Extended Spatial-Index LED Modulation for Optical MIMO-OFDM Wireless Communication
Abstract
1. Introduction
- An efficient ESI-LED modulation scheme is proposed. In contrast to a GLIM-OFDM scheme, there is no barrier to utilize any number of LEDs in ESI-LED as long as . Moreover, the attainable data rates of the ESI are semi-nonlinearly proportional to the number of LEDs deployed. The key idea of ESI-LED is to extend the resultant LED indices SD by maximizing the resulting LED combinations, whereas the same active LED indices are utilized many times with different power allocation values for OFDM real and imaginary components. Thus, the LED indices could be distinguished based on the real and imaginary part power allocation. Moreover, the number of active LEDs used for data transmission varies from the state in which only two transmit LEDs are activated to the state in which multiple/all transmit LEDs are activated. This will improve the utilization of the resultant spatial domain, thus the overall system spectral efficiency will be improved.
- A low complexity maximum a posteriori probability (MAP) estimator is proposed on the ESI receiver side. The MAP estimator in [31] is reformulated to be compatible with ESI-LED, where multiple LEDs or all LED indices are active simultaneously with different OFDM real part power allocations to convey OFDM time domain components.
- A general computational complexity (CC) form for both the proposed ESI and the GLIM are derived and tested in the simulation result section. Unlike the GLIM complexity analysis given in [31], the given CC analysis is derived to support any MIMO-LED configurations with/without spatial modulation.
2. System Model
2.1. The Proposed ESI-LED System
2.2. The Maximum a Posteriori Estimator
| Algorithm 1 Estimating the values of and for each expected joint power allocations LEDs indices. |
| All the expected LED indices and , the received vector , and H. : For each expected LED indices:
All possible estimated values for and with their corresponding LED indices and . |
2.3. Indoor Optical Wireless Channel Model
3. Simulation Results and Computational Complexity
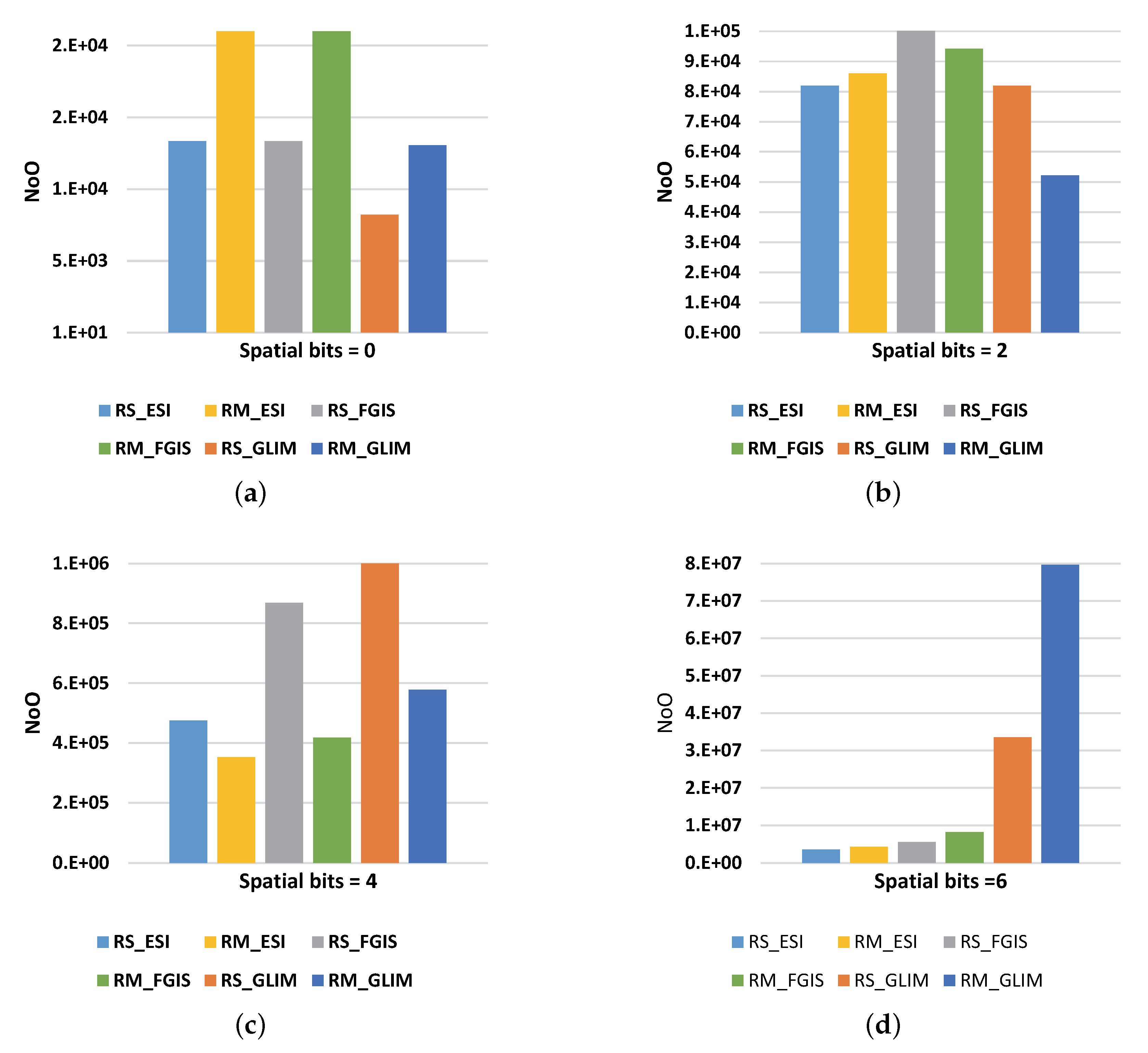
3.1. Achievable Data Rate (R)
3.2. Average Bit Error Rate (ABER) Performance
3.3. Computational Complexity
4. Conclusions
Author Contributions
Funding
Acknowledgments
Conflicts of Interest
References
- Cisco Visual Networking Index. Global Mobile Data Traffic Forecast Update, 2015–2020 White Paper; Cisco: San Jose, CA, USA, 2016. [Google Scholar]
- Hussein, H.; Elsayed, M.; Fakhry, M.; Sayed Mohamed, U. Energy and Spectrally Efficient Modulation Scheme for IoT Applications. Sensors 2018, 18, 4382. [Google Scholar] [CrossRef]
- Komine, T.; Nakagawa, M. Fundamental analysis for visible-light communication system using LED lights. IEEE Trans. Consum. Electron. 2004, 50, 100–107. [Google Scholar] [CrossRef]
- Tsonev, D.; Videv, S.; Haas, H. Light fidelity (Li-Fi): Towards all-optical networking. In Broadband Access Communication Technologies VIII; International Society for Optics and Photonics: San Francisco, CA, USA, 2014; Volume 9007, p. 900702. [Google Scholar]
- Hussein, H.S. Optical Polar Based MIMO-OFDM with Fully Generalized Index-Spatial LED Modulation. IET Commun. 2019, 14, 282–289. [Google Scholar] [CrossRef]
- Elgala, H.; Mesleh, R.; Haas, H. Indoor optical wireless communication: Potential and state-of-the-art. IEEE Commun. Mag. 2011, 49, 56–62. [Google Scholar] [CrossRef]
- Elgala, H.; Mesleh, R.; Haas, H.; Pricope, B. OFDM visible light wireless communication based on white LEDs. In Proceedings of the 2007 IEEE 65th Vehicular Technology Conference-VTC2007-Spring, Dublin, Ireland, 22–25 April 2007; pp. 2185–2189. [Google Scholar]
- Bao, X.; Yu, G.; Dai, J.; Zhu, X. Li-Fi: Light fidelity—A survey. Wirel. Netw. 2015, 21, 1879–1889. [Google Scholar] [CrossRef]
- Ashok, A.; Gruteser, M.; Mandayam, N.; Silva, J.; Varga, M.; Dana, K. Challenge: Mobile optical networks through visual MIMO. In Proceedings of the Sixteenth Annual International Conference on Mobile Computing and Networking, Chicago, IL, USA, 20–24 September 2010; pp. 105–112. [Google Scholar]
- Varga, M.; Ashok, A.; Gruteser, M.; Mandayam, N.; Yuan, W.; Dana, K. Visual MIMO based led-camera communication applied to automobile safety. In Proceedings of the 9th International Conference on Mobile Systems, Applications, and Services, Bethesda, MD, USA, 28 June–1 July 2011; pp. 383–384. [Google Scholar]
- Ashok, A.; Gruteser, M.; Mandayam, N.; Dana, K. Characterizing multiplexing and diversity in visual MIMO. In Proceedings of the 2011 45th Annual Conference on Information Sciences and Systems, Baltimore, MD, USA, 23–25 March 2011; pp. 1–6. [Google Scholar]
- Armstrong, J.; Lowery, A.J. Power efficient optical OFDM. Electron. Lett. 2006, 42, 370–372. [Google Scholar] [CrossRef]
- Armstrong, J. OFDM for optical communications. J. Lightwave Technol. 2009, 27, 189–204. [Google Scholar] [CrossRef]
- Tanaka, Y.; Komine, T.; Haruyama, S.; Nakagawa, M. Indoor visible communication utilizing plural white LEDs as lighting. In Proceedings of the 12th IEEE International Symposium on Personal, Indoor and Mobile Radio Communications, PIMRC 2001, Proceedings (Cat. No.01TH8598), San Diego, CA, USA, 3 October–30 September 2001. [Google Scholar] [CrossRef]
- Fernando, N.; Hong, Y.; Viterbo, E. Flip-OFDM for optical wireless communications. In Proceedings of the 2011 IEEE Information Theory Workshop, Paraty, Brazil, 16–20 October 2011; pp. 5–9. [Google Scholar] [CrossRef]
- Ding, J.; Xu, Z.; Hanzo, L. Accuracy of the point-source model of a multi-LED array in high-speed visible light communication channel characterization. IEEE Photonics J. 2015, 7, 1–14. [Google Scholar] [CrossRef]
- Wang, Q.; Wang, Z.; Dai, L. Multiuser MIMO-OFDM for visible light communications. IEEE Photonics J. 2015, 7, 1–11. [Google Scholar] [CrossRef]
- Werfli, K.; Chvojka, P.; Ghassemlooy, Z.; Hassan, N.B.; Zvanovec, S.; Burton, A.; Haigh, P.A.; Bhatnagar, M.R. Experimental Demonstration of High-Speed 4 × 4 Imaging Multi-CAP MIMO Visible Light Communications. J. Lightwave Technol. 2018, 36, 1944–1951. [Google Scholar] [CrossRef]
- Foschini, G.J.; Gans, M.J. On limits of wireless communications in a fading environment when using multiple antennas. Wirel. Pers. Commun. 1998, 6, 311–335. [Google Scholar] [CrossRef]
- O’Brien, D.C.; Quasem, S.; Zikic, S.; Faulkner, G.E. Multiple input multiple output systems for optical wireless: challenges and possibilities. In Free-Space Laser Communications VI; International Society for Optics and Photonics: San Diego, CA, USA, 2006; Volume 6304, p. 630416. [Google Scholar]
- Takase, D.; Ohtsuki, T. Optical wireless MIMO communications (OMIMO). In Proceedings of the 2004 IEEE Global Telecommunications Conference, GLOBECOM’04, Dallas, TX, USA, 29 November–3 December 2004; Volume 2, pp. 928–932. [Google Scholar]
- O’Brien, D. Multi-input multi-output (MIMO) indoor optical wireless communications. In Proceedings of the 2009 Conference Record of the Forty-Third Asilomar Conference on Signals, Systems and Computers, Pacific Grove, CA, USA, 1–4 November 2009; pp. 1636–1639. [Google Scholar]
- Azhar, A.H.; Tran, T.A.; O’Brien, D. A gigabit/s indoor wireless transmission using MIMO-OFDM visible-light communications. IEEE Photonics Technol. Lett. 2012, 25, 171–174. [Google Scholar] [CrossRef]
- Burton, A.; Haigh, P.A.; Chvojka, P.; Ghassemlooy, Z.; Zvánovec, S. Filter-less WDM for visible light communications using colored pulse amplitude modulation. Opt. Lett. 2019, 44, 4849–4852. [Google Scholar] [CrossRef] [PubMed]
- Younis, A.; Serafimovski, N.; Mesleh, R.; Haas, H. Generalised spatial modulation. In Proceedings of the 2010 Conference Record of the Forty Fourth Asilomar Conference on Signals, Systems and Computers, Pacific Grove, CA, USA, 7–10 November 2010; pp. 1498–1502. [Google Scholar]
- Hussein, H.; Esmaiel, H.; Jiang, D. Fully generalised spatial modulation technique for underwater communication. Electron. Lett. 2018, 54, 907–909. [Google Scholar] [CrossRef]
- Hussein, H.S.; Elsayed, M. Fully-Quadrature Spatial Modulation. In Proceedings of the IEEE International Black Sea Conference on Communications and Networking (BlackSeaCom), Batumi, Georgia, 4–7 June 2018; pp. 1–5. [Google Scholar]
- Hussein, H.S.; Elsayed, M.; Mohamed, U.S.; Esmaiel, H.; Mohamed, E.M. Spectral Efficient Spatial Modulation Techniques. IEEE Access 2019, 7, 1454–1469. [Google Scholar] [CrossRef]
- Mesleh, R.; Elgala, H.; Haas, H. Optical spatial modulation. J. Opt. Commun. Netw. 2011, 3, 234–244. [Google Scholar] [CrossRef]
- Li, Y.; Tsonev, D.; Haas, H. Non-DC-biased OFDM with Optical Spatial Modulation. In Proceedings of the 2013 IEEE 24th Annual International Symposium on Personal, Indoor, and Mobile Radio Communications (PIMRC), London, UK, 8–11 September 2013; pp. 486–490. [Google Scholar] [CrossRef]
- Yesilkaya, A.; Basar, E.; Miramirkhani, F.; Panayirci, E.; Uysal, M.; Haas, H. Optical MIMO-OFDM With Generalized LED Index Modulation. IEEE Trans. Commun. 2017, 65, 3429–3441. [Google Scholar] [CrossRef]
- Le Tran, M.; Kim, S.; Ketseoglou, T.; Ayanoglu, E. LED Selection and MAP Detection for Generalized LED Index Modulation. IEEE Photonics Technol. Lett. 2018, 30, 1695–1698. [Google Scholar] [CrossRef]
- Hussein, H.S.; Hagag, M. Optical MIMO-OFDM With Fully Generalized Index-Spatial LED Modulation. IEEE Commun. Lett. 2019, 23, 1556–1559. [Google Scholar] [CrossRef]
- Dimitrov, S.; Haas, H. Principles of LED lIght Communications: Towards Networked Li-Fi; Cambridge University Press: Cambridge, UK, 2015. [Google Scholar]
- Chvojka, P.; Zvanovec, S.; Haigh, P.A.; Ghassemlooy, Z. Channel Characteristics of Visible Light Communications Within Dynamic Indoor Environment. J. Lightwave Technol. 2015, 33, 1719–1725. [Google Scholar] [CrossRef]
- Komine, T.; Haruyama, S.; Nakagawa, M. A study of shadowing on indoor visible-light wireless communication utilizing plural white LED lightings. Wirel. Pers. Commun. 2005, 34, 211–225. [Google Scholar] [CrossRef]
- Miramirkhani, F.; Uysal, M. Channel modeling and characterization for visible light communications. IEEE Photonics J. 2015, 7, 1–16. [Google Scholar] [CrossRef]
- Yuan, W.; Li, X.; Gao, X.; Yuan, J.; Yang, Y.; Wang, Y. Mirco Signal Wireless-communication Device based on GaN-on-Silicon platform with light emitting Diodes. In Proceedings of the 2017 IEEE International Conference on Robots & Intelligent System (ICRIS), Huai’an, China, 15–16 October 2017; pp. 210–213. [Google Scholar]
- Zhao, W.; Yu, H.; Wen, Y.; Wang, F.; Yang, Y.; Liu, Z.; Liu, L.; Li, W.J. Detection of micro/nano-particle concentration using modulated light-emitting diode white light source. Sens. Actuators A Phys. 2019, 285, 89–97. [Google Scholar] [CrossRef]
- Jeganathan, J.; Ghrayeb, A.; Szczecinski, L.; Ceron, A. Space shift keying modulation for MIMO channels. IEEE Trans. Wirel. Commun. 2009, 8, 3692–3703. [Google Scholar] [CrossRef]







| Data | Transmitted Data | ||||
|---|---|---|---|---|---|
| /SB | |||||
| - | - | ||||
| - | - | ||||
| - | - | ||||
| - | - | ||||
| - | - | ||||
| - | - | ||||
| - | |||||
| - | |||||
| - | |||||
| - | |||||
| - | |||||
| - | |||||
| - | |||||
| - | |||||
| - | |||||
| - | |||||
| Data | Transmitted Data | |||||
|---|---|---|---|---|---|---|
| /SB | ||||||
| - | - | - | ||||
| - | - | - | ||||
| - | - | - | ||||
| - | - | - | ||||
| - | - | - | ||||
| - | - | - | ||||
| - | - | - | ||||
| - | - | - | ||||
| - | - | - | ||||
| - | - | - | ||||
| - | - | |||||
| - | - | |||||
| - | - | |||||
| - | - | |||||
| - | - | |||||
| - | - | |||||
| - | - | |||||
| - | - | |||||
| - | - | |||||
| - | - | |||||
| - | - | |||||
| - | - | |||||
| - | - | |||||
| - | - | |||||
| - | - | |||||
| - | - | |||||
| - | - | |||||
| - | - | |||||
| - | - | |||||
| - | - | |||||
| - | - | |||||
| - | - | |||||
| - | - | |||||
| - | - | |||||
| - | - | |||||
| - | - | |||||
| - | - | |||||
| - | - | |||||
| - | - | |||||
| - | - | |||||
| - | ||||||
| - | ||||||
| - | ||||||
| - | ||||||
| - | ||||||
| - | ||||||
| - | ||||||
| - | ||||||
| - | ||||||
| - | ||||||
| - | ||||||
| - | ||||||
| - | ||||||
| - | ||||||
| - | ||||||
| - | ||||||
| - | ||||||
| - | ||||||
| - | ||||||
| - | ||||||
| Parameters | Values |
|---|---|
| Dimensions of the room | 5 m × 5 m × 3 m |
| Number of Luminaries | 4 |
| Number of LED Chips per Luminary | 9 |
| Model of LED Chips | Cree Xlamp MC-E White |
| Power of LED Chips | 5 W |
| Luminary (L) Positions (x, y, z) (m) | L1: (−1.3, −0.7, 3) L2: (−1.3, 1.3, 3) L3: (0.7, 1.3, 3) L4: (0.7, −0.7, 3) |
| Photo detector (PD) positions (x, y, z) (m) | Config A: PD1: (−0.05, −0.05, 0.8) |
| PD2: (−0.05, 0.05, 0.8) PD3: (0.05, 0.05, 0.8) | |
| PD4: (0.05, −0.05, 0.8) | |
| Config B: PD1: (−0.4, −0.4, 0.8) | |
| PD2: (−0.4, 0.4, 0.8) PD3: (0.4, 0.4, 0.8) | |
| PD4: (0.4, −0.4, 0.8) | |
| Config C: located at center of table with | |
| equidistant 0.1 m and rotated by | |
| in xy-plane and titled by | |
| View of angle of Luminary | |
| FOV of PD | |
| Area of PD | 1 cm |
| Materials | Walls & Ceiling: Plaster Floor & Desk: Pine Wood |
© 2020 by the authors. Licensee MDPI, Basel, Switzerland. This article is an open access article distributed under the terms and conditions of the Creative Commons Attribution (CC BY) license (http://creativecommons.org/licenses/by/4.0/).
Share and Cite
S. Hussein, H.; Hagag, M.; Farrag, M. Extended Spatial-Index LED Modulation for Optical MIMO-OFDM Wireless Communication. Electronics 2020, 9, 168. https://doi.org/10.3390/electronics9010168
S. Hussein H, Hagag M, Farrag M. Extended Spatial-Index LED Modulation for Optical MIMO-OFDM Wireless Communication. Electronics. 2020; 9(1):168. https://doi.org/10.3390/electronics9010168
Chicago/Turabian StyleS. Hussein, Hany, Mohamed Hagag, and Mohammed Farrag. 2020. "Extended Spatial-Index LED Modulation for Optical MIMO-OFDM Wireless Communication" Electronics 9, no. 1: 168. https://doi.org/10.3390/electronics9010168
APA StyleS. Hussein, H., Hagag, M., & Farrag, M. (2020). Extended Spatial-Index LED Modulation for Optical MIMO-OFDM Wireless Communication. Electronics, 9(1), 168. https://doi.org/10.3390/electronics9010168

