40 dB-Isolation, 1.85 dB-Insertion Loss Full CMOS SPDT Switch with Body-Floating Technique and Ultra-Small Active Matching Network Using On-Chip Solenoid Inductor for BLE Applications
Abstract
1. Introduction
2. Circuits Implementation
2.1. SPDT Switch Circuit Design
2.2. Solenoid Inductor Design
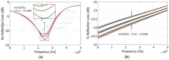
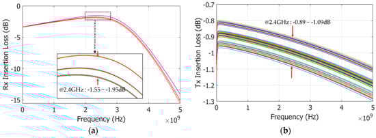
3. Results and Discussion
4. Conclusions
Author Contributions
Funding
Acknowledgments
Conflicts of Interest
References
- Peng, C.; Qian, K.; Wang, C. Design and Application of a VOC-Monitoring System Based on a ZigBee Wireless Sensor Network. IEEE Sens. J. 2015, 15, 2255–2268. [Google Scholar] [CrossRef]
- Han, J.; Choi, C.; Lee, I. More efficient home energy management system based on ZigBee communication and infrared remote controls. IEEE Trans. Consum. Electron. 2011, 57, 85–89. [Google Scholar]
- Xiao, Y.; Cui, Y.; Savolainen, P.; Siekkinen, M.; Wang, A.; Yang, L.; Ylä-Jääski, A.; Tarkoma, S. Modeling Energy Consumption of Data Transmission over Wi-Fi. IEEE Trans. Mob. Comput. 2014, 13, 1760–1773. [Google Scholar] [CrossRef]
- Yu, H.; Cheung, H.M.; Huang, L.; Huang, J. Power-Delay Tradeoff with Predictive Scheduling in Integrated Cellular and Wi-Fi Networks. IEEE J. Sel. Areas Commun. 2016, 34, 735–742. [Google Scholar] [CrossRef]
- Ensworth, J.F.; Reynolds, M.S. BLE-Backscatter: Ultralow-Power IoT Nodes Compatible with Bluetooth 4.0 Low Energy (BLE) Smartphones and Tablets. IEEE Trans. Microwave Theory Tech. 2017, 65, 3360–3368. [Google Scholar] [CrossRef]
- Jeon, W.S.; Dwijaksara, M.H.; Jeong, D.G. Performance Analysis of Neighbor Discovery Process in Bluetooth Low-Energy Networks. IEEE Trans. Veh. Technol. 2017, 66, 1865–1871. [Google Scholar] [CrossRef]
- Liang, Z.; Li, B.; Huang, M.; Zheng, Y.; Ye, H.; Xu, K.; Deng, F. A Low Cost BLE Transceiver with RX Matching Network Reusing PA Load Inductor for WSNs Applications. Sensors 2017, 17, 895. [Google Scholar] [CrossRef] [PubMed]
- Hou, B.; Chen, H.; Wang, Z.; Mo, J.; Chen, J.; Yu, F.; Wang, W. A 11 mW 2.4 GHz 0.18 µm CMOS Transceivers for Wireless Sensor Networks. Sensors 2017, 17, 223. [Google Scholar] [CrossRef] [PubMed]
- Park, S.; Lee, J.-Y.; Lee, J.-Y.; Yang, J.-R.; Beak, D. 25–34 GHz Single-Pole, Double-Throw CMOS Switches for a Ka-Band Phased-Array Transceiver. Appl. Sci. 2018, 8, 196. [Google Scholar] [CrossRef]
- Papotto, G.; Carrara, F.; Finocchiaro, A.; Palmisano, G. A 90-nm CMOS 5-Mbps Crystal-Less RF-Powered Transceiver for Wireless Sensor Network Nodes. IEEE J. Solid-State Circuits 2014, 49, 335–346. [Google Scholar] [CrossRef]
- Kawano, T.; Goto, K.; Ishihara, T. Asymptotic solution with higher-order terms for scattered fields by an impedance discontinuity of a planar impedance surface. In Proceedings of the 2011 IEEE International Symposium on Antennas and Propagation (APSURSI), Spokane, WA, USA, 3–8 July 2011; pp. 2503–2506. [Google Scholar]
- Cetindogan, B.; Ustundag, B.; Turkmen, E.; Wietstruck, M.; Kaynak, M.; Gurbuz, Y. A D-Band SPDT Switch Utilizing Reverse-Saturated SiGe HBTs for Dicke-Radiometers. In Proceedings of the German Microwave Conference (GeMiC), Freiburg, Germany, 12–14 March 2018. [Google Scholar]
- Lee, D.; Oh, S.J.; Kim, S.J.; Lee, C.H.; Song, C.H.; Kim, J.; Kim, W.S.; Kim, H.; Yoo, S.-S.; Hong, S.; et al. Low Power FSK Transceiver using ADPLL with direct modulation and integrated SPDT for BLE Application. In Proceedings of the 2016 IEEE Asian Solid-State Circuits Conference (A-SSCC), Toyama, Japan, 7–9 November 2016. [Google Scholar]
- Thome, F.; Ture, E.; Brückner, P.; Quay, R.; Ambacher, O. W-band SPDT switches in planar and tri-gate 100-nm gate-length GaN-HEMT technology. In Proceedings of the German Microwave Conference (GeMiC), Freiburg, Germany, 12–14 March 2018. [Google Scholar]
- Ulusoy, A.Ç.; Song, P.; Schmid, R.L.; Khan, W.T.; Kaynak, M.; Tillack, B.; Papapolymerou, J.; Cressler, J.D. A Low-Loss and High Isolation D-Band SPDT Switch Utilizing Deep-Saturated SiGe HBTs. IEEE Microwave Wireless Compon. Lett. 2014, 24, 400–402. [Google Scholar] [CrossRef]
- Sun, P.; Liu, P. Analysis of parasitic effects in triple-well CMOS SPDT switch. Electron. Lett. 2013, 49, 706–708. [Google Scholar] [CrossRef]
- Yeo, S.K.; Won, Y.S. X-band high-power HEMT SPDT switch with selectively anodised aluminum substrate. Electron. Lett. 2010, 46, 1627–1629. [Google Scholar] [CrossRef]
- Cheng, S.; Rantakari, P.; Malmqvist, R.; Samuelsson, C.; Vaha-Heikkila, T.; Rydberg, A.; Varis, J. Switched Beam Antenna Based on RF MEMS SPDT Switch on Quartz Substrate. IEEE Antennas Wirel. Propag. Lett. 2009, 8, 383–386. [Google Scholar] [CrossRef]
- Davulcu, M.; Özeren, E.; Kaynak, M.; Gurbuz, Y. A New 5–13 GHz Slow-Wave SPDT Switch with Reverse-Saturated SiGe HBTs. IEEE Microwave Wirel. Compon. Lett. 2017, 27, 581–583. [Google Scholar] [CrossRef]
- Yeh, M.C.; Tsai, Z.M.; Liu, R.C.; Lin, K.Y.; Chang, Y.T.; Huei, W. Design and Analysis for a Miniature CMOS SPDT Switch Using Body-Floating Technique to Improve Power Performance. IEEE Trans. Microwave Theory Tech. 2006, 54, 31–39. [Google Scholar]
- Beinart, R.; Nazarian, S. Effects of External Electrical and Magnetic Fields on Pacemakers and Defibrillators: From Engineering Principles to Clinical Practice. Circulation 2013, 128, 2799–2809. [Google Scholar] [CrossRef] [PubMed]
- Truong, T.K.N.; Lee, D.S.; Lee, K.Y. A Low Insertion Loss, High Isolation Switch Based on Single Pole Double Throw for 2.4GHz BLE Applications. IEIE Trans. Smart Process. Comput. 2016, 5, 164–168. [Google Scholar] [CrossRef]










| Components | Value |
|---|---|
| M1 | 640/280 µm |
| M2 | 400/280 µm |
| M3 | 576/280 µm |
| M4 | 80/280 µm |
| R | 15 kΩ |
| L1 | 1.1 nH |
| L2 | 9.9 nH |
| Work | Size (mm) | Insertion Loss (dB) | Isolation (dB) | Freq. (GHz) | Process |
|---|---|---|---|---|---|
| [17] | 4.4 × 3.1 * | 1.3 | 20.3 | 9.5 | GaAs |
| [18] | 21 × 8 * | 0.32 | 31.2 | 24 | RFMEMS |
| [19] | 0.77 × 0.82 * | 2.5 | 32 | 5 | SiGe |
| [20] | 0.2 × 0.15 * | 1.1 | 27 | 5.8 | CMOS |
| This Work | 0.21 × 0.11 ** | 1.85 | 39.1 | 2.4 | CMOS |
© 2018 by the authors. Licensee MDPI, Basel, Switzerland. This article is an open access article distributed under the terms and conditions of the Creative Commons Attribution (CC BY) license (http://creativecommons.org/licenses/by/4.0/).
Share and Cite
Nga, T.T.K.; Lee, D.; Kim, S.; Lee, M.; Hwang, K.; Yang, Y.; Lee, K.-Y. 40 dB-Isolation, 1.85 dB-Insertion Loss Full CMOS SPDT Switch with Body-Floating Technique and Ultra-Small Active Matching Network Using On-Chip Solenoid Inductor for BLE Applications. Electronics 2018, 7, 297. https://doi.org/10.3390/electronics7110297
Nga TTK, Lee D, Kim S, Lee M, Hwang K, Yang Y, Lee K-Y. 40 dB-Isolation, 1.85 dB-Insertion Loss Full CMOS SPDT Switch with Body-Floating Technique and Ultra-Small Active Matching Network Using On-Chip Solenoid Inductor for BLE Applications. Electronics. 2018; 7(11):297. https://doi.org/10.3390/electronics7110297
Chicago/Turabian StyleNga, Truong Thi Kim, DongSoo Lee, SungJin Kim, Minjae Lee, KeumCheol Hwang, Youngoo Yang, and Kang-Yoon Lee. 2018. "40 dB-Isolation, 1.85 dB-Insertion Loss Full CMOS SPDT Switch with Body-Floating Technique and Ultra-Small Active Matching Network Using On-Chip Solenoid Inductor for BLE Applications" Electronics 7, no. 11: 297. https://doi.org/10.3390/electronics7110297
APA StyleNga, T. T. K., Lee, D., Kim, S., Lee, M., Hwang, K., Yang, Y., & Lee, K.-Y. (2018). 40 dB-Isolation, 1.85 dB-Insertion Loss Full CMOS SPDT Switch with Body-Floating Technique and Ultra-Small Active Matching Network Using On-Chip Solenoid Inductor for BLE Applications. Electronics, 7(11), 297. https://doi.org/10.3390/electronics7110297

