Next Article in Journal
Model-Based Design of Output LC Filter and Harmonic Distortion Reduction for a Wideband SONAR Amplifier
Next Article in Special Issue
IBPS—A Novel Integrated Battery Protection System Based on Novel High-Precision Pressure Sensing
Previous Article in Journal
Dynamic Time Warping-Based Differential Protection Scheme for Transmission Lines in Flexible Fractional Frequency Transmission Systems
 
 
Font Type:
Arial Georgia Verdana
Font Size:
Aa Aa Aa
Line Spacing:
Column Width:
Background:
Article

LORA-to-LEO Satellite—A Review with Performance Analysis

by
Alessandro Vizzarri
Department of Electronic Engineering, University of Rome Tor Vergata, 00133 Rome, Italy
Electronics 2026, 15(1), 46; https://doi.org/10.3390/electronics15010046
Submission received: 24 November 2025 / Revised: 19 December 2025 / Accepted: 20 December 2025 / Published: 23 December 2025
(This article belongs to the Special Issue IoT Sensing and Generalization)

Abstract

The Satellite Internet of Things (IoT) sector is undergoing rapid transformation, driven by breakthroughs in satellite communications and the pressing need for seamless global coverage—especially in remote and poorly connected regions. In locations where terrestrial infrastructure is limited or non-existent, Low Earth Orbit (LEO) satellites are proving to be a game-changing solution, delivering low-latency and high-throughput links well-suited for IoT deployments. While North America currently dominates the market in terms of revenue, the Asia-Pacific region is projected to lead in growth rate. Nevertheless, the development of satellite IoT networks still faces hurdles, including spectrum regulation and international policy alignment. In this evolving landscape, the LoRa and LoRaWAN protocols have been enhanced to support direct communication with LEO satellites, typically operating at altitudes between 500 km and 2000 km. This paper offers a comprehensive review of current research on LoRa/LoRaWAN technologies integrated with LEO satellite systems, also providing a performance assessment of this combined architecture in terms of theoretical achievable bitrate, Bit Error Rate (BER), and path loss. The results highlight the main performance trends of LoRa LR-FHSS in direct-to-LEO links. Path loss increases sharply with distance, reaching approximately 150 dB at 500 km and 165–170 dB at 2000 km, significantly reducing achievable data rates. At 500 km, bitrates range from approximately 7–8 kbps for SF7 to below 2 kbps for SF12. BER follows a similar trend: below 200 km, values remain low ( 10 4 10 3 ) for all spreading factors. At 1000 km, BER rises to approximately 3.9 × 10 3 for SF7 and 1.5 × 10 3 for SF12. At 2000 km, BER reaches approximately 4.7 × 10 2 for SF7 but stays below 2 × 10 2 for SF12, showing a 2– 3 × improvement with higher spreading factors. Overall, many links exhibit path loss above 160 dB and BER in the 10 3 10 2 range at long distances. These results underscore the importance of adaptive spreading factor selection and LR-FHSS gain for reliable long-range satellite IoT connectivity, highlighting the trade-off between robustness and spectral efficiency.

1. Introduction

The Satellite IoT market is rapidly evolving, driven by advancements in satellite communication technologies and the increasing need for global connectivity, particularly in remote and underserved regions. As traditional terrestrial networks struggle to reach isolated areas, LEO satellites are emerging as a transformative solution, offering low-latency, high-throughput communication capabilities that are ideal for IoT applications. According to [1], a significant growth in the Satellite IoT Market is forecasted by 2027. The market is projected to increase from $1.1 billion in 2022 to $2.9 billion by 2027, at a CAGR of 21.9%. This growth is primarily driven by the increasing demand for global, low-latency connectivity, facilitated by LEO satellites. These satellites offer faster, more reliable communication compared to traditional geostationary satellites, making them ideal for IoT applications in remote and underserved areas. Key trends identified in the report include the reduction in satellite launch costs, which makes satellite IoT solutions more affordable, and the integration of IoT and AI technologies, which enable real-time data analytics and monitoring. The report also highlights the growing adoption of satellite IoT in sectors like agriculture, automotive, and defense, where reliable communication networks are essential. North America is expected to hold the largest share of the market, while Asia-Pacific is predicted to experience the fastest growth. However, challenges such as regulatory complexities and spectrum allocation could impact the rapid expansion of satellite IoT networks. The potential of LEO satellites emerges to provide low-cost, reliable communication for IoT applications, offering a strong outlook for the satellite IoT market over the next few years [2]. In this context, the Lora/LoraWAN protocol has been updated for connections directly to the LEO satellite (with an altitude ranging from 500 km to 2000 km) [3]. Nevertheless, LoRa and LoRaWAN were originally designed for terrestrial, low-mobility scenarios, and their direct application to satellite communications introduces several critical technical challenges that must be addressed. In particular, the high relative velocity between LEO satellites and ground terminals leads to severe Doppler shifts, which can significantly degrade synchronization and demodulation performance in conventional LoRa receivers. Moreover, the large free-space path loss associated with satellite-to-ground links, compared to terrestrial deployments, imposes stringent constraints on the link budget and receiver sensitivity. In addition, the limited adaptability of traditional LoRa modulation schemes reduces robustness against time-varying channel conditions, interference, and dynamic satellite pass characteristics [4]. The paper presents a review of the papers on LoRa/LoRaWAN and LEO Satellite Communication. It also provides a performance analysis of the LoRa/LoRaWAN and LEO Satellite combined system.
Addressing the aforementioned limitations is therefore essential to enable scalable and reliable Direct-to-Satellite (D2S) IoT communications, and represents a key motivation of this work. The paper is structured as follows: Section 2 reviews the current advancements in satellite IoT technologies, highlighting the role of LEO satellites and the increasing integration of satellite networks with terrestrial IoT systems. Section 3 focuses on the design and technical aspects of LoRa transceivers that enable Direct-to-Satellite (D2S) communication. It covers the challenges of frequency management, link budget, and the technical requirements for establishing direct communication between ground devices and satellite gateways. In Section 4, the paper introduces the Long-Range Frequency-Hopping Spread Spectrum (LR-FHSS) technique as an enhancement for LoRa communications. This technique is specifically conceived to overcome the limitations of traditional LoRa modulation in satellite environments, improving robustness to Doppler effects, scalability, and interference resilience.
It explains how this modulation improves scalability, reduces interference, and enhances robustness, especially in satellite communication environments. Section 5 provides a performance analysis of the D2S communication system. Section 6 presents the results of the performance analysis and compares LR-FHSS with traditional LoRa and other modulation schemes. Finally, the conclusions are drawn in Section 7.

2. State of the Art

The systematic review was conducted on the basis of a PRISMA-Based Screening and Selection Process. The Preferred Reporting Items for Systematic Reviews and Meta-Analyses (PRISMA) guidelines ensure transparency, reproducibility, and methodological rigor in the study selection process, as shown in Figure 1.
Scopus and Web Of Science are the databases accessed to find the manuscripts. Lora, LoraWAN, LEO satellite, and IoT are the essential keywords considered to perform the search of documents. The criteria for inclusion/exclusion of articles are shown in the following Table 1 and Table 2, respectively.
The criteria were designed to ensure that only studies directly relevant to LoRa/LoRaWAN-based Direct-to-LEO satellite IoT were considered. Specifically, only peer-reviewed publications providing analytical, simulation-based, or experimental evaluation in the context of LEO satellites were included. The timeframe was restricted to publications from 2019 to 2025, and only articles with accessible full texts written in English were considered. These criteria allowed for a focused and rigorous selection of studies that contribute meaningful technical insights to the field.
Studies were excluded if they did not focus on Direct-to-LEO satellite IoT, were not based on LoRa or LoRaWAN technologies, or addressed non-LEO satellite scenarios. Additional exclusions were applied to purely conceptual papers lacking quantitative evaluation, duplicates, non-peer-reviewed sources, and articles whose full text could not be retrieved. These exclusion criteria ensured that the review only incorporated high-quality, relevant, and technically rigorous studies, thereby minimizing potential bias and maintaining the integrity of the systematic review process. During the screening phase, a total of 66 records were screened based on title and abstract. Of these, 5 records were excluded as they were clearly not relevant to the scope of this review. The remaining 61 reports were considered potentially eligible and were therefore sought for full-text retrieval. Among the reports sought for retrieval, 7 full-text articles could not be retrieved, mainly due to access restrictions or unavailability. Consequently, 54 reports were successfully retrieved and assessed for eligibility through full-text examination. During the eligibility assessment, 21 reports were excluded because they did not specifically focus on IoT or LoRa/LoRaWAN communications in Direct-to-LEO satellite scenarios, which represents the core scope of this review. Following this rigorous selection process, 33 studies met all the inclusion criteria and were therefore included in the final review. Each included study corresponded to a single report; accordingly, the number of reports of included studies was also 33. This PRISMA-guided methodology ensured a systematic and unbiased identification of relevant literature, providing a solid foundation for the qualitative analysis of LoRa/LoRaWAN-based Direct-to-Satellite IoT solutions over LEO satellite constellations.
Table 3 summarizes the key studies on the integration of LoRa/LoRaWAN with LEO satellite communications. The table provides a chronological overview of research contributions from 2019 to 2025, highlighting the evolution of network design, modulation techniques, multiple-access schemes, and performance optimization strategies. This compilation offers a structured reference framework for understanding trends, challenges, and emerging solutions in satellite-based IoT deployments, setting the stage for the detailed discussion of individual works presented in the following sections.
Ref. [5] explores the integration of LEO satellite constellations into 5G and beyond-5G communication systems. The authors employ mathematical modeling techniques, including network capacity models, signal propagation models, and orbital mechanics to simulate the behavior of LEO satellites in providing mobile broadband, massive machine-type communications (mMTC), and ultra-reliable low-latency communications (URLLC). The models account for satellite orbit parameters, satellite handovers, and coverage areas, while the formulae used include signal-to-noise ratio (SNR) calculations based on the Friis transmission equation and link budget analysis for satellite communication. Additionally, the paper uses models of interference from both satellite and terrestrial networks. The results of the mathematical simulations suggest that LEO satellites are crucial for expanding global network coverage, especially in underserved regions. Ref. [6] focuses on optimizing the key parameters of LoRa communication for satellite-based IoT applications in the LEO environment. This paper develops a mathematical model to simulate LoRa’s communication behavior under different environmental and system conditions, such as Doppler shifts, signal degradation, and channel noise. The optimization approach is based on the analysis of key performance indicators such as energy efficiency and communication reliability, with the authors employing a multi-objective optimization framework. The formulae used include the computation of the signal-to-noise ratio (SNR) for each parameter configuration, the Shannon capacity formula for determining channel capacity, and energy consumption models derived from the transmission power and duty cycle. Simulation results demonstrate that optimized LoRa parameters can enhance communication reliability and energy efficiency, making it a viable solution for satellite IoT applications. In [7], the authors introduce a novel mathematical model for ultra-dense LEO satellite constellations. The model is based on the queuing theory to represent satellite network traffic, the interference models to capture signal collisions, and the orbital mechanics models to simulate the deployment and movement of satellites in low Earth orbit. They apply models of Poisson processes to describe the traffic arrival rates and employ the Erlang-B formula to calculate the blocking probability for satellite channels. Additionally, interference management techniques are modeled using game theory, where the authors use Nash equilibrium solutions to model satellite resource sharing and interference mitigation. The results indicate that ultra-dense constellations significantly enhance system capacity, but advanced interference management is crucial to optimize network performance. Ref. [8] investigates the performance of LoRa (Long Range) technology for Internet of Things (IoT) networks using LEO satellites. The authors conduct an in-depth analysis of LoRa’s feasibility in satellite IoT applications, focusing on the challenges posed by the satellite environment, including high mobility, Doppler shifts, and propagation conditions. The study uses both analytical models and simulation results to assess key performance metrics, such as packet delivery success, energy efficiency, and link reliability, under various channel conditions typical of LEO satellite communications. The authors examine how LoRa’s physical-layer characteristics, such as Chirp Spread Spectrum (CSS) modulation and long-range communication capabilities, enable reliable data transmission in satellite IoT networks, especially in remote or underserved areas. The paper also explores the trade-offs between spreading factor, transmission power, and network coverage in the context of LEO satellite IoT deployments. Key findings reveal that while LoRa performs well in terms of range and power efficiency, it requires optimization in terms of synchronization and Doppler shift compensation to effectively support large-scale satellite IoT networks. Ref. [9] provides a comprehensive overview of the Long-Range Frequency-Hopping Spread Spectrum (LR-FHSS) modulation scheme, specifically designed to enhance the scalability and robustness of LoRa-based networks. LR-FHSS introduces frequency hopping to the conventional LoRa modulation, allowing for more efficient spectrum usage and reducing interference in densely deployed environments. The authors offer a detailed performance analysis of LR-FHSS, comparing it to traditional LoRa in terms of capacity, energy efficiency, and interference resilience. Through both theoretical modeling and simulation, the paper demonstrates that LR-FHSS can significantly increase network capacity (up to 40 times) without compromising the low power consumption that is characteristic of LoRa technology. Additionally, the study highlights that LR-FHSS can maintain reliable communication in the presence of narrowband interference and congestion, which are common challenges in large-scale IoT deployments. Key results show that LR-FHSS’s frequency diversity allows for reduced packet collisions and enhanced link reliability, making it an attractive solution for large-scale IoT networks, particularly in applications such as smart cities and industrial IoT. Ref. [10] introduces a unified architecture that bridges terrestrial and space-based IoT infrastructures, aiming to enable global and ubiquitous connectivity. The authors classify IoT–satellite interactions into direct and indirect satellite access models and systematically assess their performance in terms of energy efficiency, coverage, and delay. Particular attention is given to Low-Power Wide-Area Network (LPWAN) technologies, specifically NB-IoT and LoRa/LoRaWAN, evaluating their physical and protocol-layer feasibility for Low Earth Orbit (LEO) satellite scenarios. Key challenges such as Doppler shift, timing synchronization, link intermittency, and contention in the access medium are analyzed in detail. The study highlights that although LoRa and NB-IoT offer strong potential for low-energy satellite IoT, protocol adaptations and cross-layer design improvements are critical to ensure robust operation in high-mobility satellite environments. This foundational work sets the stage for further development of hybrid terrestrial–satellite IoT systems. In [11], the authors explore the application of differential modulation techniques within LoRa communication frameworks targeted at LEO satellite-based IoT networks. The primary objective is to mitigate synchronization and frequency offset challenges, which are prominent in satellite channels characterized by high Doppler shifts and rapid mobility. Differential modulation, by allowing symbol decoding without requiring explicit phase recovery, enhances the robustness of LoRa links in dynamic propagation environments. The study provides both theoretical analysis and simulation-based validation, demonstrating that differential LoRa modulation can maintain reliable connectivity at low SNRs and under varying Doppler conditions. Additionally, it retains the core advantages of LoRa, such as long-range communication and low power consumption, making it a viable candidate for energy-efficient, space-based IoT deployments. This research contributes to improving the link reliability and physical-layer adaptability of LoRa in non-terrestrial environments. The paper [12] provides a review of dynamic communication techniques for LEO satellite networks. Although this paper focuses more on reviewing the existing literature, it references several key mathematical models, including beamforming models that use array gain calculations to optimize the directional communication of satellites. The authors also discuss frequency reuse models, interference mitigation using power control algorithms, and dynamic scheduling methods, with mathematical formulations for optimal frequency allocation and channel assignment. Furthermore, they refer to dynamic beamforming models that employ antenna gain and signal attenuation equations, and discuss adaptive algorithms to handle satellite mobility, including Markov chain models to represent handover and routing protocols in dynamic LEO networks. Ref. [13] presents the design of a LoRa-like transceiver optimized for satellite IoT applications. The mathematical models used in this paper include link budget calculations, considering factors such as satellite altitude, path loss, and free-space propagation models. The paper also uses signal degradation models to predict the attenuation over long distances. The formulae applied include the path loss model derived from the Friis transmission equation, and power consumption models based on signal strength and modulation schemes. Additionally, the authors utilize the Shannon–Hartley theorem to assess the theoretical maximum data rates achievable under varying signal conditions. The optimization process focuses on minimizing energy consumption while maintaining acceptable communication reliability, and the results demonstrate that the LoRa-like transceiver provides an energy-efficient solution with good performance over long distances in satellite networks. Ref. [14] examines how LoRaWAN combined with LEO satellites can facilitate mMTC in remote regions. The paper uses mathematical models for network coverage and reliability, incorporating satellite link budget equations and path loss models specific to LEO satellites. The authors also apply models of interference and fading, including the Ricean fading model to simulate the impact of environmental conditions on signal strength. Additionally, the paper employs stochastic geometry models to evaluate the spatial distribution of devices and network performance in terms of coverage, throughput, and scalability. Simulations show that integrating LoRaWAN with LEO satellites offers a cost-effective and reliable solution for mMTC in rural and isolated areas. Ref. [15] explores the performance of the LoRaWAN protocol integrated with LR-FHSS modulation for direct communication to LEO satellites. The authors used a combination of analytical and simulation models to evaluate the feasibility and performance of this system in satellite communication scenarios. To assess packet delivery from ground nodes to LEO satellites, the authors developed mathematical models that consider various factors such as satellite mobility, channel characteristics, and potential signal collisions. These models focus on the integration of LR-FHSS within the LoRaWAN framework to improve network capacity and resilience, specifically addressing the challenges posed by the dynamic nature of satellite communication. The analytical model also takes into account the average inter-arrival times for different packet elements, including headers and payload fragments, and calculates the overall success probability for packet transmission. This success probability is influenced by the first (Ftx-1) payload fragments and the last fragment of a data packet. Additionally, the study incorporates the effects of Rician fading in the communication channel, considering the elevation angle of the satellite as a function of time, which reflects the rapid variations in the channel caused by the movement of the satellite. This dynamic modeling is crucial for accurately simulating the real-world conditions of satellite communication. The results indicate that the use of LR-FHSS significantly improves the potential for large-scale LoRaWAN networks in direct-to-satellite scenarios. The study also identifies important trade-offs between different LR-FHSS-based data rates, particularly for the European region, and highlights the causes of packet losses, such as insufficient header replicas or inadequate payload fragment reception. These findings emphasize the potential of LR-FHSS to enhance direct connectivity between IoT devices and LEO satellites, providing an effective solution for enabling IoT applications in remote and underserved areas. Ref. [16] investigates the performance of LoRaWAN with Long-Range Frequency-Hopping Spread Spectrum (LR-FHSS) in direct-to-satellite communication scenarios. The paper uses mathematical models to simulate the impact of Doppler shifts and interference on LoRaWAN’s performance. The authors use Doppler shift models based on satellite velocity and orbital parameters to analyze the variation in signal frequency, and interference models that consider multiple access interference and the impacts of frequency hopping. Additionally, the authors use SNR-based formulas to evaluate the system’s performance under varying link conditions, such as changes in the relative positions of satellites and ground stations. Simulation results indicate that LR-FHSS in LoRaWAN enhances the system’s robustness against Doppler shifts and interference, ensuring reliable communication in direct-to-satellite scenarios. Ref. [17] explores the scalability of LoRa for IoT satellite communication systems and evaluates its performance in multiple-access communication scenarios. The authors use analytical models to calculate the channel capacity and throughput of LoRa-based networks, applying queuing theory and slotted ALOHA for multiple-access schemes. The paper incorporates interference models based on the random arrival of packets and the effects of channel collisions. Additionally, the authors use the Shannon capacity formula to analyze the maximum achievable data rates in multiple-access satellite IoT networks. Their findings show that LoRa can be scaled for large IoT deployments, offering a low-power solution that ensures efficient multiple-access operation in satellite environments. In [18] the authors model the uplink channel for LoRa in satellite-based IoT systems. The paper uses models based on link budget analysis to calculate the effective SNR and the associated BER for uplink transmissions. The authors apply the Shannon–Hartley theorem to evaluate the capacity of the uplink channel and use fading models, such as Rayleigh and Ricean fading, to simulate realistic satellite communication conditions. Additionally, the authors consider the impact of transmission power on energy consumption, employing optimization techniques to determine the optimal transmission power for minimizing energy consumption while maintaining sufficient communication reliability. The findings suggest that LoRa provides a viable solution for uplink transmission in satellite IoT networks, particularly when optimized for power and signal conditions.
Ref. [19] presents a novel scheduling algorithm, SALSA, designed to manage data transmission from IoT devices to LEO satellites. The paper introduces an optimization model for dynamic traffic scheduling, where the authors use queuing models to prioritize data packets based on urgency and delay tolerance. The scheduling algorithm minimizes communication delays and optimizes throughput by dynamically adjusting the transmission window, considering factors such as satellite position and network load. Mathematical formulations used in this paper include the calculation of optimal scheduling intervals using linear programming techniques, and the analysis of queueing delay based on Poisson processes. The paper concludes that SALSA significantly enhances the efficiency of LoRa-based satellite communications by reducing latency and increasing throughput, improving the overall performance of IoT networks. Ref. [20] provides an in-depth review of scalable LoRaWAN solutions for satellite IoT systems. The authors discuss scalability models that address network densification, including interference mitigation and synchronization techniques. They present mathematical models of LoRaWAN network traffic, using stochastic models and queuing theory to evaluate network scalability under different operational conditions. The paper also references interference models based on Gaussian noise and path loss equations specific to satellite communication. The authors apply models from game theory to address resource allocation and power control in large-scale IoT systems. The review concludes that LoRaWAN can effectively scale for massive IoT systems in satellite networks but suggests that further improvements in network management and interference mitigation are necessary to handle the increasing demands of such systems. Ref. [21] investigates the applicability of quasisynchronous LoRa communication in LEO nanosatellites. The primary objective is to address the Doppler shift challenges typically encountered in such environments and to enhance the reliability of long-range, low-power communication. The authors conduct a series of simulations to test the robustness and efficiency of quasisynchronous transmission techniques. These simulations are designed to reduce Doppler-induced signal degradation while preserving energy efficiency. Mathematical modeling focuses on the analysis of symbol error rate (SER) under additive white Gaussian noise (AWGN) conditions, considering various spreading factors and chip waveform structures. The outcomes of these simulations demonstrate that quasisynchronous LoRa can significantly improve communication reliability for nanosatellites engaged in IoT operations, particularly where energy constraints are paramount. Ref. [22] presents a system architecture for a cost-effective nanosatellite communication platform based on LoRa technology, targeting emerging IoT deployments. The study involves the design and prototyping of both hardware and software elements of the communication system. Performance evaluation includes link budget calculations and assessments of signal range and energy efficiency. The analysis employs received signal strength indicator (RSSI) metrics and estimates the maximum communication distance achievable, which exceeds 14 km. The findings suggest that LoRa-based nanosatellites offer a viable solution for long-range, low-power communication systems that are both scalable and economically sustainable for large-scale IoT applications. Ref. [24] presents a novel transmission protocol that integrates Device-to-Device (D2D) communication with LoRaWAN LR-FHSS to enhance the performance of direct-to-satellite (D2S) IoT networks. The authors propose a D2D-assisted scheme in which IoT devices first exchange data using terrestrial LoRa links and subsequently transmit both the original and parity packets, generated through network coding, to a LEO satellite gateway using the LR-FHSS modulation. This approach is designed to mitigate the limitations of conventional LoRaWAN deployments in D2S scenarios, particularly those associated with limited capacity and high outage rates in dense environments. A comprehensive system model is developed, incorporating a realistic ground-to-satellite fading channel characterized by a shadowed-Rician distribution. The authors derive closed-form expressions for the outage probability of both the baseline and D2D-aided LR-FHSS systems, taking into account key system parameters including noise, channel fading, unslotted ALOHA scheduling, capture effect, IoT device spatial distribution, and the geometry of the satellite link. These analytical results are rigorously validated through computer-based simulations under various deployment scenarios. The study demonstrates that the proposed D2D-aided LR-FHSS scheme significantly enhances network capacity compared to the traditional LR-FHSS approach. Specifically, the network capacity improves by up to 249.9% for Data Rate 6 (DR6) and 150.1% for Data Rate 5 (DR5) while maintaining a typical outage probability of 10 2 . This performance gain is achieved at the cost of one to two additional transmissions per device per time slot due to the D2D cooperation. The D2D approach also exhibits strong performance in dense IoT environments, where packet collisions and interference are prominent. In [23] the authors provide a comparative review of LPWAN technologies, with a particular emphasis on LoRaWAN, and evaluate their potential for direct-to-satellite IoT communication. The methodology involves the systematic comparison of LPWAN protocols based on their scalability, power consumption, and data throughput. The analytical framework includes interference modeling, latency evaluation, and throughput estimation under variable environmental and operational conditions. The survey concludes that LPWAN technologies, especially LoRaWAN, are well-positioned to support satellite IoT networks; however, persistent challenges such as high-latency communication and susceptibility to interference warrant further investigation. Ref. [25] surveys recent technological trends in the integration of LPWAN, specifically LoRaWAN, within LEO satellite constellations. The authors conduct a thorough review of advancements in synchronization protocols, interference mitigation strategies, and system scalability. Analytical modeling is used to characterize interference dynamics, while synchronization models assess the temporal alignment of satellite communications. Furthermore, scalability is evaluated through network topology simulations and capacity forecasting. The paper concludes that although LPWAN presents numerous advantages for LEO constellations, including low power usage and wide coverage, the technology requires enhanced coordination mechanisms and interference control techniques to achieve full operational efficacy. In [26] the focus is on quantifying and mitigating the impact of Doppler shifts in LoRa-based satellite communications. The authors develop a mathematical model to calculate Doppler shifts resulting from the relative velocity of LEO satellites and ground terminals. The study introduces frequency compensation algorithms aimed at counteracting the signal distortion caused by rapid satellite motion. Performance is assessed through simulations that incorporate SNR analyses and compare communication quality with and without Doppler compensation mechanisms. The results confirm that Doppler effects significantly impair LoRa signal integrity in direct-to-satellite communication, but also show that well-designed compensation techniques can restore acceptable levels of performance. Ref. [27] investigates strategies for minimizing energy consumption in LoRaWAN-based communication systems deployed via LEO satellites. The central focus of the paper is the development of adaptive transmission techniques that dynamically adjust power levels and duty cycles based on real-time communication requirements and environmental conditions. The authors utilize simulation-based methods to compare multiple transmission schemes in terms of their energy efficiency and network reliability. The mathematical framework incorporates models for energy consumption as a function of packet size, transmission frequency, and satellite–ground link distance. Additionally, Markov models are used to simulate duty cycle transitions and assess network availability. The findings demonstrate that optimizing these parameters can significantly prolong the operational lifetime of IoT devices in satellite networks and make LoRaWAN a highly viable protocol for energy-constrained space-based IoT deployments. Ref. [28] proposes a novel uplink scheduling strategy for LoRaWAN-based D2S IoT systems, termed Beacon-based Uplink LoRaWAN (BU-LoRaWAN). The method leverages the Class B synchronization framework of LoRaWAN, utilizing periodic beacons transmitted by satellites to synchronize ground devices. By aligning transmissions within beacon-defined time slots, the scheme significantly reduces packet collisions and improves spectral efficiency, particularly in contention-heavy, low-duty-cycle uplink scenarios. Simulation results demonstrate that BU-LoRaWAN outperforms standard ALOHA-based LoRaWAN protocols in terms of delivery probability and latency under typical LEO orbital conditions. The study also discusses practical implementation challenges such as beacon visibility duration, orbital scheduling, and ground terminal hardware constraints. The proposed protocol is shown to be especially advantageous for delay-tolerant IoT applications in remote and infrastructure-less regions, supporting scalability and efficient utilization of limited satellite resources. Ref. [29] provides a deep analysis of SALSA solution, based on a first-come-first-served approach to assign time slots according to device visibility. The obtained performance degrades in dense deployments where many devices have limited visibility windows. Authors propose methods to exploit multiple frequency channels and allow reordering of transmissions within a visibility period to enhance uplink efficiency. The proposed solution consists of a scheduling strategy that considers the availability of H orthogonal frequency channels. Simulation results show that uplink efficiency increases with the number of channels, reaching improvements of nearly 80%, and that combining both strategies maintains efficiency above 50% even under high-density conditions. Ref. [30] is focused on the LoRa communications as energy-efficient and cost-effective solutions for low-power wide-area networks. Conventional terrestrial LoRa networks, however, are limited in their ability to provide ubiquitous coverage, particularly in remote and rural areas. To address these limitations, LoRa-based LEO satellite IoT has emerged as a promising approach. The paper presents a novel analytical framework based on spherical stochastic geometry (SG) to characterize the uplink access probability in LoRa-based LEO satellite IoT systems. Multiple classes of end-devices are modeled as independent Poisson point processes. Both the unique features of LoRa networks and the channel characteristics of near-Earth satellite links are incorporated. Closed-form expressions for the uplink access probability are derived using the Laplace transform of the aggregated interference. In [31] the optimization of the management of computational tasks in IoT networks supported by LEO satellites is analyzed. The idea is based on edge computing, which is able to reduce latency and improve energy efficiency. A methodological framework is proposed to strategically balance the communication–computation trade-off by distributing tasks across multiple satellites. Four allocation strategies are analyzed. Two fixed approaches, assigning all tasks either to the nearest satellite or to a terrestrial cloud infrastructure, serve as benchmarks. Two adaptive strategies exploit satellite capacity information to optimize task distribution along the path between IoT devices and the cloud. Numerical results demonstrate that the adaptive strategies significantly enhance system efficiency compared to conventional methods, while providing flexibility and scalability.

3. Lora Transceiver for Direct-to-Satellite

The Semtech LR1121 (Semtech Corporation, Camarillo, CA, USA) is a state-of-the-art, ultra-low-power, multi-band RF transceiver engineered to support long-range, low-throughput communication over both terrestrial and satellite links [32]. It integrates multiple radio interfaces within a single chip architecture, offering support for the sub-GHz Industrial, Scientific, and Medical (ISM) bands, the globally available 2.4 GHz ISM band, and the S-Band frequencies spanning 1.9 to 2.1 GHz. These frequency bands, particularly the S-Band, are of particular interest for direct-to-satellite communication due to their favorable propagation characteristics and compatibility with current LEO satellite constellations. The LR1121 is particularly well-suited for satellite-based IoT applications. Its support for both LoRa and LR-FHSS modulation schemes provides significant flexibility in adapting to the varying link budgets and fading conditions associated with satellite communications. LoRa, known for its chirp spread spectrum modulation, offers high link robustness at the expense of data rate. In contrast, LR-FHSS is designed to enhance spectral efficiency and scalability, making it ideal for scenarios with dense terminal populations and long-range uplinks, such as those encountered in satellite IoT networks. From a radiofrequency performance standpoint, the LR1121 delivers up to +22 dBm of transmit power in the sub-GHz frequency range, ensuring that sufficient link margin can be maintained even in high path-loss scenarios such as direct satellite uplinks. The transceiver’s low noise figure in its receiver chain further enhances sensitivity, which is critical for maintaining communication reliability when signal power is severely attenuated over long distances and through atmospheric layers. Power efficiency is a key design criterion for satellite IoT endpoints, often deployed in remote or inaccessible regions with constrained energy budgets. The LR1121 addresses this through an integrated power amplifier regulator, enabling dynamic power scaling between +15 dBm and +22 dBm transmit levels. This allows developers to optimize for either extended range or reduced energy consumption depending on the application profile. Additionally, the chip includes an embedded AES-128 cryptographic engine, which provides secure data handling and ensures the integrity and confidentiality of communication, a non-negotiable requirement for commercial and industrial deployments in satellite IoT domains. In practical deployment scenarios, such as global asset tracking, environmental monitoring, or infrastructure telemetry in off-grid locations, the LR1121 enables real-time or near-real-time data transfer without the need for terrestrial backhaul. These use cases benefit from the global coverage and high availability of satellite systems, particularly when terrestrial LoRaWAN gateways are impractical due to cost or logistical constraints. Furthermore, smart metering in rural or maritime environments can be realized through satellite connectivity, ensuring regulatory compliance and data continuity. However, realizing the full potential of the LR1121 in a satellite communication context entails careful system-level design considerations. Antenna selection and design are paramount; due to the high free-space path loss in satellite links, highly efficient or directional antennas may be required to achieve acceptable link performance. Additionally, a detailed link budget analysis must be conducted to account for all gains and losses in the communication chain, including transmit power, antenna gain, atmospheric absorption, and satellite elevation angles. The trade-offs between data rate, modulation scheme, and duty cycle must be carefully balanced to meet application-specific requirements while adhering to regulatory constraints on spectrum usage and power levels. The LR1121 complies with global regulatory standards across multiple bands, including ETSI and FCC guidelines for sub-GHz ISM operation. This ensures broad geographical compatibility, which is critical for global IoT deployments leveraging both satellite and terrestrial infrastructure. Moreover, the ability to operate across a wide range of frequencies enhances the transceiver’s flexibility for hybrid terrestrial–satellite use cases, where seamless fallback or handover between the two modes is required. The Semtech LR1121 represents a highly integrated and power-efficient solution for next-generation direct-to-satellite IoT communications. Its multi-band operation, advanced modulation capabilities, and secure communication architecture make it a strong candidate for enabling ubiquitous low-power connectivity across the globe. Its adoption in satellite IoT systems is expected to expand as demand grows for resilient, infrastructure-independent wireless networks capable of supporting large-scale, global sensor deployments.

4. LR-FHSS Modulation in LoRa Communication Systems

The Long-Range Frequency-Hopping Spread Spectrum (LR-FHSS) modulation scheme represents a significant evolution in LoRa-based communication, introduced to enhance scalability, robustness, and spectral efficiency in IoT networks. Unlike traditional LoRa modulation, which operates on fixed frequencies using CSS, LR-FHSS introduces a dynamic frequency-hopping approach over narrower bandwidths, enabling the system to reduce interference and allow for massive device connectivity within a constrained spectrum allocation. In LR-FHSS, frequency hopping is implemented by transmitting each packet over a sequence of narrowband subcarriers that are dynamically selected across the available channel bandwidth according to a predefined hopping pattern. Unlike conventional LoRa CSS, which occupies a relatively wide bandwidth with a single chirp signal, LR-FHSS divides the transmission into multiple short fragments, each modulated over a narrow frequency slice and transmitted on a different center frequency. This approach significantly reduces the instantaneous occupied bandwidth and limits the sensitivity of each hop to carrier frequency offsets. In the context of LEO satellite links, where Doppler shifts and Doppler rates can reach several tens of kHz and vary rapidly over time, the narrowband nature of each hop ensures that the Doppler-induced frequency drift during a hop interval remains bounded. Provided that the Doppler variation within a hop duration is smaller than the effective subcarrier bandwidth, the receiver can reliably detect and demodulate each fragment without requiring continuous frequency tracking. Furthermore, the hopping process introduces frequency and time diversity, as consecutive hops experience different instantaneous Doppler offsets and channel realizations. This diversity mitigates the impact of severe Doppler conditions and burst errors, reinforcing the robustness of LR-FHSS in direct-to-LEO satellite IoT scenarios. Boquet et al. provided a comprehensive overview of LR-FHSS, highlighting its advantages in large-scale LoRaWAN deployments, including up to 40 times higher network capacity, reduced packet collisions, and improved link reliability, and confirmed these benefits through field trials and real-world scenarios, showing reduced interference probability and concurrent transmissions of multiple devices within a single gateway. Jung et al. [33] extended these insights to D2S IoT scenarios, addressing challenges such as Doppler effects and synchronization issues. They proposed a transceiver design capable of demodulating LR-FHSS signals under high-Doppler and low-SNR conditions, incorporating robust framing and synchronization schemes that effectively track the frequency-hopping sequence, making LR-FHSS viable for satellite-based communication. To cope with the mobility inherent in LEO satellites, LR-FHSS implements specific adaptation strategies, including dynamic adjustment of the frequency hopping sequence to compensate for Doppler shifts, robust framing and synchronization mechanisms to maintain packet integrity under high relative velocities, and link-level coding enhancements to mitigate transient signal losses. Although comprehensive experiments on actual satellite links are limited, field trials and SDR-based emulations under controlled Doppler and SNR conditions have confirmed that these adaptations allow LR-FHSS to maintain connectivity and reduce packet errors compared to conventional LoRa, demonstrating its potential for D2S IoT applications. Sanchez-Vital et al. [34] analyzed the energy performance of LR-FHSS, showing that increased reliability reduces retransmissions and extends battery life by up to 25% in realistic deployments. Bukhari and Zhang [35,36] conducted performance evaluations using real packet traces and a custom SDR-based receiver, identifying implementation challenges such as tight timing constraints and hardware sensitivity, but also confirming robustness under realistic channel conditions, including frequency offsets and multipath fading. Together, these studies validate LR-FHSS as a transformative enhancement for LoRaWAN networks. By enabling greater scalability, resilience to interference, and energy efficiency, LR-FHSS paves the way for reliable IoT communication in terrestrial and non-terrestrial networks.

5. Limitations of Existing Simulation-Based BER Models for LR-FHSS

The Boquet and Maleki models analyze each packet fragment individually, incorporating shadowed-Rician fading, Doppler effects, capture effects, and the spatial distribution of nodes. In the case of Maleki, additional consideration is given to D2D cooperation among nodes. Although this level of detail enables accurate modeling of BER under realistic channel and network conditions, it also makes the evaluation computationally intensive, necessitating extensive Monte Carlo simulations or complex numerical calculations. Moreover, the models are highly scenario-specific. Their BER predictions are closely tied to parameters such as node density, satellite orbits, D2D cooperation schemes, and scheduling policies. Any modification in transmission parameters, including frequency, SF, distance, or transmit power, requires complete re-simulation to obtain updated BER estimates. The inherent complexity also constrains their applicability in high-level network optimization. Because the models account for intricate interactions among fading, node activity, and scheduling, they are not readily usable as objective functions or constraints in fast optimization algorithms for power control, SF selection, or coverage maximization. Additionally, their reliance on detailed simulations limits scalability to large networks or rapid exploration of a wide range of operational scenarios.

6. Proposed Model

6.1. System Model and Parameters

The analysis models a LoRa communication link from a ground terminal to a satellite using the Semtech LR1121 transceiver, focusing on the S-Band at 2.1 GHz.
The system architecture is depicted in Figure 2. It illustrates a LoRa Direct-to-Satellite (D2S) communication scenario involving low-power IoT end devices and multiple Low Earth Orbit (LEO) satellites. A cluster of LoRa-enabled devices is deployed on the ground within the satellite footprint, transmitting uplink packets directly to the LEO satellite without the need for terrestrial gateways. This direct access paradigm enables coverage in remote or infrastructure-less areas. The dashed blue links represent the nominal uplink LoRa transmissions from ground devices to the serving LEO satellite within its instantaneous coverage area. Due to the wide satellite footprint, multiple devices simultaneously access the channel, leading to a many-to-one communication pattern. This inherently introduces challenges related to multiple access interference, capture effect, and scalability, which are critical aspects in satellite IoT systems. The red dashed links illustrate additional propagation phenomena and system dynamics. The vertical red link highlights the direct uplink affected by time-varying channel conditions such as path loss, shadowed-Rician fading, and Doppler shifts caused by satellite motion. The oblique red link represents transmissions from devices located at the edge of the satellite footprint, where longer propagation distances, lower elevation angles, and increased Doppler impairments degrade the link quality. The presence of multiple satellites indicates overlapping coverage regions and temporal diversity due to satellite movement. As satellites traverse their orbits, ground devices experience intermittent connectivity, handover between satellites, and varying link budgets over time. The horizontal red arrow emphasizes the satellite ground-track motion, which is responsible for rapidly changing geometry, Doppler frequency offsets, and time-varying SNR conditions.

6.2. Free-Space Path Loss

The free-space path loss (FSPL) formula, derived from the Friis transmission equation, models signal attenuation in ideal line-of-sight conditions due to geometric spreading and frequency-dependent loss.
L fs ( d B ) = 20 log 10 ( d ) + 20 log 10 ( f ) + 20 log 10 4 π c
where
  • d: distance between the transmitter and receiver (m)
  • f: signal frequency (Hz)
  • c: speed of light ( 3 × 10 8 m/s)
In real LEO satellite deployments, the link budget is affected not only by free-space path loss but also by additional factors such as the antenna pointing errors and the atmospheric absorption. The misalignment of the antenna can introduce pointing losses that depend on the antenna beamwidth and tracking accuracy for small deviations up to several dB for narrow-beam systems In terms of atmospheric absorption, this phenomenon affects the transmission in the S-Band under heavy rain or clouds. To model this phenomenon, and to model a more realistic estimate of achievable link performance, an atmospheric attenuation factor is added as linear loss with distance, as follows:
L tot ( d B ) = L FS ( d B ) + α atm · d
where
  • L tot ( dB ) = total path loss including free-space and atmospheric losses
  • L FS ( dB ) = free-space path loss
  • α atm ( dB / km ) = atmospheric attenuation coefficient
  • d ( km ) = distance
For LoRa satellite simulations at 2.1 GHz, in the absence of extreme atmospheric conditions, an atmospheric attenuation coefficient α atm ranging from 0.1 to 0.5 dB/km has been considered. It assumes a vacuum-like, unobstructed environment, making it appropriate for satellite communications. However, real-world scenarios often require additional corrections for atmospheric and system-level losses, as in the case of BER calculation of Lora CSS.

6.3. Noise Power

The total thermal noise power at the receiver is:
P noise ( d B m ) = 174 + 10 log 10 ( B )
The formula represents the total thermal noise power at the receiver, calculated using the standard noise power spectral density at room temperature. The term 174 dBm/Hz corresponds to the noise floor in dBm per hertz of bandwidth at a temperature of 290 K, which is the typical room temperature. The factor 10 log 10 ( B ) accounts for the noise power over a finite bandwidth B in hertz, where B is the bandwidth of the communication channel. This relationship reflects how thermal noise increases with bandwidth, as broader channels capture more noise energy. This expression is fundamental in link budget calculations, as it helps determine the SNR at the receiver, a key factor in evaluating communication reliability.

6.4. Received Signal Power

The received signal power is computed by subtracting the path loss from the transmit power:
P rx ( dBm ) = P tx ( dBm ) + G tx ( dB ) + G rx ( dB ) L tot ( dB )
where
  • P rx = received power (dBm)
  • P tx = transmit power (dBm)
  • G tx = transmit antenna gain (dBi)
  • G rx = receive antenna gain (dBi)
  • L tot = total path loss (dB), including free-space loss and any additional atmospheric or environmental losses

6.5. Bitrate Calculation

The bitrate is determined by the spreading factor as follows:
R b = B 2 SF , if P rx S rx ( SF ) 0 , otherwise
The formula above defines the bitrate R b for LoRa communication, which is inversely proportional to the spreading factor (SF). The spreading factor determines the duration of each symbol in LoRa modulation, with higher SF values leading to longer symbols and thus lower data rates. The bitrate R b is given by B 2 SF , where B is the bandwidth, and 2 SF accounts for the spreading of each symbol in the time domain. The condition P rx S rx ( SF ) ensures that the receiver sensitivity threshold is met; if the received signal power is lower than the receiver’s sensitivity for a given spreading factor, the bitrate is set to zero, reflecting an inability to demodulate the signal. The mentioned formula is a simplified approximation, as it does not consider the coding rate or overhead introduced by LoRa’s forward error correction (FEC) mechanisms, which are critical in real-world scenarios to maintain robust communication. The coding rate and preamble length reduce the effective throughput, making this simplified expression less accurate for practical applications.

6.6. SNR and Bit Error Rate (BER)

The SNR is given by the difference between the received signal power, P rx , and the noise power, P noise , as expressed by the equation:
SNR ( dB ) = P rx ( dBm ) P noise ( dBm )
This equation is fundamental in assessing the quality of a communication link, as a higher SNR generally indicates a clearer and more reliable signal. The SNR in decibels (dB) reflects the ratio of signal strength to noise, which directly influences the performance of the communication system.
For digital modulations over AWGN channels, the BER is conventionally expressed using the Q-function as [37]:
BER = Q 2 E b / N 0 ,
For large arguments x, the Q-function can be approximated by an exponential:
Q ( x ) 1 2 e x 2 / 2 ,
To relate this to the LR-FHSS model, we define a scaled variable:
x = 2 · 10 ( SNR dB SNR min ( SF ) ) / 10 ,
Substituting this into the Q-function approximation gives:
Q ( x ) 0.5 · exp 10 SNR dB SNR min ( SF ) 10 = 0.5 · exp ( SNR dB SNR min ( SF ) ) .
The proposed LR-FHSS model is expressed as:
BER LR - FHSS 0.5 · exp α · ( SNR dB SNR min ( SF ) ) · D FHSS ,
where
  • SNR dB = signal-to-noise ratio in dB
  • SNR min ( SF ) = minimum SNR required for the given Spreading Factor (SF)
  • α = factor for controlling the slope of the BER curve
  • D FHSS = empirical factor < 1 representing the gain of frequency hopping in reducing errors
Comparing with the Q-function approximation:
0.5 · exp ( α · ( SNR dB SNR min ( SF ) ) ) ,
The factor D FHSS introduces the observed improvement due to frequency hopping. It reduces the effective BER, reflecting mitigation of interference and fading that is not captured by the standard Q-function. Overall, this formulation provides a simple but effective model for estimating BER in LR-FHSS systems. It retains the exponential decay characteristic of the Q-function while introducing tunable parameters α and D_FHSS to match empirical observations.
The exponential dependence in the model captures the rapid decay of BER with increasing SNR above the SF-specific threshold, while the inclusion of D FHSS models the additional robustness introduced by frequency hopping against interference and fading. The proposed model provides a closed-form expression of BER as a function of SNR, SF, and the LR-FHSS factor, eliminating the need for computationally intensive simulations. Its parameters, α , SNR min ( SF ) , and D FHSS , can be easily adjusted, allowing rapid exploration of different scenarios, frequencies, powers, and SF values. This flexibility enables quick assessment across large parameter ranges, making it suitable for preliminary analysis, performance evaluation, and scalable network design. Additionally, its simplicity allows direct integration as an objective function or constraint in optimization algorithms, supporting efficient power control, SF selection, and coverage maximization in satellite IoT networks.

7. Simulations and Performance Analysis

7.1. Simulations

Table 4 summarizes the key input parameters used for simulating LoRa D2S communications. The chosen carrier frequency of 2.1 GHz corresponds to the S-Band, which is typical for LEO satellite links. The distance range from 500 to 2000 km reflects realistic satellite altitudes above the Earth.
The parameters listed in Table 4 define the simulation setup for analyzing a LoRa-based direct-to-satellite communication link. These values are chosen to reflect realistic constraints and configurations used in current LEO satellite communication systems, particularly for IoT and LPWAN. A carrier frequency of 2.1 GHz is selected, which falls within the S-band spectrum—a frequency band often used in satellite-based IoT applications due to its favorable propagation characteristics, including lower atmospheric attenuation compared to higher frequencies [38]. The simulated distance range spans from 500 km to 2000 km. The LoRa bandwidth is fixed at 125 kHz, as this setting provides a good trade-off between coverage and energy efficiency and is supported by commercial LoRa transceivers, like the Semtech LR1121. Spreading Factors (SF) from 7 to 12 are considered to assess the trade-off between coverage and data rate. As the SF increases, the symbol duration becomes longer, which improves the link budget but reduces the bitrate [39]. The simulation uses a standard free-space path loss model to evaluate signal attenuation as a function of distance and frequency. Thermal noise power is calculated using the well-established formula P noise = 174 + 10 log 10 ( BW ) + 10 log 10 ( T ) , where T is the system noise temperature set at 290 K. The transmit power is assumed to be +22 dBm, which aligns with the maximum allowed power output of many commercial LoRa modules operating in satellite uplink scenarios [40].

7.2. Analysis of Result

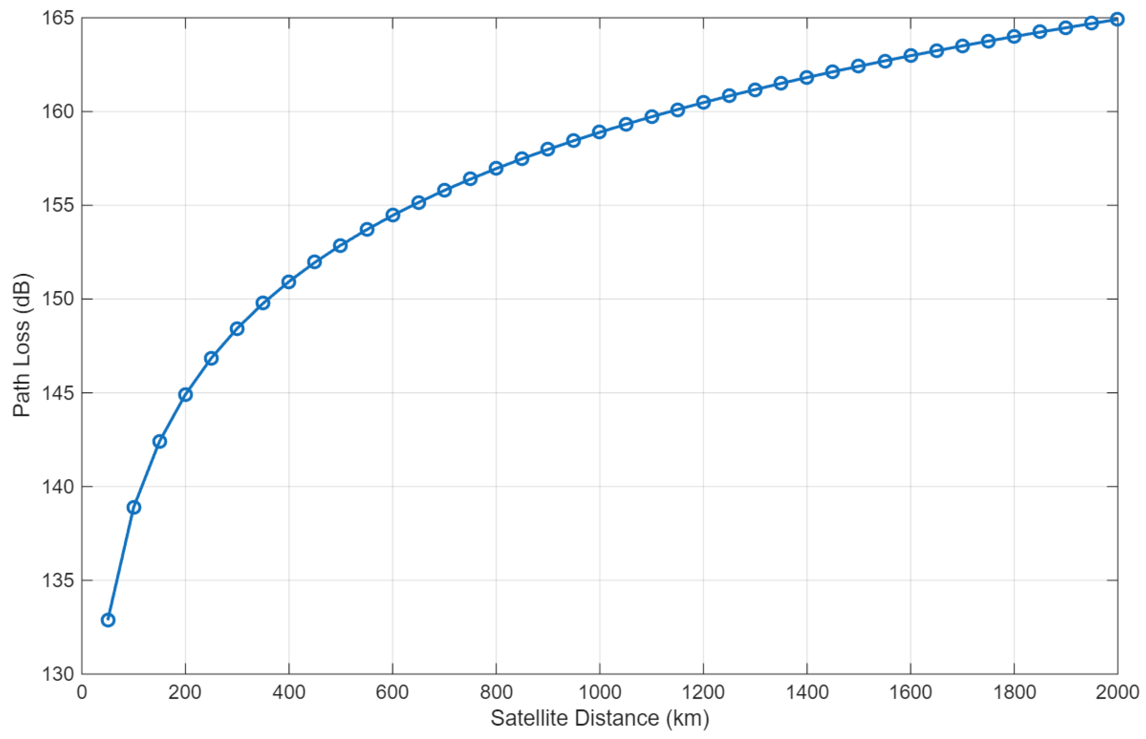
Figure 3 illustrates the relationship between Path Loss (PL) and satellite distance, based on the free-space path loss model.
Path loss increases logarithmically with distance, which is typical for radio wave propagation in free space. The model considers factors such as the transmission frequency (2.1 GHz in this case), the speed of light, and the distance between the transmitter and receiver. Figure 3 shows the free-space path loss (PL) as a function of the satellite-to-receiver distance, ranging from 0 km up to 2000 km at a carrier frequency of 2.1 GHz. As expected, the path loss increases monotonically with distance, reflecting the inverse-square law of free-space propagation. At very short distances near 0 km, the path loss is undefined ( dB), representing the singularity in the logarithmic path loss formula. At 50 km, the path loss is approximately 132.87 dB, while at 500 km it reaches 152.87 dB. For the maximum simulated distance of 2000 km, the path loss is about 164.91 dB. These high path loss values quantitatively demonstrate the significant signal attenuation encountered in long-range satellite links. Such attenuation directly impacts the required transmit power, antenna gain, and sensitivity of the receiver to maintain reliable communication. At 500 km, the path loss is approximately 150 dB, while at 2000 km, it reaches about 170 dB. This exponential increase in path loss emphasizes the strong sensitivity of the received signal to distance in satellite communication systems. As the path loss grows, the received signal strength diminishes, resulting in a weaker signal at the receiver. This in turn degrades the signal quality and can significantly affect the reliability of the communication link. This relationship highlights the inherent challenges in satellite communications, where longer distances lead to substantial increases in path loss. The smooth logarithmic increase of path loss with distance confirms the suitability of the free-space path loss model for line-of-sight satellite channels, where multipath effects, shadowing, or atmospheric losses are negligible. The obtained values are crucial for system design, as they provide the necessary margins for link budget calculations, selection of spreading factors in LoRa LR-FHSS, and estimation of the maximum achievable communication range while maintaining acceptable BER performance.
Figure 4 demonstrates the theoretical achievable bitrate for different spreading factors (SFs) as a function of satellite distance.
The figure illustrates that the bitrate is inversely proportional to the spreading factor: as the SF increases, the bitrate decreases. This inverse relationship between bitrate and SF is a key characteristic of LoRa communication systems. At 500 km, the bitrate for SF7 is approximately 7.8 kbps, whereas for SF12, it decreases to around 1.9 kbps. As expected, the bitrate decreases exponentially with increasing SF, reflecting the trade-off inherent in LoRa modulation between data rate and link robustness. Specifically, SF7 provides the highest bitrate of approximately 0.98 kbps, while SF12 achieves only 0.03 kbps. This reduction in bitrate with higher SFs is due to the increased symbol duration and greater spreading, which enhance resilience against noise and interference but reduce spectral efficiency. Therefore, higher SFs are typically used for longer satellite-to-receiver distances or for scenarios with lower SNR, ensuring reliable communication, whereas lower SFs can be employed at shorter distances where the SNR is sufficiently high to maintain data integrity. This shows that while higher SFs improve the robustness of the signal, they come at the cost of reducing the available bandwidth. This trade-off between robustness and data rate is essential for designing LoRa-based satellite systems, where the demand for high bitrate must be balanced with the need for long-range, low-power communication. Thus, the figure emphasizes the critical decision of selecting the appropriate SF based on the operational distance, as the trade-off between data rate and signal robustness becomes more significant over long distances.
Figure 5 illustrates the BER of LR-FHSS communication links as a function of satellite distance (from 0 to 2000 km) for various SFs.
BER is a critical performance metric in communication systems, representing the fraction of incorrectly received bits compared to the total transmitted bits. As the satellite distance increases, the quality of the received signal deteriorates, leading to a higher BER. A consistent trend is observable: the BER increases with distance for all SFs, reflecting the progressive signal degradation due to path loss, interference, and other channel impairments. For short distances (0–200 km), the BER values are very low, on the order of 10 4 to 10 3 , indicating reliable communication across all SFs. As the distance increases, the BER rises almost linearly in the logarithmic scale, reaching values of ∼ 10 2 at 2000 km. This growth is more pronounced for lower Spreading Factors (SF7–SF9), which are associated with higher data rates but reduced resilience to noise and fading. Conversely, higher Spreading Factors (SF10–SF12) exhibit consistently lower BER at the same distance, confirming their stronger robustness against channel impairments, albeit at the cost of reduced spectral efficiency. Quantitatively, at a distance of 1000 km, SF7 exhibits a BER of 3.89 × 10 3 , while SF12 shows 1.51 × 10 3 . This indicates that adopting higher SFs can reduce BER by nearly a factor of 2–3 under the same channel conditions. The trend continues across the entire distance range: the BER of SF7 rises to 4.74 × 10 2 at 2000 km, whereas SF12 remains below 2 × 10 2 , demonstrating the effectiveness of larger spreading factors in maintaining communication reliability over long distances. The results are consistent with the underlying LR-FHSS model. In this context, the increase in BER with distance reflects the reduction of the received SNR below the SF-specific threshold ( SNR min ( SF ) ). Higher Spreading Factors correspond to lower SNR min values, which explains their superior performance at longer distances.
Figure 6 presents the Cumulative Distribution Function (CDF) of the path loss as a function of satellite distance.
The CDF provides a detailed view of the distribution of path loss values, offering insight into how likely it is that a given path loss value will be exceeded at various distances. As the satellite distance increases, the path loss shifts to higher values, as reflected by the increasing slope of the CDF. The CDF increases monotonically from 0 to 1, as expected for a cumulative probability distribution. At very short distances, the path loss is singular ( dB), corresponding to the logarithmic singularity in the free-space path loss formula at zero distance. Beyond 50 km, the path loss values rise rapidly, e.g., reaching approximately 132.87 dB at 50 km, 152.87 dB at 500 km, and 164.91 dB at 2000 km. These values reflect the significant attenuation encountered in long-range satellite links. The CDF values provide insight into the probability of encountering a given path loss in the system. For instance, a path loss of 157.48 dB corresponds to a cumulative probability of 0.4390, indicating that approximately 44% of the distance samples experience a path loss below this threshold. Similarly, 164.00 dB corresponds to a cumulative probability of 0.9024, meaning that 90% of distances result in path loss below this level. The plot also emphasizes the need for robust error correction and power management strategies, particularly at greater distances where path loss becomes more severe.
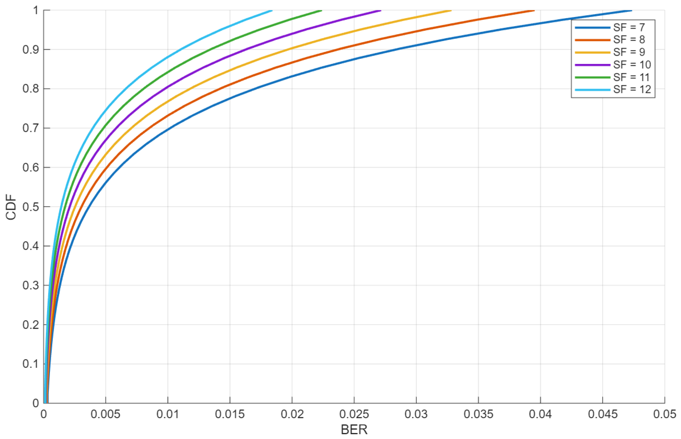
Figure 7 presents the CDF of the BER for various SFs at different satellite distances.
This plot illustrates how the error rates are distributed across different distances for each SF. The cumulative distribution function (CDF) of the BER for LoRa LR-FHSS transmissions at different spreading factors (SF = 7–12) provides a comprehensive view of the probability of experiencing a given error rate across the satellite link distances considered. For SF = 7, the BER values range from approximately 3.19 × 10 4 to 4.74 × 10 2 , with the CDF smoothly increasing from 0 to 1. This indicates that low BER values occur with relatively low probability at short distances, while higher BER values dominate at larger distances, reflecting the expected degradation of link quality with increasing path loss. Similar trends are observed for SF = 8, where the BER values span from 2.66 × 10 4 to 3.95 × 10 2 , showing slightly improved performance compared to SF 7 due to the increased spreading gain. As the spreading factor increases (SF = 9–12), the minimum BER further decreases; e.g., for SF = 12, the BER ranges from 1.24 × 10 4 up to 1.84 × 10 2 . The corresponding CDF curves demonstrate a more gradual increase, indicating that lower BER values are more probable, reflecting the enhanced error resilience associated with higher spreading factors. This trend confirms the well-known trade-off in LoRa modulation: higher SF provides stronger processing gain and lower BER, but at the cost of reduced data rate. Quantitatively, the median BER (CDF = 0.5) decreases from roughly 3.89 × 10 3 for SF 7 to about 2.20 × 10 3 for SF 12. This illustrates that for more robust SFs, half of the transmitted packets experience a BER below this value, implying more reliable communications over long-range satellite links. These CDF results are crucial for system design, as they allow estimation of the probability of achieving a target BER for a given SF and distance, supporting link budget analysis and selection of appropriate SFs to maintain reliable connectivity under varying propagation conditions.

8. Conclusions

The Satellite IoT sector is experiencing rapid expansion, driven by the need for ubiquitous connectivity and recent advancements in satellite communications. As terrestrial networks continue to face limitations in reaching remote and underserved areas, LEO satellites have emerged as a viable alternative due to their low-latency and high-throughput capabilities. In this evolving landscape, the adaptation of the LoRa/LoRaWAN protocol for direct-to-LEO satellite links—spanning orbital altitudes between 500 and 2000 km—represents a significant technological step. The LoRa/LoRaWAN-based satellite communication is now a reality. The performance evaluation confirms that path loss increases significantly with distance, rising from approximately 150 dB at 500 km to around 170 dB at 2000 km. This sharp increase underscores the inherent challenges of maintaining reliable links in satellite communications, where signal degradation becomes a critical factor as distance grows. The analysis of bitrate performance demonstrates that while higher SFs improve signal robustness, they substantially reduce the effective bitrate. Although this trade-off limits data throughput, higher SFs offer improved reliability at longer distances, which is essential in scenarios with high path loss. Similarly, BER analysis indicates that lower SFs result in higher error rates as distance increases, while SF12 maintains significantly lower BER even at 2000 km, highlighting its suitability for long-range communication with strict reliability requirements. The CDFs of path loss and BER further validate that higher SFs offer a greater probability of maintaining acceptable link quality over extended ranges. While higher SFs compromise data rate, they are crucial to ensuring communication robustness in the high-loss environments typical of LEO satellite links. Future system designs should consider these trade-offs, implementing adaptive schemes and advanced error correction to balance throughput and reliability across varying orbital distances. From a broader system-level perspective, the extension of the analysis to a full LEO satellite constellation introduces additional design considerations beyond the single-link evaluation presented in this work. In practical deployments, intermittent satellite visibility, frequent handover events, and the aggregate traffic load generated by a large number of IoT devices can significantly influence the optimal configuration of LoRa-based satellite links. In particular, the limited visibility window of each satellite constrains transmission opportunities, requiring careful management of spreading factor selection and duty cycle to balance reliability, latency, and network capacity. Frequent handovers between satellites may further favor more robust transmission modes to mitigate link interruptions, while the aggregate network load can impose stricter constraints on spectrum usage and access coordination. These aspects suggest that adaptive and network-aware parameter selection, jointly considering constellation dynamics and traffic conditions, will be essential for scalable and efficient LoRa-based satellite IoT systems.
Future work will focus on adaptive modulation techniques to optimize data rate and robustness in LoRa satellite links, along with advanced Doppler compensation strategies. Cross-layer design, energy-efficient protocols, and the use of AI for adaptive scheduling and error mitigation represent promising directions. Solutions like Proximal Policy Optimization (PPO) can improve the energy-efficient configuration of LoRa nodes, and its aligned simulation framework ensures dependable assessment of future optimization strategies.

Funding

This research received no external funding.

Data Availability Statement

The original contributions presented in this study are included in the article. Further inquiries can be directed to the corresponding author.

Acknowledgments

This work was supported by the European Union under the Italian National Recovery and Resilience Plan of Next Generation (NRRP) EU, partnership on “Telecommunications of the Future” (PE00000001—program “RESTART”).

Conflicts of Interest

The authors declare no conflicts of interest.

Abbreviations

The following abbreviations are used in this manuscript:
LEOLow Earth Orbit
D2SDirect-to-Satellite
mMTCmassive Machine-type Communications
URLLCUltra-reliable Low-Latency Communications
LR-FHSSLong-Range Frequency-Hopping Spread Spectrum
SNRSignal-to-Noise ratio
IoTInternet of Things
CSSChirp Spread Spectrum
LPWANLow-Power Wide-Area Network
NB-IoTNarrowband IoT
BERBit Error Rate
SERSymbol Error Rate
AWGNAdditive White Gaussian Noise
D2DDevice-to-Device
DRData Rate 5
ISMsub-GHz Industrial, Scientific, and Medical
SFSpreading Factors
FSPLFree-Space Path Loss
FECForward Error Correction
PLPath Loss
CDFCumulative Distribution Function

References

  1. MarketsandMarkets. Satellite IoT Market by Application (Asset Tracking, Remote Monitoring, and Others), Component (Hardware, Software, and Services), End User (Transportation, Energy, Government, and Others), and Region—Global Forecast to 2027; MarketsandMarkets: Pune, India, 2023. [Google Scholar]
  2. Yu, Q.; Mishra, D.; Wang, H.; He, D.; Yuan, J.; Matthaiou, M. Toward LoRa-Based LEO Satellite IoT: A Stochastic Geometry Perspective. IEEE Internet Things J. 2025, 12, 30725–30738. [Google Scholar] [CrossRef]
  3. Ullah, M.A.; Pasolini, G.; Mikhaylov, K.; Alves, H. Understanding the Limits of LoRa Direct-to-Satellite: The Doppler Perspectives. IEEE Open J. Commun. Soc. 2024, 5, 51–63. [Google Scholar] [CrossRef]
  4. Ma, Z.; Zhang, R.; Ai, B.; Lian, Z.; Zeng, L.; Niyato, D.; Peng, Y. Deep Reinforcement Learning for Energy Efficiency Maximization in RSMA IRS Assisted ISAC System. IEEE Trans. Veh. Technol. 2025, 74, 18273–18278. [Google Scholar] [CrossRef]
  5. Leyva-Mayorga, I.; Soret, B.; Röper, M.; Wübben, D.; Matthiesen, B.; Dekorsy, A.; Popovski, P. LEO Small-Satellite Constellations for 5G and Beyond-5G Communications. IEEE Access 2020, 8, 184955–184964. [Google Scholar] [CrossRef]
  6. Fu, Y. Real-Time Parameter Optimization of LoRa for LEO Satellite Communication. In Proceedings of the 2021 4th International Conference on Information Communication and Signal Processing (ICICSP), Shanghai, China, 24–26 September 2021; pp. 543–546. [Google Scholar] [CrossRef]
  7. Wang, R.; Kishk, M.A.; Alouini, M.-S. Ultra-Dense LEO Satellite-Based Communication Systems: A Novel Modeling Technique. IEEE Commun. Mag. 2022, 60, 25–31. [Google Scholar] [CrossRef]
  8. Zhou, W.; Hong, T.; Ding, X.; Zhang, G. LoRa Performance Analysis for LEO Satellite IoT Networks. In Proceedings of the 2021 13th International Conference on Wireless Communications and Signal Processing (WCSP), Changsha, China, 20–22 October 2021; pp. 1–5. [Google Scholar] [CrossRef]
  9. Boquet, G.; Tuset-Peiró, P.; Adelantado, F.; Watteyne, T.; Vilajosana, X. LR-FHSS: Overview and Performance Analysis. IEEE Commun. Mag. 2021, 59, 30–36. [Google Scholar] [CrossRef]
  10. Fraire, J.A.; Iova, O.; Valois, F. Space-Terrestrial Integrated Internet of Things: Challenges and Opportunities. IEEE Commun. Mag. 2022, 60, 64–70. [Google Scholar] [CrossRef]
  11. Liu, C.; Hong, T.; Ding, X.; Zhang, G. LoRa Differential Modulation for LEO Satellite IoT. In Proceedings of the International Conference on Wireless Communication and Signal Processing (WCSP), Changsha, China, 20–22 October 2021. [Google Scholar]
  12. Sagar, K. A Literature Review on Dynamic LEO Satellite Communication Network. J. Sci. Technol. 2022, 7, 146–171. [Google Scholar] [CrossRef]
  13. De Maio, A.; De La Oliva, A.; Zorzi, A.Z.E.M. A New LoRa-like Transceiver for LEO Satellite Communications. Sensors 2022, 22, 1830. [Google Scholar] [CrossRef]
  14. Ullah, M.A.; Mikhaylov, K.; Alves, H. Enabling MMTC in Remote Areas: LoRaWAN and LEO Satellite Integration for Offshore Wind Farm Monitoring. IEEE Trans. Ind. Inf. 2022, 18, 3744–3753. [Google Scholar] [CrossRef]
  15. Ullah, M.A.; Mikhaylov, K.; Alves, H. Analysis and Simulation of LoRaWAN LR-FHSS for Direct-to-Satellite Scenario. IEEE Wirel. Commun. Lett. 2022, 11, 548–552. [Google Scholar] [CrossRef]
  16. Maldonado, D.; Cardoso, L.S.; Fraire, J.A.; Guitton, A.; Iova, O.; Kaneko, M.; Rivano, H. Enhanced LR-FHSS receiver for headerless frame recovery in space–terrestrial integrated IoT networks. Comput. Netw. 2025, 257, 111018. [Google Scholar] [CrossRef]
  17. Petermann, T.; Clazzer, F.; Munari, A.; Gardill, M. Internet of Things via Satellite: A Multiple-Access Performance Study of LoRa and its Enhancements. In Proceedings of the 2022 11th Advanced Satellite Multi-media Systems Conference and the 17th Signal Processing for Space Communications Workshop (ASMS/SPSC), Graz, Austria, 6–8 September 2022; pp. 1–8. [Google Scholar] [CrossRef]
  18. Alvarez, G.; Fraire, J.A.; Hassan, K.A.; Cespedes, S.; Pesch, D. Uplink Transmission Policies for LoRa-Based Direct-to-Satellite IoT. IEEE Access 2022, 10, 72687–72701. [Google Scholar] [CrossRef]
  19. Afhamisis, M.; Palattella, M.R. SALSA: A Scheduling Algorithm for LoRa to LEO Satellites. IEEE Access 2022, 10, 11608–11615. [Google Scholar] [CrossRef]
  20. Boquet, G.; Tuset-Peiro, P.; Adelantado, F.; Vilajosana, T.W.E.X. A Survey on Scalable LoRaWAN for Massive IoT. IEEE Commun. Surv. Tutor. 2023, 25, 1841–1876. [Google Scholar]
  21. Uysal, H.G.; Yilmaz, F.; Çırpan, H.A.; Kucur, O.; Arslan, H. Quasisynchronous LoRa for LEO Nanosatellite Communications. In Proceedings of the 2023 IEEE International Black Sea Conference on Communications and Networking (BlackSeaCom), Istanbul, Turkiye, 4–7 July 2023; pp. 181–185. [Google Scholar] [CrossRef]
  22. Parada, R.; Monzon Baeza, V.; Barraca-Ibort, D.N.; Monzo, C. LoRa-Based Low-Cost Nanosatel-lite for Emerging Communication Networks in Complex Scenarios. Aerospace 2023, 10, 754. [Google Scholar] [CrossRef]
  23. Susilo, H.E.; Suryana, J. Research on LPWAN Direct to Satellite IoT: A Survey Technology and Performance on LEO Satellite. In Proceedings of the 2023 29th International Conference on Telecommunications (ICT), Toba, Indonesia, 8–9 November 2023; pp. 1–6. [Google Scholar]
  24. Maleki, A.; Nguyen, H.H.; Bedeer, E.; Barton, R. Outage Probability Analysis of LR-FHSS and D2D-Aided LR-FHSS Protocols in Shadowed-Rice Fading Direct-to-Satellite IoT Networks. IEEE Ternet Things J. 2024, 11, 11101–11116. [Google Scholar] [CrossRef]
  25. Ledesma, O.; Lamo, P.; Fraire, J.A. Trends in LPWAN Technologies for LEO Satellite Con-stellations in the NewSpace Context. Electronics 2024, 13, 579. [Google Scholar] [CrossRef]
  26. Ullah, A.; Mikhaylov, M.A.; Alves e, H.; Huq, K.M.S. Limits of LoRa Direct-to-Satellite: Doppler Effects. IEEE Open J. Commun. Soc. 2024, 5, 51–63. [Google Scholar] [CrossRef]
  27. Rolland, F.; Zhou, Z.; Accettura, N.; Berthou, P. Achieving reduced latency and energy efficiency in Direct-to-Satellite LoRaWAN communications. In Proceedings of the 2025 IEEE 21st International Conference on Factory Communication Systems (WFCS), Rostock, Germany, 10–13 June 2025; pp. 1–4. [Google Scholar] [CrossRef]
  28. Al Mojamed, M. Beacon-Based Uplink Transmission for LoRaWAN Direct to LEO Satellite Internet of Things. Int. J. Comput. Netw. Commun. (IJCNC) 2024, 16, 43. [Google Scholar] [CrossRef]
  29. Tondo, F.A.; Afhamisis, M.; Montejo-Sanchez, S.; Lopez, O.L.A.; Palattella, M.R.; Souza, R.D. Multiple Channel LoRa-to-LEO Scheduling for Direct-to-Satellite IoT. IEEE Access 2024, 12, 30627–30637. [Google Scholar] [CrossRef]
  30. Yu, Q.; Mishra, D.; Wang, H.; He, D.; Yuan, J.; Matthaiou, M. Closed-Form Access Proba-bility Analysis for LoRa-Based LEO Satellite IoT. In Proceedings of the ICC 2025—IEEE International Conference on Communications, Montreal, QC, Canada, 8–12 June 2025; pp. 3193–3199. [Google Scholar] [CrossRef]
  31. Shinde, S.S.; Naseh, D.; DeCola, T.; Tarchi, D. A Distributed Task Allocation Methodology for Edge Computing in a LEO Satellite IoT Context. In Proceedings of the 2025 12th Advanced Satellite Multimedia Systems Conference and the 18th Signal Processing for Space Communications Workshop (ASMS/SPSC), Sitges, Spain, 26–28 February 2025; pp. 1–7. [Google Scholar] [CrossRef]
  32. Semtech Corporation. LR1121 Datasheet. 2023. Available online: https://www.semtech.com/products/wireless-rf/lora-connect/lr1121 (accessed on 14 December 2025).
  33. Jung, S.; Jeong, S.; Kang, J.; Ryu, J.G.; Kang, J. Transceiver Design and Performance Analysis for LR-FHSS-Based Direct-to-Satellite IoT. IEEE Commun. Lett. 2023, 27, 3310–3314. [Google Scholar] [CrossRef]
  34. Sanchez-Vital, R.; Casals, L.; Heer-Salva, B.; Vidal, R.; Gomez, C.; Garcia-Villegas, E. Energy Performance of LR-FHSS: Analysis and Evaluation. Sensors 2024, 24, 5770. [Google Scholar] [CrossRef] [PubMed]
  35. Temim, M.A.B.; Ferré, G.; Seller, O. An LR-FHSS Receiver for Massive IoT Connectivity. In Proceedings of the 2023 IEEE 34th Annual International Symposium on Personal, Indoor and Mobile Radio Communications (PIMRC), Toronto, ON, Canada, 5–8 September 2023; pp. 1–6. [Google Scholar]
  36. Bukhari, J.; Zhang, Z. Understanding Long Range-Frequency Hopping Spread Spectrum (LR-FHSS) with Real-World Packet Traces. Acm Trans. Sens. Netw. 2023, 26, 1–30. [Google Scholar] [CrossRef]
  37. Elshabrawy, T.; Robert, J. Closed-Form Approximation of LoRa Modulation BER Perfor-mance. IEEE Commun. Lett. 2018, 22, 1778–1781. [Google Scholar] [CrossRef]
  38. Semtech Corporation. LoRa Technology Overview. 2023. Available online: https://www.semtech.com/lora (accessed on 14 December 2025).
  39. Semtech Corporation. LoRaWAN Regional Parameters v1.0.3; Semtech Corporation: Camarillo, CA, USA, 2020. [Google Scholar]
  40. Semtech Corporation; Krishnan, A. LoRaWAN and Multi-RAN Architecture Connecting the Next Billion IoT Devices; Semtech Corporation: Camarillo, CA, USA, 2020. [Google Scholar]
Figure 1. Adopted PRISMA-Based Screening and Selection Process.
Figure 1. Adopted PRISMA-Based Screening and Selection Process.
Electronics 15 00046 g001
Figure 2. System architecture of a D2S system based on Lora and LEO satellites.
Figure 2. System architecture of a D2S system based on Lora and LEO satellites.
Electronics 15 00046 g002
Figure 3. Pathloss vs. satellite distance.
Figure 3. Pathloss vs. satellite distance.
Electronics 15 00046 g003
Figure 4. Theoretical Achievable Bitrate vs. satellite distance.
Figure 4. Theoretical Achievable Bitrate vs. satellite distance.
Electronics 15 00046 g004
Figure 5. Bit Error Rate (BER) vs. satellite distance.
Figure 5. Bit Error Rate (BER) vs. satellite distance.
Electronics 15 00046 g005
Figure 6. Cumulative Distribution Function (CDF) of the Path Loss.
Figure 6. Cumulative Distribution Function (CDF) of the Path Loss.
Electronics 15 00046 g006
Figure 7. Cumulative Distribution Function (CDF) of Bit Error Rate (BER).
Figure 7. Cumulative Distribution Function (CDF) of Bit Error Rate (BER).
Electronics 15 00046 g007
Table 1. Inclusion Criteria Adopted in the PRISMA-Based Review.
Table 1. Inclusion Criteria Adopted in the PRISMA-Based Review.
IDInclusion Criterion
IC1The study addresses direct-to-satellite communication for Internet of Things (IoT) applications.
IC2The communication technology is based on LoRa, LoRaWAN, LR-FHSS, or LoRa-derived physical layers.
IC3The satellite segment is based on Low Earth Orbit (LEO) satellites, including constellations or nanosatellites.
IC4The study provides analytical, simulation-based, or experimental performance evaluation.
IC5The work is published in a peer-reviewed journal or conference proceeding.
IC6The article is written in English and the full text is accessible.
IC7The publication date falls within the period 2019–2025.
Table 2. Exclusion Criteria Adopted in the PRISMA-Based Review.
Table 2. Exclusion Criteria Adopted in the PRISMA-Based Review.
IDExclusion Criterion
EC1Studies focusing exclusively on terrestrial LoRaWAN networks without satellite involvement.
EC2Articles addressing satellite communications not based on LoRa/LoRaWAN (e.g., NB-IoT, LTE-M, 5G NTN).
EC3Studies considering only GEO or MEO satellites without explicit LEO satellite analysis.
EC4Works not focused on IoT or LPWAN use cases (e.g., broadband or high-throughput satellite systems).
EC5Purely conceptual papers lacking analytical, simulation, or experimental evaluation.
EC6Duplicate publications reporting the same study; only the most complete or recent version was retained.
EC7Articles whose full text could not be retrieved during the screening process.
EC8Non-peer-reviewed sources, such as white papers, patents, theses, or technical reports.
Table 3. Comparative Overview of Analyzed Papers on LoRa/LoRaWAN and LEO Satellite Communication.
Table 3. Comparative Overview of Analyzed Papers on LoRa/LoRaWAN and LEO Satellite Communication.
YearPaper TitleProposed SolutionLimitations
2019LEO Small-Satellite Constellations for 5G and Beyond-5G Communications [5]Mathematical modeling of LEO constellations, SNR and link budget analysis, interference modelingFocused on 5G/mMTC, not specifically LoRa; limited satellite IoT evaluation
2021Real-Time Parameter Optimization of LoRa for LEO Satellite Communication [6]Multi-objective optimization of LoRa parameters for energy efficiency and reliabilitySimulation-based; no large-scale deployment validation
2021Ultra-Dense LEO Satellite-Based Communication Systems: A Novel Modeling Technique [7]Queuing theory and interference modeling for ultra-dense LEO constellationsFocused on network capacity; LoRa-specific aspects not addressed
2021LoRa Performance Analysis for LEO Satellite IoT Networks [8]Performance analysis of LoRa over LEO satellites; evaluation of SF, power, and coverage trade-offsNeeds optimization for Doppler compensation; limited LR-FHSS analysis
2021LR-FHSS: Overview and Performance Analysis [9]Overview and analysis of LR-FHSS, frequency hopping to reduce collisionsNot evaluated in direct-to-satellite scenario initially
2021Space-Terrestrial Integrated Internet of Things: Challenges and Opportunities [10]Integrated terrestrial–satellite IoT architecture; energy, coverage, delay analysisRequires protocol adaptations for high-mobility satellites; no direct LR-FHSS deployment
2021LoRa Differential Modulation for LEO Satellite IoT [11]Differential modulation for LoRa over LEO satellites to mitigate DopplerLimited to phase/frequency offset mitigation; does not cover LR-FHSS
2022A Literature Review on Dynamic LEO Satellite Communication Network [12]Review of dynamic LEO network techniques; beamforming, interference mitigation, dynamic schedulingPrimarily a review; no specific LoRa LR-FHSS evaluation
2022A New LoRa-like Transceiver for LEO Satellite Communications [13]LoRa-like transceiver design for satellite IoT; energy-efficient link budgetHardware-focused; no LR-FHSS analysis
2022Enabling MMTC in Remote Areas: LoRaWAN and LEO Satellite Integration for Offshore Wind Farm Monitoring [14]LoRaWAN + LEO satellites for mMTC; Rician fading channel modelingMainly coverage and reliability analysis; no detailed LR-FHSS performance metrics
2022Analysis and Simulation of LoRaWAN LR-FHSS for Direct-to-Satellite Scenario [15]LoRaWAN LR-FHSS for D2S; models satellite mobility, Rician fading, inter-arrival packet probabilitiesFocused on European region; limited real-world validation
2022Enhanced LR-FHSS receiver for headerless frame recovery in space–terrestrial integrated IoT networks [16]LR-FHSS evaluation in D2S; Doppler and interference modelingSimulation-based; may not cover extreme Doppler or dense deployments fully
2022Internet of Things via Satellite: A Multiple-Access Performance Study of LoRa and its Enhancements [17]Scalability analysis of LoRa multiple-access for satellite IoTAnalytical; practical network validation missing
2022Uplink Transmission Policies for LoRa-Based Direct-to-Satellite IoT [18]Uplink channel modeling with fading, BER analysis, power optimizationLimited to simulation; no experimental validation
2022SALSA: A Scheduling Algorithm for LoRa to LEO Satellites [19]SALSA scheduling algorithm for LEO LoRa; optimizes latency and throughputNeeds real-world testing; complexity in dense networks
2023A Survey on Scalable LoRaWAN for Massive IoT [20]Scalable LoRaWAN review; interference mitigation and queuing theoryRecommendations mainly theoretical; deployment challenges remain
2023Quasisynchronous LoRa for LEO Nanosatellite Communications [21]Quasisynchronous LoRa for nanosatellites; Doppler mitigationFocused on nanosatellites; limited LoRaWAN LR-FHSS applicability
2023LoRa-Based Low-Cost Nanosatellite for Emerging Communication Networks in Complex Scenarios [22]Low-cost LoRa nanosatellite platform; link budget and RSSI analysisHardware-focused; short-range evaluation ( 14 km)
2023Research on LPWAN Direct to Satellite IoT: A Survey Technology and Performance on LEO Satellite [23]Comparative review of LPWAN for D2S IoT; interference and throughput modelingReview only; lacks new experimental results
2024Outage Probability Analysis of LR-FHSS and D2D-Aided LR-FHSS Protocols in Shadowed-Rice Fading Direct-to-Satellite IoT Networks [24]D2D-assisted LR-FHSS for D2S; shadowed-Rician fading, network codingExtra transmissions required; only simulation-based validation
2024Trends in LPWAN Technologies for LEO Satellite Constellations in the NewSpace Context [25]Trends in LoRaWAN for LEO; synchronization and interference mitigationRequires further coordination mechanisms; theoretical analysis
2024Limits of LoRa Direct-to-Satellite: Doppler Effects [26]Doppler effect modeling; frequency compensation for LoRa D2SSimulation-based; only considers Doppler mitigation
2024Achieving reduced latency and energy efficiency in Direct-to-Satellite LoRaWAN communications [27]Energy-efficient LoRaWAN strategies; adaptive transmission and duty-cycle controlSimulation-based; practical deployment not evaluated
2024Beacon-Based Uplink Transmission for LoRaWAN Direct to LEO Satellite Internet of Things [28]Beacon-based uplink LoRaWAN (BU-LoRaWAN) for D2S; synchronization and collision reductionRequires satellite beacon coverage; simulation-only validation
2024Multiple Channel LoRa-to-LEO Scheduling for Direct-to-Satellite IoT [29]Scheduling algorithm for multi-channel LoRa uplinks to LEO satellites; improves throughput and reduces collisionsSimulation-based; may require complex coordination in dense networks
2025Closed-form Access Probability Analysis for LoRa-based LEO Satellite IoT [30]Analytical derivation of access probabilities for LoRa D2S under fading and interferenceFocused on analytical model; lacks experimental validation; may not capture all real-world dynamics
2025A Distributed Task Allocation Methodology for Edge Computing in a LEO Satellite IoT Context [31]Distributed task allocation framework for edge computing nodes in LEO satellite IoT; optimizes latency and resource usageComplexity increases with network size; mostly simulation-based; practical deployment not yet validated
Table 4. Input Parameters for LoRa Direct-to-Satellite Simulation.
Table 4. Input Parameters for LoRa Direct-to-Satellite Simulation.
ParameterValueUnitDescription
Frequency (f) 2.1 × 10 9 HzCarrier frequency in S-Band (typical for LEO satellite)
Distance range (d)500 to 2000kmSatellite altitude above Earth
Speed of light (c) 3 × 10 8 m/sSpeed of electromagnetic waves in vacuum
Transmit Power ( P t x ) + 22 dBmMaximum transmit power (Semtech LR1121)
Transmitter Antenna Gain ( G t x )2dBiGain of the transmit antenna
Receiver Antenna Gain ( G r x )10dBiGain of the receiver antenna
Bandwidth (BW) 125 × 10 3 HzLoRa signal bandwidth
Temperature (T)290KSystem noise temperature
Boltzmann constant (k) 1.38 × 10 23 J/KPhysical constant used in thermal noise calculation
Spreading Factors (SF)7 to 12LoRa spreading factors tested
Receiver Sensitivity 136 (SF = 9, BW = 125kHz)dBmTypical LoRa sensitivity from Semtech datasheet
Noise Floor ( P n o i s e ) 174 + 10 log 10 ( BW ) + 10 log 10 ( T ) dBmThermal noise power per bandwidth
Disclaimer/Publisher’s Note: The statements, opinions and data contained in all publications are solely those of the individual author(s) and contributor(s) and not of MDPI and/or the editor(s). MDPI and/or the editor(s) disclaim responsibility for any injury to people or property resulting from any ideas, methods, instructions or products referred to in the content.

Share and Cite

MDPI and ACS Style

Vizzarri, A. LORA-to-LEO Satellite—A Review with Performance Analysis. Electronics 2026, 15, 46. https://doi.org/10.3390/electronics15010046

AMA Style

Vizzarri A. LORA-to-LEO Satellite—A Review with Performance Analysis. Electronics. 2026; 15(1):46. https://doi.org/10.3390/electronics15010046

Chicago/Turabian Style

Vizzarri, Alessandro. 2026. "LORA-to-LEO Satellite—A Review with Performance Analysis" Electronics 15, no. 1: 46. https://doi.org/10.3390/electronics15010046

APA Style

Vizzarri, A. (2026). LORA-to-LEO Satellite—A Review with Performance Analysis. Electronics, 15(1), 46. https://doi.org/10.3390/electronics15010046

Note that from the first issue of 2016, this journal uses article numbers instead of page numbers. See further details here.

Article Metrics

Back to TopTop