Non-Contact Geomagnetic Detection Using Improved Complete Ensemble Empirical Mode Decomposition with Adaptive Noise and Teager Energy Operator
Abstract
1. Introduction
2. Relevant Principles
2.1. EMD
- (1)
- Identify all extremum points and define an upper and lower envelope, and , respectively, using a cubic spline interpolation.
- (2)
- Compute the mean envelope.
- (3)
- Calculate the first IMF candidate as follows:
- (4)
- If satisfies IMF conditions, define . Otherwise, treat as the new signal and repeat the above sifting procedure times until an is IMF, as follows:However, continuous sifting to calculate IMF is not possible in reality. The stopping criterion is defined to finish the iteration.If the ( is set to 0.2 in this study), the iteration will be stopped.
- (5)
- Let replace and repeat Steps (1) to (4) to obtain the next IMF. The EMD process will be terminated when the residue is a monotonic function. Finally, the signal can be defined as:
2.2. CEEMDAN
- (1)
- Decompose to obtain the first IMF using EMD.where is the amplitude of the added white noise, is the white noise under the circumstances of the jth ensemble trials, and N is a total number of ensemble trials.
- (2)
- Calculate the first residue.
- (3)
- Decompose to acquire the first mode and compute the second IMF.
- (4)
- For , compute the ith residue.
- (5)
- Decompose to acquire the first mode and calculate the (i + 1)th IMF as:where represents the ith IMF by EMD.
- (6)
- Repeat Steps (4) to (5) until the residue no longer be decomposed. The signal can be represented as:
2.3. IMF Selection Method Based on the Hurst Exponent
- (1)
- For times series , set the window size to .
- (2)
- Compute the standard deviation of and record the point .
- (3)
- Find the average data of the adjacent points and overwrite the original data.
- (4)
- Rescale appropriately as .
- (5)
- When , repeat Steps (2) to (4).
- (6)
- Plot the log–log graph and calculate its slope as Hurst exponent h.
2.4. Salp Swarm Algorithm
2.5. Teager Energy Operator
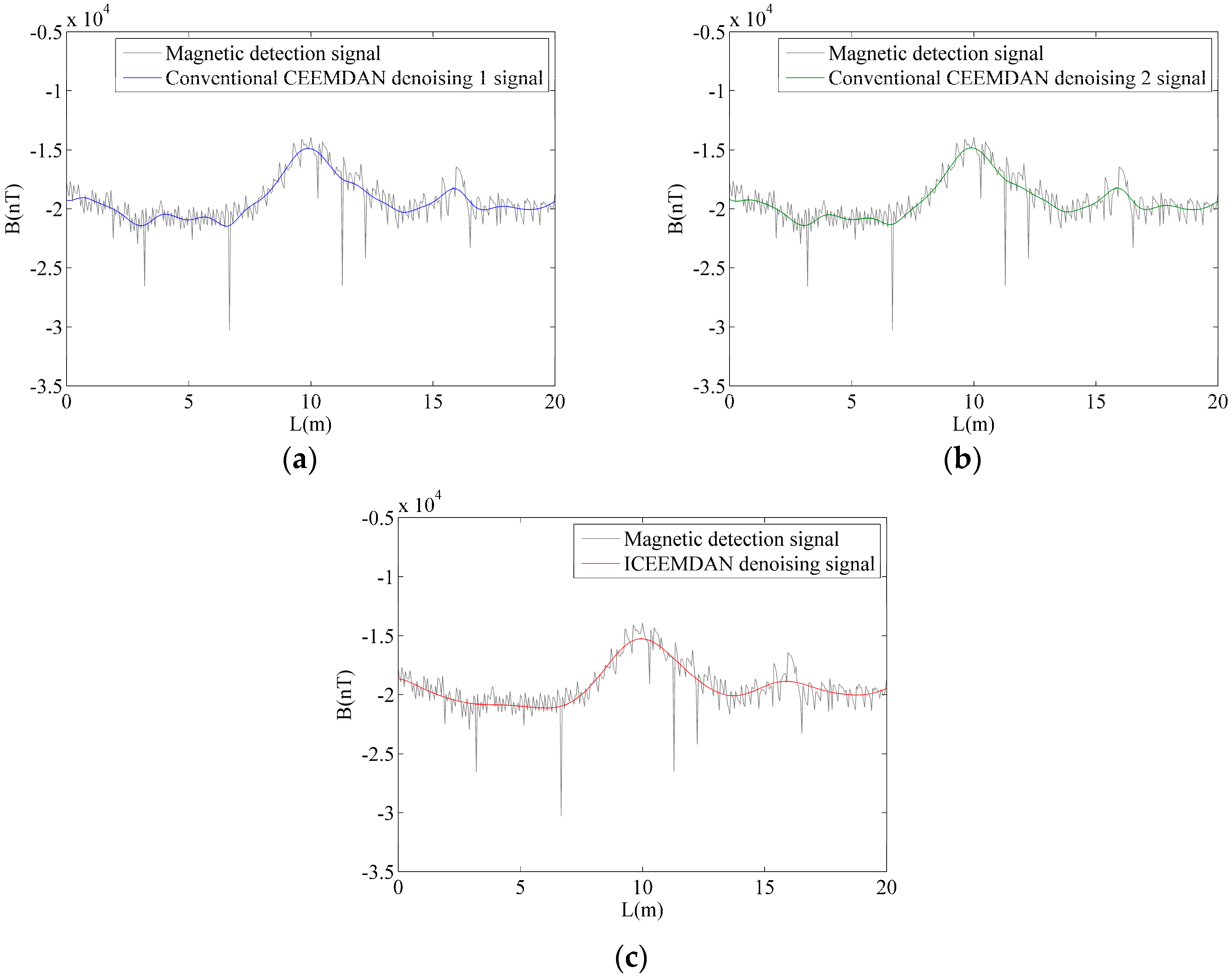
3. Geomagnetic Detection for Pipeline Defects Using ICEEMDAN and TEO
- (1)
- Decompose the magnetic detection signal by CEEMDAN, with an initial noise amplitude and ensemble trial number, into a series of IMFs. Signal IMFs are then extracted using the Hurst exponent to reconstruct the preliminary filtered signal.
- (2)
- Calculate the maximum value (except for the zero point) of the normalized autocorrelation function of the preliminary filtered signal as the SSA fitness and update the values of two parameters using SSA iterations.
- (3)
- Repeat Steps (1) to (2) until the optimal amplitude of added noise and the number of ensemble trials to maximize fitness is found and their corresponding filtered signal is a final clean magnetic signal.
- (4)
- Use gradient calculation and TEO to amplify the amplitude of defect signal and then identify pipeline defects.
4. Numerical Simulation
5. Experiment Verification
6. Conclusions
Author Contributions
Funding
Conflicts of Interest
References
- Miro, J.V.; Ulapane, N.; Shi, L.; Hunt, D.; Behrens, M. Robotic pipeline wall thickness evaluation for dense nondestructive testing inspection. J. Field Robot. 2018, 35, 1293–1310. [Google Scholar] [CrossRef]
- Mirats-Tur, J.M.; Garthwaite, W. Robotic devices for water main in-pipe inspection: A survey. J. Field Robot. 2010, 27, 491–508. [Google Scholar] [CrossRef]
- Hari, K.C.; Nabi, M.; Kulkarni, S.V. Improved FEM model for defect-shape construction from MFL signal by using genetic algorithm. Iet Sci. Meas. Technol. 2007, 1, 196–200. [Google Scholar] [CrossRef]
- Afzal, M.; Udpa, S. Advanced signal processing of magnetic flux leakage data obtained from seamless gas pipeline. NDT&E Int. 2002, 35, 449–457. [Google Scholar] [CrossRef]
- Ulapane, N.; Alempijevic, A.; Calleja, T.V.; Miro, J.V. Pulsed eddy current sensing for critical pipe condition assessment. Sensors 2017, 17, 2208. [Google Scholar] [CrossRef] [PubMed]
- Miro, J.V.; Hunt, D.; Ulapane, N.; Behrens, M. Towards automatic robotic NDT dense mapping for pipeline integrity inspection. In Proceedings of the Robotics Field and Service, ETH Zurich, Switzerland, 12–15 September 2017. [Google Scholar] [CrossRef]
- Skjelvareid, M.H.; Birkelund, Y.; Larsen, Y. Internal pipeline inspection using virtual source synthetic aperture ultrasound imaging. NDT&E Int. 2013, 54, 151–158. [Google Scholar] [CrossRef]
- Yeomans, M.; Ashworth, B.; Strohmeier, U. Development of 36” EmatScan® crack detection (CD) tool. In Proceedings of the 4th International Pipeline Conference, Calgary, AB, Canada, 29 September–3 October 2002. [Google Scholar] [CrossRef]
- Liu, Z.; Kleiner, Y. State of the art review of inspection technologies for condition assessment of water pipes. Measurement 2013, 46, 1–15. [Google Scholar] [CrossRef]
- Dang, B.; Yang, L.; Liu, C.; Zheng, Y.; Li, H.; Dang, R.; Sun, B. A uniform linear multi-coil array-based borehole transient electromagnetic system for non-destructive evaluations of downhole casings. Sensors 2018, 18, 2707. [Google Scholar] [CrossRef] [PubMed]
- Caleyo, F.; Valor, A.; Alfonso, L.; Vidal, J.; Perez-Baruchd, E.; Hallena, J.M. Bayesian analysis of external corrosion data of non-piggable underground pipelines. Corros. Sci. 2015, 90, 33–45. [Google Scholar] [CrossRef]
- Li, C.C.; Chen, K.; Liao, A. Quantitative study of signal characteristics of non-contact pipeline magnetic testing. Insight 2015, 57, 324–330. [Google Scholar] [CrossRef]
- Li, Z.; Jarvis, R.; Nagy, P.B.; Dixon, S.; Cawley, P. Experimental and simulation methods to study the magnetic tomography method (Mtm) for pipe defect detection. NDT&E Int. 2017, 92, 59–66. [Google Scholar] [CrossRef]
- Dougherty, E.R.; Kraus, E.J. Shape analysis and reduction of the morphological basis for digital moving-average filters. SIAM J. Appl. Math. 1991, 51, 1764–1781. [Google Scholar] [CrossRef]
- Goldstein, J.S.; Reed, I.S.; Scharf, L.L. A multistage representation of the wiener filter based on orthogonal projections. IEEE Trans. Inf. Theory 1998, 44, 2943–2959. [Google Scholar] [CrossRef]
- Poornachandra, S. Wavelet-based denoising using subband dependent threshold for ECG signals. Digit. Signal. Process. 2008, 18, 49–55. [Google Scholar] [CrossRef]
- Huang, N.E.; Shen, Z.; Long, S.R.; Wu, M.C.; Shih, H.H.; Zheng, Q.A.; Yen, N.C.; Tung, C.C.; Liu, H.H. The empirical mode decomposition and the Hilbert spectrum for nonlinear and nonstationary time series analysis. Proc. R. Soc. A 1998, 454, 903–995. [Google Scholar] [CrossRef]
- Khaldi, K.; Boudraa, A.O.; Komaty, A. Speech enhancement using empirical mode decomposition and the Teager-Kaiser energy operator. J. Acoust. Soc. Am. 2014, 135, 451–459. [Google Scholar] [CrossRef] [PubMed]
- Kim, K.Y.; Kim, Y. A comparison of sea level projections based on the observed and reconstructed sea level data around the Korean Peninsula. Clim. Chang. 2017, 142, 23–36. [Google Scholar] [CrossRef]
- Wang, X.; Chen, Z.; Luo, J. ECG compression based on combining of EMD and wavelet transform. Electron. Lett. 2016, 52, 23–36. [Google Scholar] [CrossRef]
- Yang, G.; Liu, Y.; Wang, Y.; Zhu, Z. EMD interval thresholding denoising based on similarity measure to select relevant modes. Signal Process. 2015, 109, 95–109. [Google Scholar] [CrossRef]
- Liu, P.; Huang, W.; Zhang, W.; Li, F. An EMD-SG algorithm for spectral noise reduction of FBG-FP static strain sensor. IEEE Photonics Technol. Lett. 2017, 29, 814–817. [Google Scholar] [CrossRef]
- Flandrin, P.; Rilling, G.; Goncalves, P. Empirical mode decomposition as a filter bank. IEEE Signal Proc. Lett. 2004, 11, 112–114. [Google Scholar] [CrossRef]
- Wu, Z.; Huang, N.E. Ensemble empirical mode decomposition: A noise-assisted data analysis method. Adv. Adapt. Data Anal. 2009, 1, 1–41. [Google Scholar] [CrossRef]
- Wang, J.; He, X.; Ferreira, V.G. Ocean wave separation using CEEMD-Wavelet in GPS wave measurement. Sensors 2015, 15, 19416–19428. [Google Scholar] [CrossRef] [PubMed]
- Yeh, J.R.; Shieh, J.S.; Huang, N.E. Complementary ensemble empirical mode decomposition: A novel noise enhanced data analysis method. Adv. Adapt. Data Anal. 2010, 2, 135–156. [Google Scholar] [CrossRef]
- Torres, M.E.; Colominas, M.A.; Schlotthauer, G.; Flandrin, P. A complete ensemble empirical mode decomposition with adaptive noise. In Proceedings of the IEEE International Conference on Acoustics, Speech and Signal Process, Prague, Czech Republic, 22–27 May 2011. [Google Scholar] [CrossRef]
- Kuai, M.; Cheng, G.; Pang, Y.; Li, Y. Research of planetary gear fault diagnosis based on permutation entropy of CEEMDAN and ANFIS. Sensors 2018, 18, 782. [Google Scholar] [CrossRef] [PubMed]
- Olvera-Guerrero, O.A.; Prieto-Guerrero, A.; Espinosa-Paredes, G. Decay ratio estimation in BWRs based on the improved complete ensemble empirical mode decomposition with adaptive noise. Ann. Nucl. Energy 2017, 102, 280–296. [Google Scholar] [CrossRef]
- Dang, S.W.; Han, H.W.; Wang, K.L.; Cheng, P.Z. Application of different emd-based denosing methods for fiber optic gyro. In Proceedings of the International Conference on Communication and Information Processing, Singapore, 26–29 November 2016. [Google Scholar] [CrossRef]
- Li, Y.X.; Li, Y.A.; Chen, X.; Yu, J.; Yang, H.; Wang, L. A new underwater acoustic signal denoising technique based on CEEMDAN, Mutual Information, Permutation Entropy, and Wavelet Threshold Denoising. Entropy 2018, 20, 563. [Google Scholar] [CrossRef]
- Bai, L.L.; Han, Z.N.; Li, Y.F.; Ning, S.H. A hybrid de-noising algorithm for the gear transmission system based on CEEMDAN-PE-TFPF. Entropy 2018, 20, 361. [Google Scholar] [CrossRef]
- Li, C.; Zhan, L.; Shen, L. Friction signal denoising using complete ensemble EMD with adaptive noise and mutual information. Entropy 2015, 17, 5965–5979. [Google Scholar] [CrossRef]
- Huang, W.; Cai, N.; Xie, W.; Ye, Q.; Yang, Z.J. ECG baseline wander correction based on ensemble empirical mode decomposition with complementary adaptive noise. J. Med. Imaging Health Inf. 2015, 5, 1796–1799. [Google Scholar] [CrossRef]
- Kaiser, J.F. On a simple algorithm to calculate the ‘Energy’ of a signal. In Proceedings of the International Conference on Acoustics, Speech, and Signal Processing, Albuquerque, NM, USA, 3–6 April 1990. [Google Scholar] [CrossRef]
- Dubov, A.A.; Dubov, A.A.; Kolokolnikov, S.M. Non-contact magnetometric diagnostics of potentially hazardous sections of buried and insulated pipelines susceptible to failure. Weld. World 2017, 61, 107–115. [Google Scholar] [CrossRef]
- Kolokolnikov, S.M.; Dubov, A.A.; Dubov, A.A. Non-contact magnetometric diagnostics of welded joints of main gas pipelines susceptible to sudden failures. In Proceedings of the 19th World Conference on Non-Destructive Testing, Munich, Germany, 13–17 June 2016. [Google Scholar]
- Asadi, R.; Fell, H. Improving the accuracy of speech emotion recognition using acoustic landmarks and Teager energy operator features. J. Acoust. Soc. Am. 2015, 137, 2303. [Google Scholar] [CrossRef]
- Rodríguez, P.H.; Alonso, J.B.; Ferrer, M.A.; Travieso, C.M. Application of the Teager-Kaiser energy operator in bearing fault diagnosis. ISA Trans. 2013, 52, 278–284. [Google Scholar] [CrossRef] [PubMed]
- Kamwa, I.; Pradhan, A.K.; Joos, G. Robust detection and analysis of power system oscillations using the Teager-Kaiser energy operator. IEEE Trans. Power Syst. 2011, 26, 323–333. [Google Scholar] [CrossRef]
- Nguyen, H.P.; Kim, J. Adaptive ECG denoising using genetic algorithm-based thresholding and ensemble empirical mode decomposition. Inf. Sci. 2016, 373, 499–511. [Google Scholar] [CrossRef]
- Yan, J.; Lu, L. Improved Hilbert—Huang transform based weak signal detection methodology and its application on incipient fault diagnosis and ECG signal analysis. Signal Process. 2014, 9, 74–87. [Google Scholar] [CrossRef]
- Yang, X.; Luo, M.Z.; Li, T.; Song, J.B. ECG signal de-noising and baseline wander correction based on CEEMDAN and wavelet threshold. Sensors 2017, 17, 2754. [Google Scholar] [CrossRef]
- Dai, S.Y.; Niu, D.X.; Li, Y. Daily peak load forecasting based on complete ensemble empirical mode decomposition with adaptive noise and support vector machine optimized by modified grey wolf optimization algorithm. Energies 2018, 11, 163. [Google Scholar] [CrossRef]
- Zhang, C.; Li, Y.; Lin, H.; Yang, B. Signal preserving and seismic random noise attenuation by Hurst exponent based time–frequency peak filtering. Geophys. J. Int. 2015, 203, 901–909. [Google Scholar] [CrossRef]
- Mielniczuk, J.; Wojdy, O.P. Estimation of Hurst exponent revisited. Comput. Stat. Data Anal. 2007, 51, 4510–4525. [Google Scholar] [CrossRef]
- Mandelbrod, B.B.; Van Ness, J.W. Fractional Brownian motions, fractional noises and applications. SIAM Rev. 1968, 10, 422–437. [Google Scholar] [CrossRef]
- Li, M.; Li, J.; Jiang, G.; Zhang, J. Rolling bearing fault diagnosis based on EEMD and sparse decomposition. In Proceedings of the Prognostics & System Health Management Conference, Harbin, China, 9–12 July 2017. [Google Scholar] [CrossRef]
- Mirjalili, S.; Gandomi, A.H.; Mirjalili, S.Z. Salp swarm algorithm: A bio-inspired optimizer for engineering design problems. Adv. Eng. Softw. 2017, 114, 163–191. [Google Scholar] [CrossRef]
- Bahoura, M.; Rouat, J. Wavelet speech enhancement based on the Teager energy operator. IEEE Signal Proc. Lett. 2001, 8, 10–12. [Google Scholar] [CrossRef]
- Song, Q.; Ding, W.; Peng, H.; Gu, J.; Shuai, J. Pipe defect detection with remote magnetic inspection and wavelet analysis. Wirel. Pers. Commun. 2017, 95, 1–15. [Google Scholar] [CrossRef]
- Lefebvre, D.; Arsenault, H.H.; Garcia-Martinez, P.; Ferreira, C. Recognition of unsegmented targets invariant under transformations of intensity. Appl. Opt. 2002, 41, 6135–6142. [Google Scholar] [CrossRef] [PubMed]
- Yigit, E.; Demirci, S.; Ozdemir, C.; Tekbas, M. Short-range ground-based synthetic aperture radar imaging: Performance comparison between frequency-wavenumber migration and back-projection algorithms. J. Appl. Remote. Sems. 2013, 7, 073483. [Google Scholar] [CrossRef]
- Leistedt, S.; Dumont, M.; Lanquart, J.P.; Jurysta, F.; Linkowski, P. Characterization of the sleep EEG in acutely depressed men using detrended fluctuation analysis. Clin. Neurophysiol. 2007, 118, 940–950. [Google Scholar] [CrossRef] [PubMed]
- Zhan, L.; Li, C. A comparative study of empirical mode decomposition-based filtering for impact signal. Entropy 2016, 19, 13. [Google Scholar] [CrossRef]
- Ma, W.; Yin, S.; Jiang, C.; Zhang, Y.S. Variational mode decomposition denoising combined with the Hausdorff distance. Rev. Sci. Instrum. 2017, 88, 035109. [Google Scholar] [CrossRef] [PubMed]












| Indexes | Conventional CEEMDAN Denoising 1 | Conventional CEEMDAN Denoising 2 | ICEEMDAN Denoising |
|---|---|---|---|
| SNR (dB) | 6.0102 | 12.7882 | 13.6716 |
| RMSE | 1.5865 | 0.7226 | 0.6527 |
| Indexes | Conventional CEEMDAN Denoising 1-TEO | Conventional CEEMDAN Denoising 2-TEO | ICEEMDAN-Gradient | Proposed Method |
|---|---|---|---|---|
| Location Error (m) | 0.9 | 0.2 | 0.2 | 0.1 |
| PSLR (dB) | −0.6731 | −0.6464 | −2.8358 | −6.6745 |
| ISLR (dB) | 1.0635 | −0.0468 | −3.5057 | −11.5363 |
| IMFs | Hurst Exponent | IMFs | Hurst Exponent |
|---|---|---|---|
| IMF1 | 0.2389 | IMF6 | 0.5923 |
| IMF2 | 0.0820 | IMF7 | 0.7761 |
| IMF3 | 0.2506 | IMF8 | 0.8751 |
| IMF4 | 0.3290 | IMF9 | 0.9942 |
| IMF5 | 0.4806 | IMF10 | 1 |
| Indexes | Conventional CEEMDAN Denoising 1-TEO | Conventional CEEMDAN Denoising 2-TEO | ICEEMDAN-Gradient | Proposed Method |
|---|---|---|---|---|
| Location Error (m) | 7.33 | 7.24 | 0.57 | 0.33 |
| PSLR (dB) | −0.2513 | −2.4639 | −1.2647 | −6.6745 |
| ISLR (dB) | 5.2464 | 0.6247 | 0.0247 | −6.3203 |
© 2019 by the authors. Licensee MDPI, Basel, Switzerland. This article is an open access article distributed under the terms and conditions of the Creative Commons Attribution (CC BY) license (http://creativecommons.org/licenses/by/4.0/).
Share and Cite
Zhang, T.; Wang, X.; Chen, Y.; Ullah, Z.; Ju, H.; Zhao, Y. Non-Contact Geomagnetic Detection Using Improved Complete Ensemble Empirical Mode Decomposition with Adaptive Noise and Teager Energy Operator. Electronics 2019, 8, 309. https://doi.org/10.3390/electronics8030309
Zhang T, Wang X, Chen Y, Ullah Z, Ju H, Zhao Y. Non-Contact Geomagnetic Detection Using Improved Complete Ensemble Empirical Mode Decomposition with Adaptive Noise and Teager Energy Operator. Electronics. 2019; 8(3):309. https://doi.org/10.3390/electronics8030309
Chicago/Turabian StyleZhang, Tao, Xinhua Wang, Yingchun Chen, Zia Ullah, Haiyang Ju, and Yizhen Zhao. 2019. "Non-Contact Geomagnetic Detection Using Improved Complete Ensemble Empirical Mode Decomposition with Adaptive Noise and Teager Energy Operator" Electronics 8, no. 3: 309. https://doi.org/10.3390/electronics8030309
APA StyleZhang, T., Wang, X., Chen, Y., Ullah, Z., Ju, H., & Zhao, Y. (2019). Non-Contact Geomagnetic Detection Using Improved Complete Ensemble Empirical Mode Decomposition with Adaptive Noise and Teager Energy Operator. Electronics, 8(3), 309. https://doi.org/10.3390/electronics8030309

