Channel Estimation for RIS-Assisted Multi-User mmWave MIMO Systems via Joint Correlation
Abstract
1. Introduction
- 1.
- We propose a novel system model. Leveraging the typical fixed deployment of the RIS, we model its coverage area as being divided into multiple sub-regions, each with a pre-measurable and known number of scatterers, while users are distributed across these sub-regions. This model shifts the requirement from extensive user-specific information to minimal, static, scatterer-dependent prior knowledge, which is feasible to acquire.
- 2.
- We propose the measurement method for the number of scatterers in each sub-region.
- 3.
- We propose an algorithm to estimate the non-zero row support of the angular-domain sparse channel matrix by screening the high-energy vectors corresponding to this row support within the received signal matrix.
- 4.
- We propose a multi-user joint correlation allocation (MUJCA) algorithm. This algorithm leverages the multi-user joint correlation to jointly estimate the non-zero column support for all users, and then recovers the sparse angular-domain cascaded channels, which are finally transformed back to the spatial domain.
2. System Model and Compressed Sensing Problem Formulation
2.1. System Model
2.2. Compressed Sensing Problem Formulation
3. Proposed Cascaded Channel Estimation Method
3.1. The Structure of Sparsity in Rows and Columns of the Angular-Domain Cascaded Channels
3.2. The Proposed Multi-User Joint Correlation Allocation Algorithm
| Algorithm 1: Common Row Support Estimation |
|
| Algorithm 2: Multi-User Joint Correlation Allocation Algorithm |
|
3.3. Proposed Sub-Region Scatterer Measurement Method
| Algorithm 3: Sub-Region Scatterer Measurement |
|
3.4. Computational Complexity Analysis
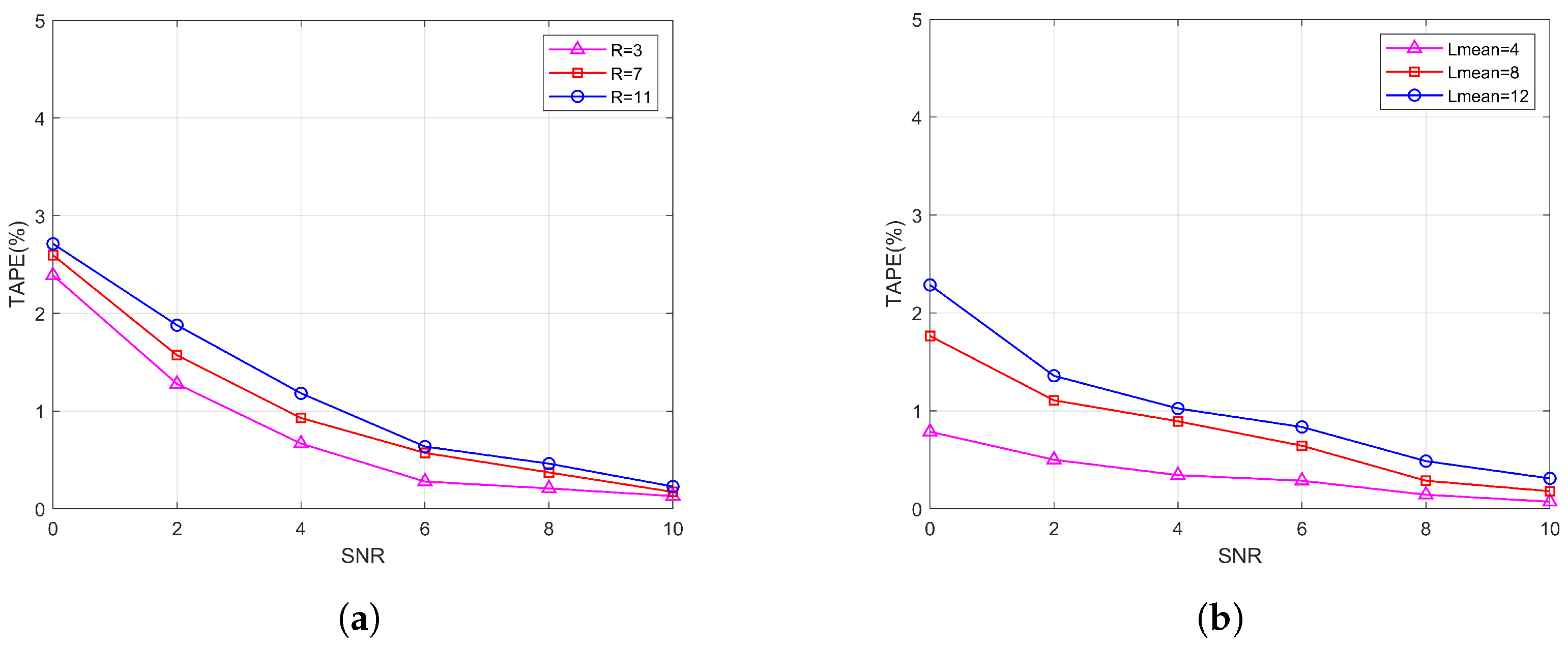
4. Results and Discussion
5. Conclusions
Author Contributions
Funding
Data Availability Statement
Acknowledgments
Conflicts of Interest
References
- Saad, W.; Bennis, M.; Chen, M. A Vision of 6G Wireless Systems: Applications, Trends, Technologies, and Open Research Problems. IEEE Netw. 2020, 34, 134–142. [Google Scholar] [CrossRef]
- Bagheri, A.; Safaei, M.; Araghi, A.; Shahabi, S.M.M.; Wang, F.; Khalily, M.; Tafazolli, R. Mathematical Model and Real-World Demonstration of Multi-Beam and Wide-Beam Reconfigurable Intelligent Surface. IEEE Access 2023, 11, 19613–19621. [Google Scholar] [CrossRef]
- Salah, M.; Elsherbini, M.M.; Omer, O.A. RIS-Focus: On the Optimal Placement of the Focal Plane for Outdoor Beam Routing. IEEE Access 2022, 10, 53053–53065. [Google Scholar] [CrossRef]
- Tang, J.; Du, X.; Chen, Z.; Zhang, X.; So, D.K.C.; Wong, K.K.; Chambers, J.A. Joint Sparsity and Low-Rank Minimization for Reconfigurable Intelligent Surface-Assisted Channel Estimation. IEEE Trans. Commun. 2024, 72, 1688–1700. [Google Scholar] [CrossRef]
- Rangan, S.; Rappaport, T.S.; Erkip, E. Millimeter-Wave Cellular Wireless Networks: Potentials and Challenges. Proc. IEEE 2014, 102, 366–385. [Google Scholar] [CrossRef]
- Shafi, M.; Zhang, J.; Tataria, H.; Molisch, A.F.; Sun, S.; Rappaport, T.S.; Tufvesson, F.; Wu, S.; Kitao, K. Microwave vs. Millimeter-Wave Propagation Channels: Key Differences and Impact on 5G Cellular Systems. IEEE Commun. Mag. 2018, 56, 14–20. [Google Scholar] [CrossRef]
- Hong, W.; Jiang, Z.H.; Yu, C.; Hou, D.; Wang, H.; Guo, C.; Hu, Y.; Kuai, L.; Yu, Y.; Jiang, Z.; et al. The Role of Millimeter-Wave Technologies in 5G/6G Wireless Communications. IEEE J. Microw. 2021, 1, 101–122. [Google Scholar] [CrossRef]
- Wang, X.; Wan, L.; Huang, M.; Shen, C.; Zhang, K. Polarization Channel Estimation for Circular and Non-Circular Signals in Massive MIMO Systems. IEEE J. Sel. Top. Signal Process. 2019, 13, 1001–1016. [Google Scholar] [CrossRef]
- Wang, X.; Guo, Y.; Wen, F.; He, J.; Truong, T.K. EMVS-MIMO Radar With Sparse Rx Geometry: Tensor Modeling and 2-D Direction Finding. IEEE Trans. Aerosp. Electron. Syst. 2023, 59, 8062–8075. [Google Scholar] [CrossRef]
- Kumar, A.; Sharma, S.; Kumar, M.H.; Singh, G. RIS-Assisted Terahertz Communications for 6G Networks: A Comprehensive Overview. IEEE Access 2025, 13, 96337–96364. [Google Scholar] [CrossRef]
- Hu, S.; Rusek, F.; Edfors, O. Beyond Massive MIMO: The Potential of Data Transmission With Large Intelligent Surfaces. IEEE Trans. Signal Process. 2018, 66, 2746–2758. [Google Scholar] [CrossRef]
- Zhang, Z.; Dai, L. A Joint Precoding Framework for Wideband Reconfigurable Intelligent Surface-Aided Cell-Free Network. IEEE Trans. Signal Process. 2021, 69, 4085–4101. [Google Scholar] [CrossRef]
- Stratidakis, G.; Droulias, S.; Alexiou, A. Optimal Position and Orientation Study of Reconfigurable Intelligent Surfaces in a Mobile User Environment. IEEE Trans. Antennas Propag. 2022, 70, 8863–8871. [Google Scholar] [CrossRef]
- Wu, Q.; Zhang, R. Towards Smart and Reconfigurable Environment: Intelligent Reflecting Surface Aided Wireless Network. IEEE Commun. Mag. 2020, 58, 106–112. [Google Scholar] [CrossRef]
- Tran, P.T.; Tran, T.N.; Nguyen, B.C.; Hoang, T.M.; Dung, L.T.; Kim, T. Enhancing Secrecy Performance of Full-Duplex Relaying Systems Using IRS and RSMA. IEEE Trans. Mob. Comput. 2026, 25, 878–891. [Google Scholar] [CrossRef]
- Yuan, X.; Zhang, Y.J.A.; Shi, Y.; Yan, W.; Liu, H. Reconfigurable-Intelligent-Surface Empowered Wireless Communications: Challenges and Opportunities. IEEE Wirel. Commun. 2021, 28, 136–143. [Google Scholar] [CrossRef]
- Wu, Q.; Zhang, S.; Zheng, B.; You, C.; Zhang, R. Intelligent Reflecting Surface-Aided Wireless Communications: A Tutorial. IEEE Trans. Commun. 2021, 69, 3313–3351. [Google Scholar] [CrossRef]
- Wang, P.; Fang, J.; Duan, H.; Li, H. Compressed Channel Estimation for Intelligent Reflecting Surface-Assisted Millimeter Wave Systems. IEEE Signal Process. Lett. 2020, 27, 905–909. [Google Scholar] [CrossRef]
- Chen, J.; Liang, Y.C.; Cheng, H.V.; Yu, W. Channel Estimation for Reconfigurable Intelligent Surface Aided Multi-User mmWave MIMO Systems. IEEE Trans. Wirel. Commun. 2023, 22, 6853–6869. [Google Scholar] [CrossRef]
- Wei, X.; Shen, D.; Dai, L. Channel Estimation for RIS Assisted Wireless Communications—Part II: An Improved Solution Based on Double-Structured Sparsity. IEEE Commun. Lett. 2021, 25, 1403–1407. [Google Scholar] [CrossRef]
- Wu, J.; Li, Y.; Xin, L. Joint Channel Estimation for RIS-Assisted Wireless Communication System. In Proceedings of the 2022 IEEE Wireless Communications and Networking Conference (WCNC), Austin, TX, USA, 10–13 April 2022; pp. 1087–1092. [Google Scholar] [CrossRef]
- Xie, L.; Zhou, E.; Zhou, W.; Liang, J.; Tang, X.; Dong, Z. Channel Estimation for RIS Assisted Wireless Communication Systems Based on the Channel Map. In Proceedings of the 2024 9th International Conference on Computer and Communication Systems (ICCCS), Xi’an, China, 19–22 April 2024; pp. 936–942. [Google Scholar] [CrossRef]
- Tsai, C.R.; Liu, Y.H.; Wu, A.Y. Efficient Compressive Channel Estimation for Millimeter-Wave Large-Scale Antenna Systems. IEEE Trans. Signal Process. 2018, 66, 2414–2428. [Google Scholar] [CrossRef]
- Liu, H.; Yuan, X.; Zhang, Y.J.A. Matrix-Calibration-Based Cascaded Channel Estimation for Reconfigurable Intelligent Surface Assisted Multiuser MIMO. IEEE J. Sel. Areas Commun. 2020, 38, 2621–2636. [Google Scholar] [CrossRef]
- Wu, Q.; Zhang, R. Intelligent Reflecting Surface Enhanced Wireless Network via Joint Active and Passive Beamforming. IEEE Trans. Wirel. Commun. 2019, 18, 5394–5409. [Google Scholar] [CrossRef]
















| Function | Definition |
|---|---|
| get the indices of the top x elements in | |
| get the index of the maximum element in | |
| concatenate vectors vertically | |
| compute the modulus of vector elements | |
| square each element of the vector | |
| get the maximum value of the x-th to y-th elements in | |
| sort in descending order and return sorted and its indices | |
| reshape vector to matrix |
| Algorithm | Complexity |
|---|---|
| OMP [18] | |
| Row-structured sparsity OMP [19] | |
| DS-OMP [20] | |
| CMCE [22] | |
| MUJCA (proposed) |
| Parameter | Definition | Default Value |
|---|---|---|
| M | The number of BS antennas | 64 |
| The number of BS antennas per row/column | 8 | |
| N | The number of RIS elements | 256 |
| The number of RIS elements per row/column | 16 | |
| K | The number of users | 16 |
| The number of paths (RIS to BS) | 5 | |
| The mean number of scatterers in each sub-region | 8 | |
| R | The number of sub-regions | 9 |
| The distance between BS and RIS | 10 m | |
| The complex gain of paths (RIS to BS) | ||
| The distance between RIS and user | 100 m | |
| The complex gain of paths (k-th user to RIS) |
Disclaimer/Publisher’s Note: The statements, opinions and data contained in all publications are solely those of the individual author(s) and contributor(s) and not of MDPI and/or the editor(s). MDPI and/or the editor(s) disclaim responsibility for any injury to people or property resulting from any ideas, methods, instructions or products referred to in the content. |
© 2026 by the authors. Licensee MDPI, Basel, Switzerland. This article is an open access article distributed under the terms and conditions of the Creative Commons Attribution (CC BY) license.
Share and Cite
Zhou, N.; Deng, H.; Li, N. Channel Estimation for RIS-Assisted Multi-User mmWave MIMO Systems via Joint Correlation. Electronics 2026, 15, 594. https://doi.org/10.3390/electronics15030594
Zhou N, Deng H, Li N. Channel Estimation for RIS-Assisted Multi-User mmWave MIMO Systems via Joint Correlation. Electronics. 2026; 15(3):594. https://doi.org/10.3390/electronics15030594
Chicago/Turabian StyleZhou, Nanqing, Honggui Deng, and Ni Li. 2026. "Channel Estimation for RIS-Assisted Multi-User mmWave MIMO Systems via Joint Correlation" Electronics 15, no. 3: 594. https://doi.org/10.3390/electronics15030594
APA StyleZhou, N., Deng, H., & Li, N. (2026). Channel Estimation for RIS-Assisted Multi-User mmWave MIMO Systems via Joint Correlation. Electronics, 15(3), 594. https://doi.org/10.3390/electronics15030594

