An Unpowered Sensor Node for Real-Time Water Quality Assessment (Humic Acid Detection)
Abstract
1. Introduction
2. Materials and Methods
2.1. The Sensing Node
2.2. The Base Station
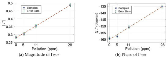
3. Experimental Verification
4. Conclusions
Author Contributions
Funding
Conflicts of Interest
Abbreviations
| QPD | Quadrature Power Divider |
| QPC | Quadrature Power Coupler |
| PC | Power Combiner |
| PD | Power Detector |
| LPF | Low Pass Filter |
| RSC | Reference Sensitive Circuits |
| SSC | Sample Sensitive Circuits |
References
- World Economic Forum. The Global Risks Report 2017; World Economic Forum: Geneva, Switzerland, 2017. [Google Scholar]
- Allwood, G.; Wild, G.; Hinckley, S. Fiber bragg grating sensors for mainstream industrial processes. Electronics 2017, 6, 92. [Google Scholar] [CrossRef]
- Khorshidi, B.; Thundat, T.; Fleck, B.A.; Sadrzadeh, M. A novel approach toward fabrication of high performance thin film composite polyamide membranes. Sci. Rep. 2016, 6, 22069. [Google Scholar] [CrossRef] [PubMed]
- Park, S.J.; Hong, J.T.; Choi, S.J.; Kim, H.S.; Park, W.K.; Han, S.T.; Park, J.Y.; Lee, S.; Kim, D.S.; Ahn, Y.H. Detection of microorganisms using terahertz metamaterials. Sci. Rep. 2014, 4, 4988. [Google Scholar] [CrossRef] [PubMed]
- Højris, B.; Christensen, S.C.B.; Albrechtsen, H.-J.; Smith, C.; Dahlqvist, M. A novel, optical, on-line bacteria sensor for monitoring drinking water quality. Sci. Rep. 2016, 6, 23935. [Google Scholar] [CrossRef] [PubMed]
- Culler, D.E.; Mulder, H. Smart sensors to network the world. Sci. Am. 2004, 290, 84–91. [Google Scholar] [CrossRef] [PubMed]
- Tucker, R.; Ruffini, M.; Valcarenghi, L.; Campelo, D.R.; Simeonidou, D.; Du, L.; Marinescu, M.-C.; Middleton, C.; Yin, S.; Forde, T. Connected OFCity: Technology innovations for a smart city project. IEEE/OSA J. Opt. Commun. Networking 2017, 9, A245–A255. [Google Scholar] [CrossRef]
- Bouk, S.H.; Ahmed, S.H.; Kim, D.; Song, H. Named-data-networking-based ITS for smart cities. IEEE Commun. Mag. 2017, 55, 105–111. [Google Scholar] [CrossRef]
- Li, M.; Lin, H.-J. Design and implementation of smart home control systems based on wireless sensor networks and power line communications. IEEE Trans. Ind. Electron. 2015, 62, 4430–4442. [Google Scholar] [CrossRef]
- Im, H.; Lee, S.; Naqi, M.; Lee, C.; Kim, S. Flexible PI-Based Plant Drought Stress Sensor for Real-Time Monitoring System in Smart Farm. Electronics 2018, 7, 114. [Google Scholar] [CrossRef]
- Mirzavand, R.; Honari, M.M.; Mousavi, P. High-Resolution Balanced Microwave Material Sensor with Extended Dielectric Range. IEEE Trans. Ind. Electron. 2017, 64, 1552–1560. [Google Scholar] [CrossRef]
- Mirzavand, R.; Honari, M.M.; Mousavi, P. High-Resolution Dielectric Sensor Based on Injection-Locked Oscillators. IEEE Sens. J. 2017, 18, 141–148. [Google Scholar] [CrossRef]
- Donelli, M.; Manekiya, M. Development of Environmental Long Range RFID Sensors Based on the Modulated Scattering Technique. Electronics 2018, 7, 106. [Google Scholar] [CrossRef]
- Visser, H.J.; Vullers, R.J.M. RF energy harvesting and transport for wireless sensor network applications: Principles and requirements. Proc. IEEE 2013, 101, 1410–1423. [Google Scholar] [CrossRef]
- Huang, H.; Chen, P.-Y.; Hung, C.-H.; Gharpurey, R.; Akinwande, D. A zero power harmonic transponder sensor for ubiquitous wireless μL liquid-volume monitoring. Sci. Rep. 2016, 6, 18795. [Google Scholar] [CrossRef] [PubMed]
- Zhang, J.; Tian, G.Y.; Marindra, A.M.J.; Sunny, A.I.; Zhao, A.B. A review of passive RFID tag antenna-based sensors and systems for structural health monitoring applications. Sensors 2017, 17, 265. [Google Scholar] [CrossRef] [PubMed]
- Linz, S.; Oesterle, F.; Talai, A.; Lindner, S.; Mann, S.; Barbon, F.; Weigel, R.; Koelpin, A. 100 GHz reflectometer for sensitivity analysis of MEMS sensors comprising an intermediate frequency six-port receiver. In Proceedings of the 2015 IEEE Topical Conference on Wireless Sensors and Sensor Networks (WiSNet), San Diego, CA, USA, 25–28 January 2015. [Google Scholar]
- Vinci, G.; Koelpin, A. Progress of six-port technology for industrial radar applications. In Proceedings of the 2016 IEEE Topical Conference on Wireless Sensors and Sensor Networks (WiSNet), Austin, TX, USA, 24–27 January 2016. [Google Scholar]
- Mann, S.; Linz, S.; Erhardt, S.; Lindner, S.; Lurz, F.; Maune, H.; Weigel, R.; Koelpin, A. Differential measuring dual six-port concept and antenna design for an inline foil thickness sensor. In Proceedings of the 2016 German Microwave Conference (GeMiC), Bochum, Germany, 14–16 March 2016. [Google Scholar]
- Kuo, H.-C.; Lin, C.-C.; Yu, C.-H.; Lo, P.-H.; Lyu, J.-Y.; Chou, C.-C.; Chuang, H.-R. A fully integrated 60-GHz CMOS direct-conversion Doppler radar RF sensor with clutter canceller for single-antenna noncontact human vital-signs detection. IEEE Trans. Microwave Theory Tech. 2016, 64, 1018–1028. [Google Scholar] [CrossRef]
- Von der Mark, S.; Huber, M.; Boeck, G. 24 GHz direct conversion transceiver for sensor networks. In Proceedings of the 2007 IEEE Wireless Communications and Networking Conference, Kowloon, China, 11–15 March 2007. [Google Scholar]
- Cook, B.S.; Vyas, R.; Kim, S.; Thai, T.; Le, T.; Traille, A.; Aubert, H.; Tentzeris, M.M. RFID-based sensors for zero-power autonomous wireless sensor networks. IEEE Sens. J. 2014, 14, 2419–2431. [Google Scholar] [CrossRef]
- Adhikary, M.; Biswas, A.; Akhtar, M.J. Active Integrated Antenna Based Permittivity Sensing Tag. IEEE sens. let. 2017, 1, 1–4. [Google Scholar] [CrossRef]
- Lobato-Morales, H.; Corona-Chavez, A.; Olvera-Cervantes, J.L.; Chávez-Pérez, R.A.; Medina-Monroy, J.L. Wireless sensing of complex dielectric permittivity of liquids based on the RFID. IEEE Trans. Microwave Theory Tech. 2014, 62, 2160–2167. [Google Scholar] [CrossRef]
- Bouaziz, S.; Chebila, F.; Traille, A.; Pons, P.; Aubert, H.; Tentzeris, M. Novel micro-fluidic structures for wireless passive temperature telemetry medical systems using radar interrogation techniques in Ka-band. IEEE Antennas Wirel. Propag. Lett. 2012, 11, 1706–1709. [Google Scholar] [CrossRef]
- Cole, A.J.; Young, P.R. Chipless Liquid Sensing Using a Slotted Cylindrical Resonator. IEEE Sens. J. 2017, 18, 149–156. [Google Scholar] [CrossRef]
- Li, J.; Bosisio, R.G.; Wu, K. Computer and measurement simulation of a new digital receiver operating directly at millimeter-wave frequencies. IEEE Trans. Microwave Theory Tech. 1995, 43, 2766–2772. [Google Scholar] [CrossRef]
- Mirzavand, R.; Mohammadi, A.; Abdipour, A. Low-cost implementation of broadband microwave receivers in Ka-band using multiport structures. IET Microwaves Antennas Propag. 2009, 3, 483–491. [Google Scholar] [CrossRef]
- Mirzavand, R.; Mohammadi, A.; Ghannouchi, F.M. Five-port microwave receiver architectures and applications. IEEE Commun. Mag. 2010, 48, 30–36. [Google Scholar] [CrossRef]
- Beikmirza, M.R.; Mohammadi, A.; Mirzavand, R. Power amplifier linearisation using digital predistortion and multi-port techniques. IET Sci. Meas. Technol. 2016, 10, 467–476. [Google Scholar] [CrossRef]
- Mirzavand, R.; Honari, M.M.; Mousavi, P. N-ZERO direct conversion wireless sensor based on six-port structures. In Proceedings of the 2017 IEEE MTT-S International Microwave Symposium (IMS), Honololu, HI, USA, 4–9 June 2017. [Google Scholar]
- Mirzavand, R.; Honari, M.M.; Mousavi, P. Direct-conversion sensor for wireless sensing networks. IEEE Trans. Ind. Electron. 2017, 64, 9675–9682. [Google Scholar] [CrossRef]
- Berube, D.; Ghannouchi, F.M.; Savard, P. A comparative study of four open-ended coaxial probe models for permittivity measurements of lossy dielectric/biological materials at microwave frequencies. IEEE Trans. Microwave Theory Tech. 1996, 44, 1928–1934. [Google Scholar] [CrossRef]
- Li, R.; Pan, B.; Laskar, J.; Tentzeris, M.M. A Novel Low-Profile Broadband Dual-Frequency Planar Antenna for Wireless Handsets. IEEE Trans. Antennas Propag. 2008, 56, 1155–1162. [Google Scholar] [CrossRef]
- La Gioia, A.; Porter, E.; Merunka, I.; Shahzad, A.; Salahuddin, S.; Jones, M.; O’Halloran, M. Open-Ended Coaxial Probe Technique for Dielectric Measurement of Biological Tissues: Challenges and Common Practices. Diagnostics 2018, 8, 40. [Google Scholar] [CrossRef] [PubMed]








| Parameter | (mm) | Parameter | (mm) |
|---|---|---|---|
| 1.13 | 5.00 | ||
| 1.91 | 18.8 | ||
| 0.62 | 8.50 | ||
| 0.30 | 22.4 | ||
| s | 0.70 | 10.2 |
| Parameter | (mm) | Parameter | (mm) | Parameter | (mm) | Parameter | (mm) |
|---|---|---|---|---|---|---|---|
| 1.13 | 5.00 | 1.13 | 7.00 | ||||
| 0.85 | 18.8 | 1.02 | 30.3 | ||||
| 0.85 | 7.20 | 1.13 | 4.80 | ||||
| 1.13 | 32.6 | 1.13 | 7.00 | ||||
| 0.3 | 4.40 | 0.25 | 4.3 | ||||
| 1.70 | 31.2 | 1.13 | 20.3 | ||||
| 36.5 | 10.1 | 2.525 | 8.67 | ||||
| 9.1 | 1.11 | 0.508 | 62 | ||||
| 0.47 | 111.67 | 1.22 | 2.225 | ||||
| 53.3 | 29.67 | 2.2 | 18.65 |
© 2018 by the authors. Licensee MDPI, Basel, Switzerland. This article is an open access article distributed under the terms and conditions of the Creative Commons Attribution (CC BY) license (http://creativecommons.org/licenses/by/4.0/).
Share and Cite
Mirzavand, R.; Honari, M.M.; Laribi, B.; Khorshidi, B.; Sadrzadeh, M.; Mousavi, P. An Unpowered Sensor Node for Real-Time Water Quality Assessment (Humic Acid Detection). Electronics 2018, 7, 231. https://doi.org/10.3390/electronics7100231
Mirzavand R, Honari MM, Laribi B, Khorshidi B, Sadrzadeh M, Mousavi P. An Unpowered Sensor Node for Real-Time Water Quality Assessment (Humic Acid Detection). Electronics. 2018; 7(10):231. https://doi.org/10.3390/electronics7100231
Chicago/Turabian StyleMirzavand, Rashid, Mohammad Mahdi Honari, Bahareh Laribi, Behnam Khorshidi, Mohtada Sadrzadeh, and Pedram Mousavi. 2018. "An Unpowered Sensor Node for Real-Time Water Quality Assessment (Humic Acid Detection)" Electronics 7, no. 10: 231. https://doi.org/10.3390/electronics7100231
APA StyleMirzavand, R., Honari, M. M., Laribi, B., Khorshidi, B., Sadrzadeh, M., & Mousavi, P. (2018). An Unpowered Sensor Node for Real-Time Water Quality Assessment (Humic Acid Detection). Electronics, 7(10), 231. https://doi.org/10.3390/electronics7100231

