Analysis of DC Link Energy Storage for Single-Phase Grid-Connected PV Inverters
Abstract
:1. Introduction
1.1. GCI Topologies
- the maximum permissible PV array output current or voltage ripple to maintain the average PV array output power reduction within acceptable limits, and
- the highest permissible inverter input current ripple (for a CSI) or voltage ripple (for a VSI) before higher levels of harmonic content (in the output current of the inverter) are fed into the grid.
1.2. Energy Storage in Single-Phase CSI
1.3. Literature Review
- investigating higher magnitude current or voltage ripple where the Taylor series approximation and assumption that the ripple is centered on the optimum current or voltage does not hold,
- introducing a parameter named the normalized energy ripple to relate the current and voltage ripple with the capacity of necessary energy storage,
- expanding the arguments to CSIs by designing an optimized DC link energy storage inductor,
- investigating the impact of temperature and irradiance variations on the results, and
- investigating the correlation between the inductor size and the average power reduction.
2. Impact of Ripple on Average PV Array Output Power
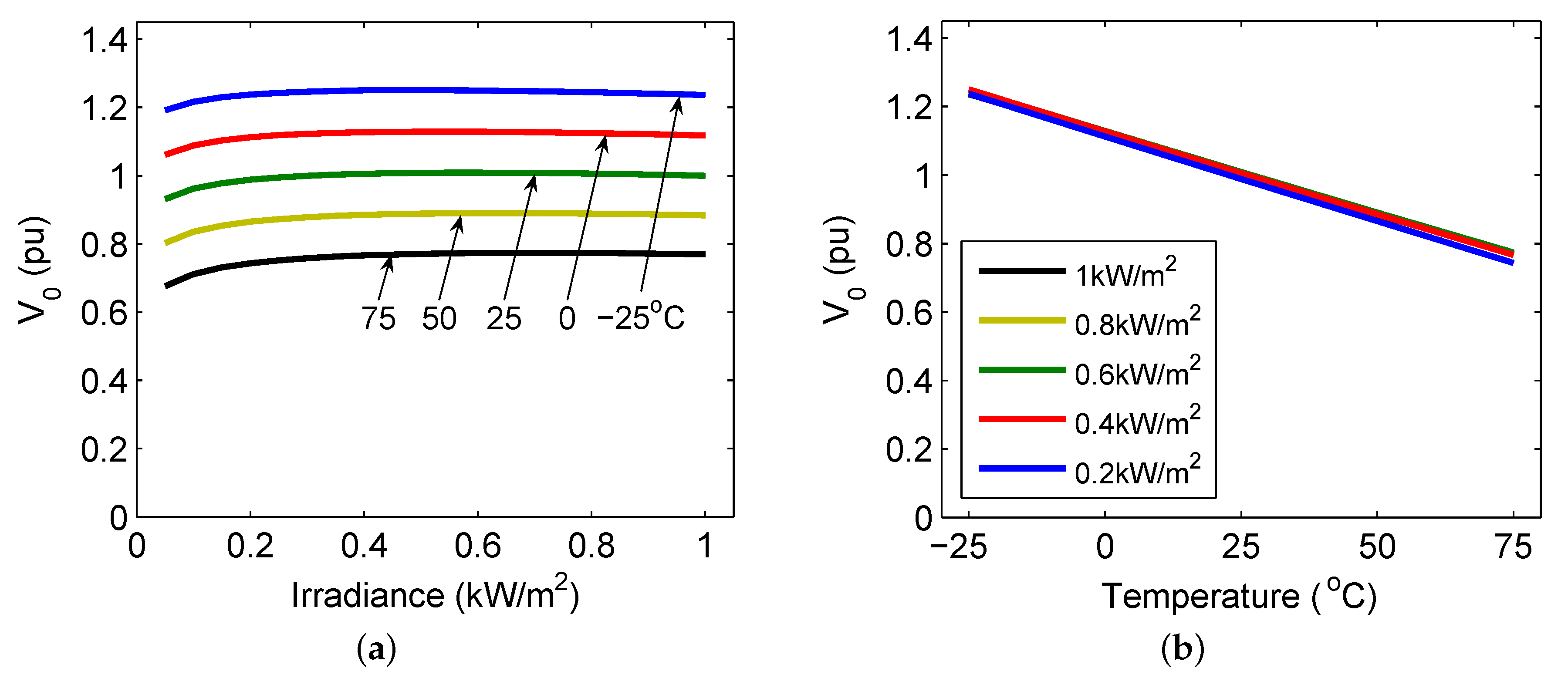
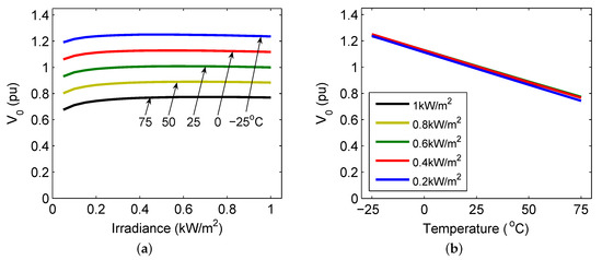
2.1. Temperature and Irradiance Curves with Normalizations
2.2. Average Output Power Reduction Due to Ripple
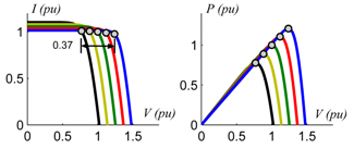
3. Effect of Energy Storage on Current/Voltage
Application Examples
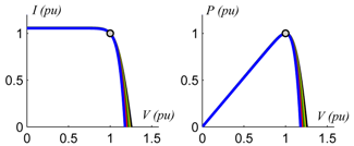
4. Inductor Design for 160 W Grid-Connected CSI
- It can output a sinusoidal current waveform at unity power factor, easier than an equivalent VSI,
- grid synchronization can be achieved without an output sensor or feedback control, and
- a short-circuit failure (e.g., a short across two legs in a H-bridge) cannot damage the CSI, as the inverter is designed to handle a maximum current equal to a shorted PV panel.
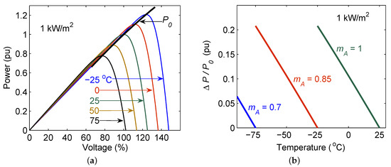
5. Experimental Results
5.1. Ripple Results
5.2. Modulation Index Results
6. Conclusions
- The shapes of the normalized current-voltage (I-V) and power-voltage (P-V) curves, hence the power reduction, was not significantly affected by changes in cell temperature or irradiation;
- a more accurate estimation of PV output power loss was achieved using the “balanced” definition of current (or voltage) ripple. This is related to the equal power decrease at the extreme points in comparison to the case that the ripple was centered on the optimum point;
- utilizing this balanced method, the ripple magnitude versus average power reduction is close for both current and voltage ripple;
- the current and voltage ripple are directly related to the ratio of output power to energy stored in the DC link energy storage component;
- a trade-off exist between the average PV output power reduction and the DC link inductor size;
- two optimized DC link inductors were constructed to reduce the power loss due to fluctuating output power (at double the line frequency). However, only the 192 mH inductor was analyzed for (and tested with) the single-phase CSI. The conclusions from the experimental testing of this inductor include:
- -
- The total inductor loss is largely made up of copper losses due to the resistance of the DC link inductor and the high DC current;
- -
- other losses, such as those caused by hysteresis, eddy currents, and PWM switching scheme, caused small amount of the total losses; and
- -
- the test results closely agree with the PV output current ripple and DC link inductor loss calculations;
- the inverter efficiency increases with modulation index and, subsequently, a trade-off exists between the ability of the MPPT and the inverter efficiency, for cold conditions; and
- the normalized power reduction can be calculated, as this is related to the cell temperature, and a nominal modulation index can be selected.
Author Contributions
Funding
Conflicts of Interest
References
- Rashid, M.H. Pulse-width-modulated inverters. In Power Electronics: Circuits, Devices, and Applications; Prentice-Hall: Upper Saddle River, NJ, USA, 1993; pp. 356–412. ISBN 0-13-334483-5. [Google Scholar]
- Kjaer, S.B. Design and Control of an Inverter for Photovoltaic Applications. Ph.D. Thesis, Aalborg University, Aalborg East, Denmark, 2004. [Google Scholar]
- Casadei, D.; Grandi, G.; Rossi, C. Single-phase single-stage photovoltaic generation system based on a ripple correlation control maximum power point tracking. IEEE Trans. Energy Conv. 2006, 21, 562–568. [Google Scholar] [CrossRef]
- Ninad, N.; Lopez, L.T. Operation of single-phase grid-connected inverters with large DC bus voltage ripple. In Proceedings of the 2007 IEEE Electrical Power Conference, Montreal, QC, Canada, 25–26 October 2007; pp. 172–176. [Google Scholar]
- Schonberger, J. A single phase multi-string PV inverter with minimal bus capacitance. In Proceedings of the 2007 IEEE Power Electronics and Applications Conference, Barcelona, Spain, 8–10 September 2009; pp. 1–10. [Google Scholar]
- Krein, P.T.; Balog, R.S.; Mirjafari, M. Minimum energy and capacitance requirements for single-phase inverters and rectifiers using a ripple port. IEEE Trans. Power Electron. 2012, 27, 4690–4698. [Google Scholar] [CrossRef]
- Zengin, S.; Deveci, F.; Boztepe, M. Decoupling capacitor selection in DCM flyback PV microinverters considering harmonic distortion. IEEE Trans. Power Electron. 2013, 28, 816–825. [Google Scholar] [CrossRef]
- Hu, H.; Harb, S.; Kutkut, N.; Sen, J.Z. A review of power decoupling techniques for microinverters with three different decoupling capacitor locations in PV systems. IEEE Trans. Power Electron. 2013, 28, 2711–2726. [Google Scholar] [CrossRef]
- Benavides, N.D.; Chapman, P.L. Modeling the effect of voltage ripple on the power output of photovoltaic modules. IEEE Trans. Ind. Electron. 2008, 55, 2638–2643. [Google Scholar] [CrossRef]
- Sullivan, C.R.; Awerbuch, J.J.; Latham, A.M. Decrease in photovoltaic power output from ripple: Simple general calculation and the effect of partial shading. IEEE Trans. Power Electron. 2013, 28, 740–747. [Google Scholar] [CrossRef]
- Bush, C.R.; Wang, B. A single-phase current source solar inverter with reduced-size DC link. In Proceedings of the 2009 IEEE Energy Conversion Congress and Exposition, San Jose, CA, USA, 20–24 September 2009; pp. 54–59. [Google Scholar]
- Zhu, G.-R.; Wang, H.; Liang, B.; Tan, S.C.; Jiang, J. Enhanced single-phase full-bridge inverter with minimal low-frequency current ripple. IEEE Trans. Ind. Electron. 2016, 63, 937–943. [Google Scholar] [CrossRef]
- Vitorino, M.A.; Hartmann, L.V.; Fernandes, D.A.; Silva, E.L.; Correa, M.B.R. Single-phase current source converter with new modulation approach and power decoupling. In Proceedings of the 2014 Applied Power Electronics Conference and Exposition, Fort Worth, TX, USA, 16–20 March 2014; pp. 2200–2207. [Google Scholar]
- Kotsopoulos, A.; Duarte, J.L.; Hendrix, M.A.M. Predictive DC voltage control of single-phase PV inverters with small DC link capacitance. In Proceedings of the 2003 IEEE International Symposium on Industrial Electronics, Rio de Janeiro, Brazil, 9–11 June 2003; pp. 793–797. [Google Scholar]
- Khajehoddin, S.A.; Karimi-Ghartemani, M.; Jain, P.K.; Bakhshai, A. DC-bus design and control for a single-phase grid-connected renewable converter with a small energy storage component. IEEE Trans. Power Electron. 2013, 28, 3245–3254. [Google Scholar] [CrossRef]
- Harb, S.; Mirjafari, M.; Balog, R.S. Ripple-port module-integrated inverter for grid-connected PV applications. IEEE Trans. Ind. Appl. 2013, 49, 2692–2698. [Google Scholar] [CrossRef]
- Zare, M.H.; Mohamadian, M.; Beiranvand, R. A single-phase grid-connected photovoltaic inverter based on a three-switch three-port flyback with series power decoupling circuit. IEEE Trans. Ind. Electron. 2017, 64, 2062–2071. [Google Scholar] [CrossRef]
- Krein, P.T.; Balog, R.S. Cost-effective hundred-year life for single-phase inverters and rectifiers in solar and LED lighting applications based on minimum capacitance requirements and a ripple power port. In Proceedings of the 2009 IEEE Applied Power Electronics Conference and Exposition, Washington, DC, USA, 15–19 February 2009; pp. 620–625. [Google Scholar]
- Kyritsis, A.C.; Papanikolaou, N.P.; Tatakis, E.C. Enhanced current pulsation smoothing parallel active filter for single stage grid-connected AC-PV modules. In Proceedings of the 2008 IEEE Power Electronics and Motion Control Conference, Poznan, Poland, 1–3 September 2008; pp. 1287–1292. [Google Scholar]
- Roman, I.T.; Silva, L.S. A single-phase current-source inverter with active power filter for grid-tied PV systems. In Proceedings of the 2012 IEEE International Symposium on Power Electronics for Distributed Generation Systems, Aalborg, Denmark, 25–28 June 2012; pp. 349–356. [Google Scholar]
- Ohnuma, Y.; Orikawa, K.; Itoh, J.-I. A single-phase current source PV inverter with power decoupling capability using an active buffer. IEEE Trans. Ind. Electron. 2015, 51, 531–538. [Google Scholar]
- Xiao, F.; Dong, L.; Liao, X. A single-phase grid-connected PV inverter with improved grid-connected current. In Proceedings of the 2015 IEEE Control and Decision Conference, Qingdao, China, 23–25 May 2015; pp. 4083–4088. [Google Scholar]
- Zhou, Y.; Li, H. A Single-Phase PV Quasi-Z-Source Inverter with Reduced Capacitance Using Modified Modulation and Double-Frequency Ripple Suppression Control. IEEE Trans. Power Electron. 2016, 31, 2166–2173. [Google Scholar] [CrossRef]
- Han, H.; Liu, Y.; Sun, Y.; Su, M.; Xiong, W. Single-phase current source converter with power decoupling capability using a series-connected active buffer. IET Power Electron. 2015, 8, 700–707. [Google Scholar] [CrossRef]
- Takahashi, H.; Takaoka, N.; Gutierrez, R.R.R.; Itoh, J. Power decoupling method for isolated DC to single-phase AC converter using matrix converter. In Proceedings of the 2014 IEEE Annual Conference of the Industrial Electronics Society, Dallas, TX, USA, 29 October–1 November 2014; pp. 3337–3343. [Google Scholar]
- Hwang, D.; Lee, J.; Cho, Y. PCC voltage compensation of PV inverter with active power decoupling circuit. In Proceedings of the IEEE International Power Electronics Conference, Niigata, Japan, 20–24 May 2018; pp. 1403–1408. [Google Scholar]
- Zhang, J.; Ding, H.; Wang, B.; Guo, X.; Padmanaban, S. Active power decoupling for current source converters: An overview scenario. Electronics 2019, 8, 197. [Google Scholar] [CrossRef]
- Ertasgin, G.; Whaley, D.M.; Ertugrul, N.; Soong, W.L. Analysis and design of energy storage for current-source 1-ph grid-connected PV inverters. In Proceedings of the 2008 IEEE Applied Power Electronics Conference and Exposition, Austin, TX, USA, 24–28 February 2008; pp. 1229–1234. [Google Scholar]
- Ertasgin, G.; Whaley, D.M.; Ertugrul, N.; Soong, W.L. Energy storage element sizing for single-phase grid-connected photovoltaic converter. In Proceedings of the IEEE Power Electronics and Motion Control Conference and Exposition, Rio de Janeiro, Brazil, 21–24 September 2014; pp. 1005–1010. [Google Scholar]
- Sreeraj, E.S.; Chatterjee, K.; Bandyopadhyay, S. One-cycle-controlled single-stage single-phase voltage-sensorless grid-connected PV system. IEEE Trans. Ind. Electron. 2013, 60, 1216–1224. [Google Scholar]
- Chen, Y.; Smedley, K.M. A cost-effective single-stage inverter with maximum power point tracking. IEEE Trans. Power Electron. 2004, 19, 1289–1294. [Google Scholar] [CrossRef]
- Neba, Y.; Furuyama, E. Calculation of maximum power in a utility-interactive photovoltaic-generating system by using PWM current-source inverter. Electron. Eng. Jpn. 1998, 125, 55–64. [Google Scholar] [CrossRef]
- Nonaka, S.; Kesamaru, K.; Yamasaki, K.; Nishi, M. Interconnection system with single-phase IGBT PWM CSI between photovoltaic arrays and the utility line. In Proceedings of the IEEE Industry Application Society, Seattle, DC, USA, 7–12 October 1990; pp. 1302–1307. [Google Scholar]
- BHC. Als 20/21 Series Screw Terminals—Plain and Stud Mountings. Available online: http://www.cd-aero.com/AerovoxHome.aspx (accessed on 4 March 2014).
- Ertasgin, G.; Whaley, D.M.; Ertugrul, N.; Soong, W.L. Implementation and performance evaluation of a low-cost current-source grid-connected inverter for PV applications. In Proceedings of the IEEE Sustainable Energy Technologies Conference, Singapore, 24–27 November 2008; pp. 939–944. [Google Scholar]
- Ertasgin, G.; Soong, W.L.; Ertugrul, N. Performance analysis of a low-cost current-source 1-ph grid-connected PV inverter. Turk. J. Elect. Eng. Comput. Sci. 2015, 23, 1985–1991. [Google Scholar] [CrossRef]
- King, D.L.; Hansen, B.R.; Kratochvil, J.A.; Quintana, M.A. Dark current-voltage measurements on photovoltaic modules as a diagnostic or manufacturing tool. In Proceedings of the IEEE Photovoltaic Specialists Conference, Anaheim, CA, USA, 29 September–3 October 1997; pp. 1125–1128. [Google Scholar]
- Erickson, W.R. Inductor design. In Fundamentals of Power Electronics, 2nd ed.; Kluwer Academic Publishers: New York, NY, USA, 2001; pp. 539–554. [Google Scholar]















| Model | Irradiance Changes | Temperature Changes |
|---|---|---|
| Actual | ![]() | ![]() |
| Norm. at MPP under nom. | ![]() | ![]() |
| Norm. all at MPPs | ![]() | ![]() |
| VSI | CSI | |||
|---|---|---|---|---|
| Reference | [30] | [31] | [32] | [33] |
| Grid frequency | 50 Hz | 60 Hz | 60 Hz | 60 Hz |
| Rated max. input power | 205 W | 600 W | 225 W | 408 W |
| Capacitance | 1.1 mF | 3 mF | - | - |
| Inductance | - | - | 200 mH | 400 mH |
| Input current for () | 1.74 A | 4.4 A | 5.7 A | 6.15 A |
| Input voltage for () | 118 V | 136.3 V | 45 V | 66.3 V |
| Energy storage per W. | 37.1 mJ | 46.4 mJ | 14.4 mJ | 18.5 mJ |
| Ripple | 5 V | 3.82 V | 0.6 A | 0.44 A |
| Ripple (%) | 4.3 | 2.8 | 10.6 | 7.1 |
| PV array power reduction (%) | 0.17 | 0.05 | 1 | 0.46 |
| Capacitor ESR | 12 m | 14 m | - | - |
| Inductor resistance | - | - | 1.3 | - |
| loss (%) | 0.018 | 0.05 | 16 | - |
| Total Power loss (%) | 0.19 | 0.1 | 17 | - |
| Parameter | Inductor 1 | Inductor 2 |
|---|---|---|
| Rated maximum input power () | 160 W | 160 W |
| Input current for () | 4.5 A | 4.5 A |
| Input voltage () | 35 V | 35 V |
| Inductance (L) | 112 mH | 192 mH |
| Stored energy | 1.15 J | 1.96 J |
| Diameter of the copper wire | 2.4 mm | 2.4 mm |
| Number of turns (N) | 249 | 200 |
| Resistance at 40 C () | 0.25 ohm | 0.324 ohm |
| Power losses in the inductor () | 5.0 W | 6.7 W |
| Current ripple (peak-to-peak) | 21.3 % | 12.8 % |
| Peak flux density (B) | 1.5 T | 1 T |
| Copper winding packing factor | 0.46 | 0.37 |
| Volume | 0.00052 m | 0.0021 m |
| Mass | 5.5 kg | 15.5 kg |
| 192 mH Inductor | ||
|---|---|---|
| Calculated | Tests | |
| Maximum Power Point | ||
| 38.3 V | 36.97 V | |
| 4.33 A | 4.39 A | |
| 166.6 W | 162.9 W | |
| PV array ripple analysis | ||
| (p-p) | 12.7% | 7.6% |
| (p-p) | 13.0% | 13.4% |
| (p-p) | 2.65% | 6.10% |
| (ripple) | 1.33% | 3.10% |
| Total PV power reduction | 2.22 W | 5.00 W |
| Inductor losses | ||
| DC copper loss | 6.07 W | 5.86 W |
| 100 Hz copper + iron loss | 0.09 W | 0.15 W |
| PWM loss | - | 0.10 W |
| Total inductor loss | 6.16 W | 6.11 W |
| PV array power reduction | 8.38 W | 11.11 W |
| and inductor losses | ||
© 2019 by the authors. Licensee MDPI, Basel, Switzerland. This article is an open access article distributed under the terms and conditions of the Creative Commons Attribution (CC BY) license (http://creativecommons.org/licenses/by/4.0/).
Share and Cite
Ertasgin, G.; Whaley, D.M.; Ertugrul, N.; Soong, W.L. Analysis of DC Link Energy Storage for Single-Phase Grid-Connected PV Inverters. Electronics 2019, 8, 601. https://doi.org/10.3390/electronics8060601
Ertasgin G, Whaley DM, Ertugrul N, Soong WL. Analysis of DC Link Energy Storage for Single-Phase Grid-Connected PV Inverters. Electronics. 2019; 8(6):601. https://doi.org/10.3390/electronics8060601
Chicago/Turabian StyleErtasgin, Gurhan, David M. Whaley, Nesimi Ertugrul, and Wen L. Soong. 2019. "Analysis of DC Link Energy Storage for Single-Phase Grid-Connected PV Inverters" Electronics 8, no. 6: 601. https://doi.org/10.3390/electronics8060601
APA StyleErtasgin, G., Whaley, D. M., Ertugrul, N., & Soong, W. L. (2019). Analysis of DC Link Energy Storage for Single-Phase Grid-Connected PV Inverters. Electronics, 8(6), 601. https://doi.org/10.3390/electronics8060601







