Practical Energy Harvesting for Batteryless Ambient Backscatter Sensors
Abstract
:1. Introduction
2. Tag Communication Setup
2.1. Tag Operation
2.2. Signal Reception
3. Power Supply
3.1. Energy Harvesting IC
3.2. Energy Harvesting Using a Single Photodiode
3.2.1. Harvesting Energy from a Photodiode
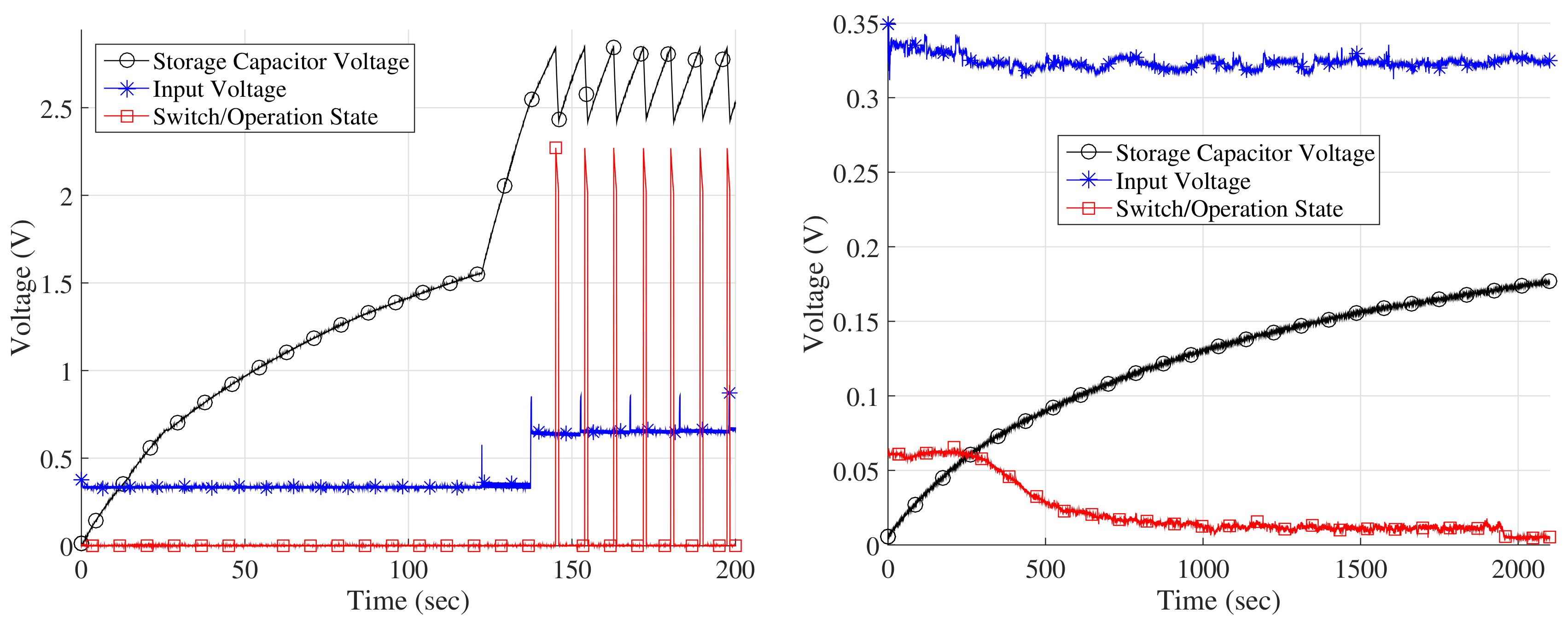
3.2.2. Performance
3.3. RF Energy Harvesting Using Rectennas
3.3.1. RF Energy Harvesting
3.3.2. Performance
3.4. Comparison of the Methods
4. Conclusions
Author Contributions
Funding
Conflicts of Interest
References
- Vannucci, G.; Bletsas, A.; Leigh, D. A software-defined radio system for backscatter sensor networks. IEEE Trans. Wirel. Commun. 2008, 7, 2170–2179. [Google Scholar] [CrossRef]
- Kampianakis, E.; Kimionis, J.; Tountas, K.; Bletsas, A. A remotely programmable modular testbed for backscatter sensor network research. In Real-World Wireless Sensor Networks: Proceedings of the 5th International Workshop; Springer: Cham, Switzerland, 2014; pp. 153–161. [Google Scholar]
- Kampianakis, E.; Kimionis, J.; Tountas, K.; Konstantopoulos, C.; Koutroulis, E.; Bletsas, A. Wireless environmental sensor networking with analog scatter radio timer principles. IEEE Sens. J. 2014, 14, 3365–3376. [Google Scholar] [CrossRef]
- Fasarakis-Hilliard, N.; Alevizos, P.N.; Bletsas, A. Coherent detection and channel coding for bistatic scatter radio sensor networking. IEEE Trans. Commun. 2015, 63, 1798–1810. [Google Scholar] [CrossRef]
- Vougioukas, G.; Daskalakis, S.N.; Bletsas, A. Could battery-less scatter radio tags achieve 270-meter range? In Proceedings of the IEEE Wireless Power Transfer Conference (WPTC), Aveiro, Portugal, 5–6 May 2016; pp. 1–3. [Google Scholar]
- Vougioukas, G.; Bletsas, A. 24 μW 26 m range batteryless backscatter sensors with FM remodulation and selection diversity. In Proceedings of the IEEE International Conference on RFID Technology Application (RFID-TA), Warsaw, Poland, 20–22 September 2017. [Google Scholar]
- Wang, A.; Iyer, V.; Talla, V.; Smith, J.R.; Gollakota, S. FM backscatter: Enabling connected cities and smart fabrics. In Proceedings of the 14th USENIX Symposium on Networked Systems Design and Implementation, Boston, MA, USA, 27–29 March 2017. [Google Scholar]
- Liu, V.; Parks, A.; Talla, V.; Gollakota, S.; Wetherall, D.; Smith, J.R. Ambient backscatter: Wireless communication out of thin air. In Proceedings of the ACM SIGCOMM 2013 Conference on SIGCOMM, Hong Kong, China, 12–16 August 2013; pp. 39–50. [Google Scholar]
- Assimonis, S.D.; Daskalakis, S.-N.; Bletsas, A. Sensitive and efficient RF harvesting supply for batteryless backscatter sensor networks. IEEE Trans. Microw. Theory Tech. 2016, 64, 1327–1338. [Google Scholar] [CrossRef]
- Texas Instruments Inc. bq25504 Ultra Low-Power Boost Converter With Battery Management for Energy Harvester Applications. Available online: http://www.ti.com/lit/ds/symlink/bq25504.pdf (accessed on 28 February 2018).
- Guilar, N.J.; Kleeburg, T.J.; Chen, A.; Yankelevich, D.R.; Amirtharajah, R. Integrated solar energy harvesting and storage. IEEE Trans. VLSI Syst. 2009, 17, 627–637. [Google Scholar] [CrossRef]
- Fong, E.G.; Guilar, N.J.; Kleeburg, T.J.; Pham, H.; Yankelevich, D.R.; Amirtharajah, R. Integrated energy-harvesting photodiodes with diffractive storage capacitance. IEEE Trans. VLSI Syst. 2013, 21, 486–497. [Google Scholar] [CrossRef]
















| Lighting Condition | Full Sunshine | Partial Sunshine | Cloudy | Phone (3 cm) | Phone (direc.) |
|---|---|---|---|---|---|
| Cold Start Duration (s) |
| Distance from RF Source (m) | 1.5 | 2.5 |
|---|---|---|
| Single Rectenna | 145 s | FAIL |
| Two Rectennas in Series | s | s |
| Two Rectennas in Parallel | s | s |
© 2018 by the authors. Licensee MDPI, Basel, Switzerland. This article is an open access article distributed under the terms and conditions of the Creative Commons Attribution (CC BY) license (http://creativecommons.org/licenses/by/4.0/).
Share and Cite
Vougioukas, G.; Dimitriou, A.; Bletsas, A.; Sahalos, J. Practical Energy Harvesting for Batteryless Ambient Backscatter Sensors. Electronics 2018, 7, 95. https://doi.org/10.3390/electronics7060095
Vougioukas G, Dimitriou A, Bletsas A, Sahalos J. Practical Energy Harvesting for Batteryless Ambient Backscatter Sensors. Electronics. 2018; 7(6):95. https://doi.org/10.3390/electronics7060095
Chicago/Turabian StyleVougioukas, Georgios, Antonis Dimitriou, Aggelos Bletsas, and John Sahalos. 2018. "Practical Energy Harvesting for Batteryless Ambient Backscatter Sensors" Electronics 7, no. 6: 95. https://doi.org/10.3390/electronics7060095
APA StyleVougioukas, G., Dimitriou, A., Bletsas, A., & Sahalos, J. (2018). Practical Energy Harvesting for Batteryless Ambient Backscatter Sensors. Electronics, 7(6), 95. https://doi.org/10.3390/electronics7060095
