: RE Generation Smoothing (Operation Mode 2)
6. Conclusions
Author Contributions
Funding
Acknowledgments
Conflicts of Interest
References
- IPCC. 2013: Summary for Policymakers. In Climate Change 2013: The Physical Science Basis; Cambridge University Press: Cambridge, UK; New York, NY, USA, 2013. [Google Scholar]
- International Energy Outlook. 2019. Available online: https://www.eia.gov/outlooks/ieo/ (accessed on 11 August 2020).
- Argyrou, M.C.; Christodoulides, P.; Kalogirou, S.A. Energy storage for electricity generation and related processes: Technologies appraisal and grid scale applications. Renew. Sustain. Energy Rev. 2018, 94, 804–821. [Google Scholar] [CrossRef]
- Wang, Y.; Wang, L.; Li, M.; Chen, Z. A review of key issues for control and management in battery and ultra-capacitor hybrid energy storage systems. eTransportation 2020, 4, 100064. [Google Scholar] [CrossRef]
- Jirdehi, M.A.; Tabar, V.S.; Ghassemzadeh, S.; Tohidi, S. Different aspects of microgrid management: A comprehensive review. J. Energy Storage 2020, 30, 101457. [Google Scholar] [CrossRef]
- Zimmermann, T.; Keil, P.; Hofmann, M.; Horsche, M.F.; Pichlmaier, S.; Jossen, A. Review of system topologies for hybrid electrical energy storage systems. J. Energy Storage 2016, 8, 78–90. [Google Scholar] [CrossRef]
- Ma, T.; Yang, H.; Lu, L. Development of hybrid battery-supercapacitor energy storage for remote area renewable energy systems. Appl. Energy 2015, 153, 56–62. [Google Scholar] [CrossRef]
- Rout, T.; Maharana, M.K.; Chowdhury, A.; Samal, S. A comparative study of stand-alone photo-voltaic system with battery storage system and battery supercapacitor storage system. In Proceedings of the 4th International Conference on Electrical Energy Systems (ICEES), Chennai, India, 7–9 February 2018. [Google Scholar]
- Wang, Y.; Wang, W.; Zhao, Y.; Yang, L.; Chen, W. A fuzzy-logic power management strategy based on Markov Random prediction for hybrid energy storage systems. Energies 2016, 9, 25. [Google Scholar] [CrossRef]
- Kuperman, A.; Aharon, I.; Malki, S.; Kara, A. Design of a semiactive battery-ultracapacitor hybrid energy source. IEEE Trans. Power Electron. 2013, 28, 806–815. [Google Scholar] [CrossRef]
- Etxeberria, A.; Vechiu, I.; Camblong, H.; Vinassa, J.M. Comparison of three topologies and controls of a hybrid energy storage system for microgrids. Energy Convers. Manag. 2012, 54, 113–121. [Google Scholar] [CrossRef]
- Kollimalla, S.K.; Mishra, M.K.; Narasamma, N.L. Design and analysis of novel control strategy for battery and supercapacitor storage system. IEEE Trans. Sustain. Energy 2014, 5, 1137–1144. [Google Scholar] [CrossRef]
- Ultra, P.; Battery, C.; Jamshidpour, E. Energy management and control of a stand-alone photovoltaic/ultra capacitor/battery microgrid. In Proceedings of the 2015 IEEE Jordan Conf. Applied Electrical Engineering Computer Technology, The Dead Sea, Jordan, 3–5 November 2015; Volume 2, pp. 1–12. [Google Scholar]
- Hajiaghasi, S.; Salemnia, A.; Hamzeh, M. Hybrid energy storage system for microgrids applications: A review. J. Energy Storage 2019, 21, 543–570. [Google Scholar] [CrossRef]
- Chen, M.; Cheng, Z.; Liu, Y.; Cheng, Y.; Tian, Z. Multitime-Scale Optimal Dispatch of Railway FTPSS Based on Model Predictive Control. IEEE Trans. Transp. Electrif. 2020, 6, 808–820. [Google Scholar] [CrossRef]
- Sinh, S.; Bajpai, P. Power management of hybrid energy storage system in a standalone DC microgrid. J. Energy Storage 2020, 30, 101523. [Google Scholar] [CrossRef]
- Chen, X.; Shi, M.; Zhou, J.; Chen, Y.; Zuo, W.; Wen, J.; He, H. Distributed Cooperative Control of Multiple Hybrid Energy Storage Systems in a DC Microgrid Using Consensus Protocol. IEEE Trans. Ind. Electron. 2020, 67, 1968–1979. [Google Scholar] [CrossRef]
- Nakka, P.C.; Mishra, M.K. Droop characteristics based damping and inertia emulation of DC link in a hybrid microgrid. IET Renew. Power Gen 2020, 14, 1044–1052. [Google Scholar] [CrossRef]
- Nguyen, V.T.; Shim, J.W. Virtual Capacity of Hybrid Energy Storage Systems Using Adaptive State of Charge Range Control for Smoothing Renewable Intermittency. IEEE Access 2020, 8, 126951–126964. [Google Scholar] [CrossRef]
- Wang, Y.; Song, F.; Ma, Y.; Zhang, Y.; Yang, J.; Liu, Y.; Zhang, F.; Zhu, J. Research on capacity planning and optimization of regional integrated energy system based on hybrid energy storage system. Appl. Therm. Eng. 2020, 180, 115834. [Google Scholar] [CrossRef]
- Kumar, J.; Agarwal, A.; Singh, N. Design, operation and control of a vast DC microgrid for integration of renewable energy sources. Renew. Energy Focus. 2020, 34, 17–36. [Google Scholar] [CrossRef]
- Armghan, H.; Yang, M.; Wang, M.Q.; Ali, N.; Armghan, A. Nonlinear integral backstepping based control of a DC microgrid with renewable generation and energy storage systems. Int. J. Electron. Power 2020, 117, 105613. [Google Scholar] [CrossRef]
- He, L.; Li, Y.; Guerrero, J.M.; Cao, Y. A Comprehensive Inertial Control Strategy for Hybrid AC/DC Microgrid With Distributed Generations. IEEE Trans. Smart Grid 2020, 11, 1737–1747. [Google Scholar] [CrossRef]
- Armghan, H.; Yang, M.; Armghan, A.; Ali, N.; Wang, M.Q.; Ahmad, I. Design of integral terminal sliding mode controller for the hybrid AC/DC microgrids involving renewables and energy storage systems. Int. J. Electron. Power 2020, 119, 105857. [Google Scholar] [CrossRef]


























| Item | Specification |
|---|---|
| DC bus voltage Vbus | 200 V |
| Grid voltage Vs | 110 Vrms/60 Hz |
| Maximum power output | 1 kVA |
| Battery bank (8 batteries in series) | 96 V/14 Ah (12 V/14 Ah each) |
| SC bank (42 SCs in series) | 117.6 V/14.28 F (2.8 V/600 F each) |
| Battery charging current Ib | Up to 10 A |
| PV/WTG emulator (Programmable DC power supply) | PV: up to 600 W/35~40 V WTG: up to 300 W (with MPPT) |
| Single-phase full-bridge grid-tie inverter | 1 kVA/100 kHz (110 Vrms/up to 10 Arms) |
| Bidirectional DC-DC buck-boost battery converter | 1 kW/100 kHz |
| Bidirectional DC-DC buck-boost SC converter | 1 kW/100 kHz |
| Inverter output voltage requirements | Voltage regulation error < 2% THD < 3% (full load, resistive) |
| Converter efficiencies | Inverter: >92% (resistive load) DC-DC converters: >92% |
| Item | Value |
|---|---|
| Carrier amplitude vt | 5 V |
| AC voltage sensing scale kv1 | 0.0062 V/V |
| DC voltage sensing scale kv2 | 0.012 V/V |
| AC current sensing scale ks | 0.05 V/A |
| DC bus voltage variation limit | 5% |
| DC bus capacitor Cdc | 663 μF/300~400 V |
| Filter capacitor Cac | 10 μF/165~220 Vrms |
| Filter inductor L | 97 μH |
| Item | Value |
|---|---|
| Maximum duty cycle, D (boost mode) | 0.85 |
| Minimum duty cycle, D (buck mode) | 0.15 |
| Current output current ripple limitation | 10% |
| High-voltage capacitor CHV | 463 μF/300~400 V |
| Low-voltage capacitor CLV | 8.63 μF/250 Vrms |
| Filter inductor L | 200 μH |
Publisher’s Note: MDPI stays neutral with regard to jurisdictional claims in published maps and institutional affiliations. |
© 2020 by the authors. Licensee MDPI, Basel, Switzerland. This article is an open access article distributed under the terms and conditions of the Creative Commons Attribution (CC BY) license (http://creativecommons.org/licenses/by/4.0/).
Share and Cite
Ma, C.-T.; Hsieh, C.-L. Investigation on Hybrid Energy Storage Systems and Their Application in Green Energy Systems. Electronics 2020, 9, 1907. https://doi.org/10.3390/electronics9111907
Ma C-T, Hsieh C-L. Investigation on Hybrid Energy Storage Systems and Their Application in Green Energy Systems. Electronics. 2020; 9(11):1907. https://doi.org/10.3390/electronics9111907
Chicago/Turabian StyleMa, Chao-Tsung, and Chin-Lung Hsieh. 2020. "Investigation on Hybrid Energy Storage Systems and Their Application in Green Energy Systems" Electronics 9, no. 11: 1907. https://doi.org/10.3390/electronics9111907
APA StyleMa, C.-T., & Hsieh, C.-L. (2020). Investigation on Hybrid Energy Storage Systems and Their Application in Green Energy Systems. Electronics, 9(11), 1907. https://doi.org/10.3390/electronics9111907
