Color-to-Grayscale Image Conversion Based on the Entropy and the Local Contrast
Abstract
1. Introduction
- •
- A novel and simplified local contrast preservation mechanism that directly integrates Edge Content (EC) [39] values-computed via Sobel operators-into the objective function, thereby reducing computational complexity over Canny-based methods.
- •
- Rigorous quantitative and qualitative evaluations that validate the superior performance of our method against state-of-the-art techniques on three benchmark datasets.
- •
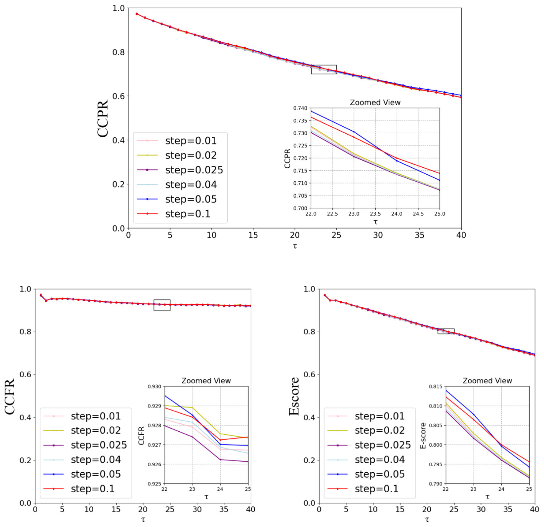
- We demonstrate the efficacy of a discrete search strategy with a step of size 0.1 granularity, which significantly enhances computational efficiency without sacrificing precision.
2. Related Work
3. Methodology
3.1. Calculation of Image Entropy and EC Values
3.2. Determining the Optimal Grayscale Image
| Algorithm 1 Color-to-Grayscale Conversion Algorithm |
|
4. Experimental Results
4.1. Qualitative Evaluation
4.2. Quantitative Evaluation
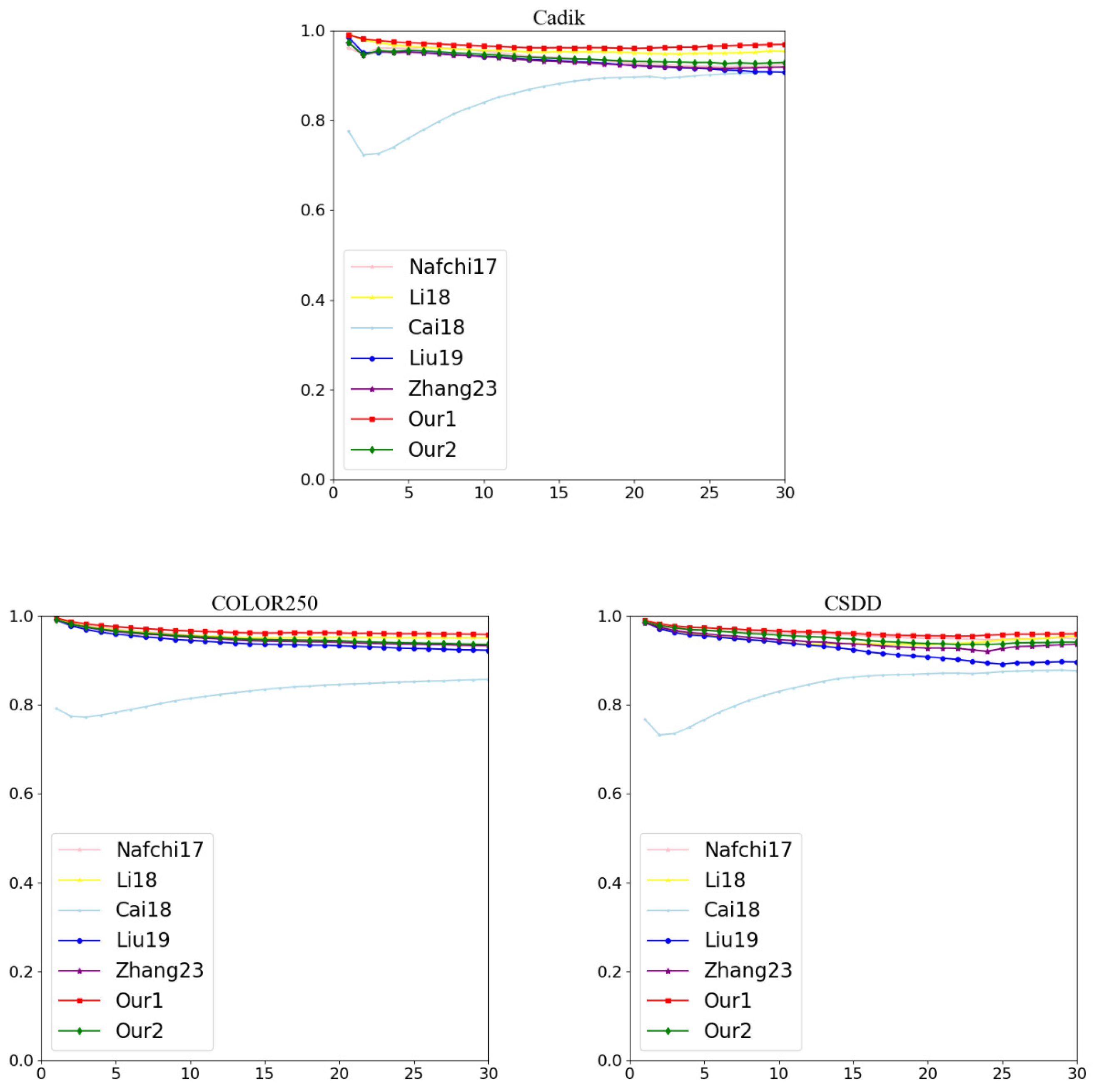
4.2.1. CCPR
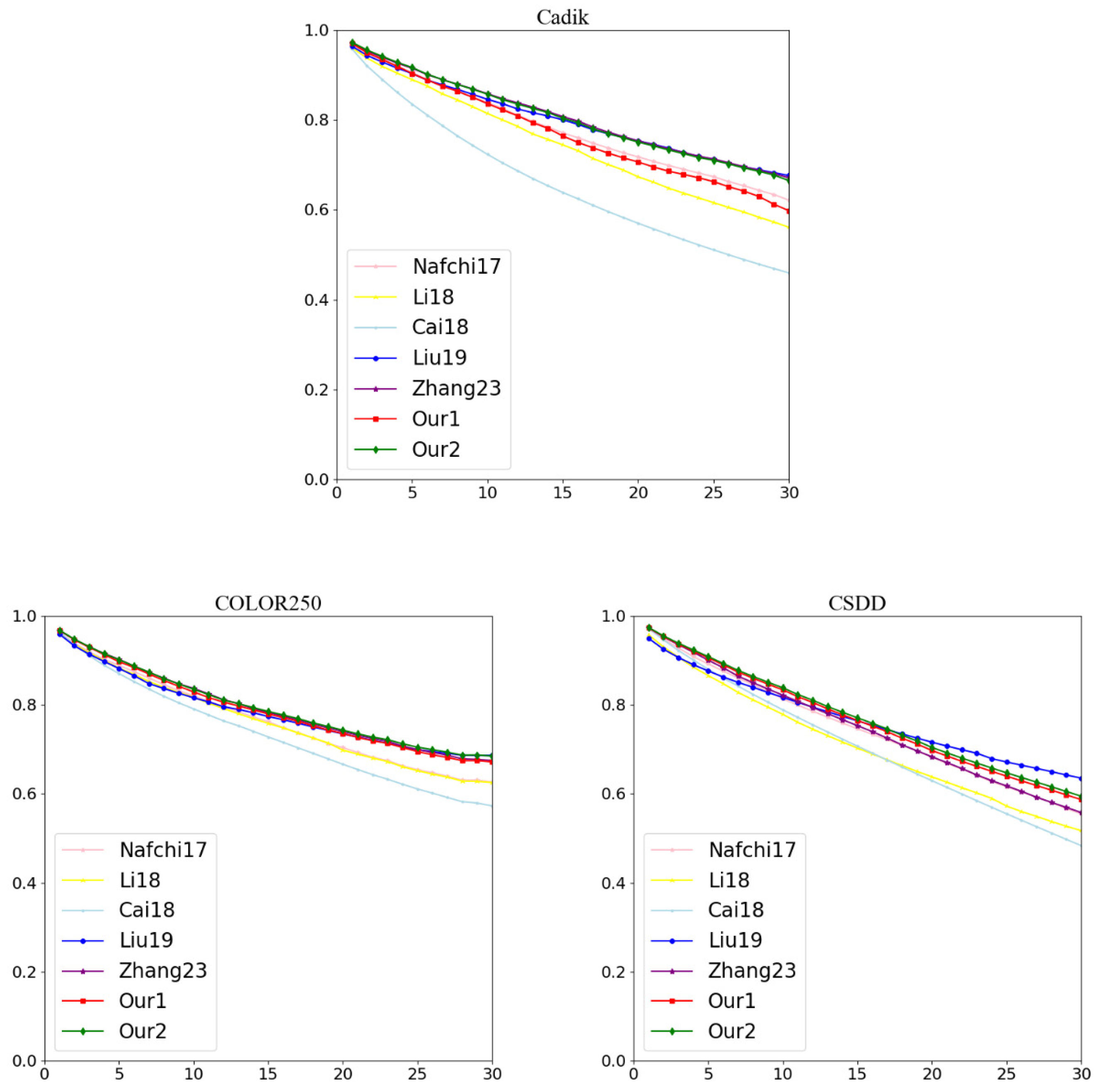
4.2.2. CCFR
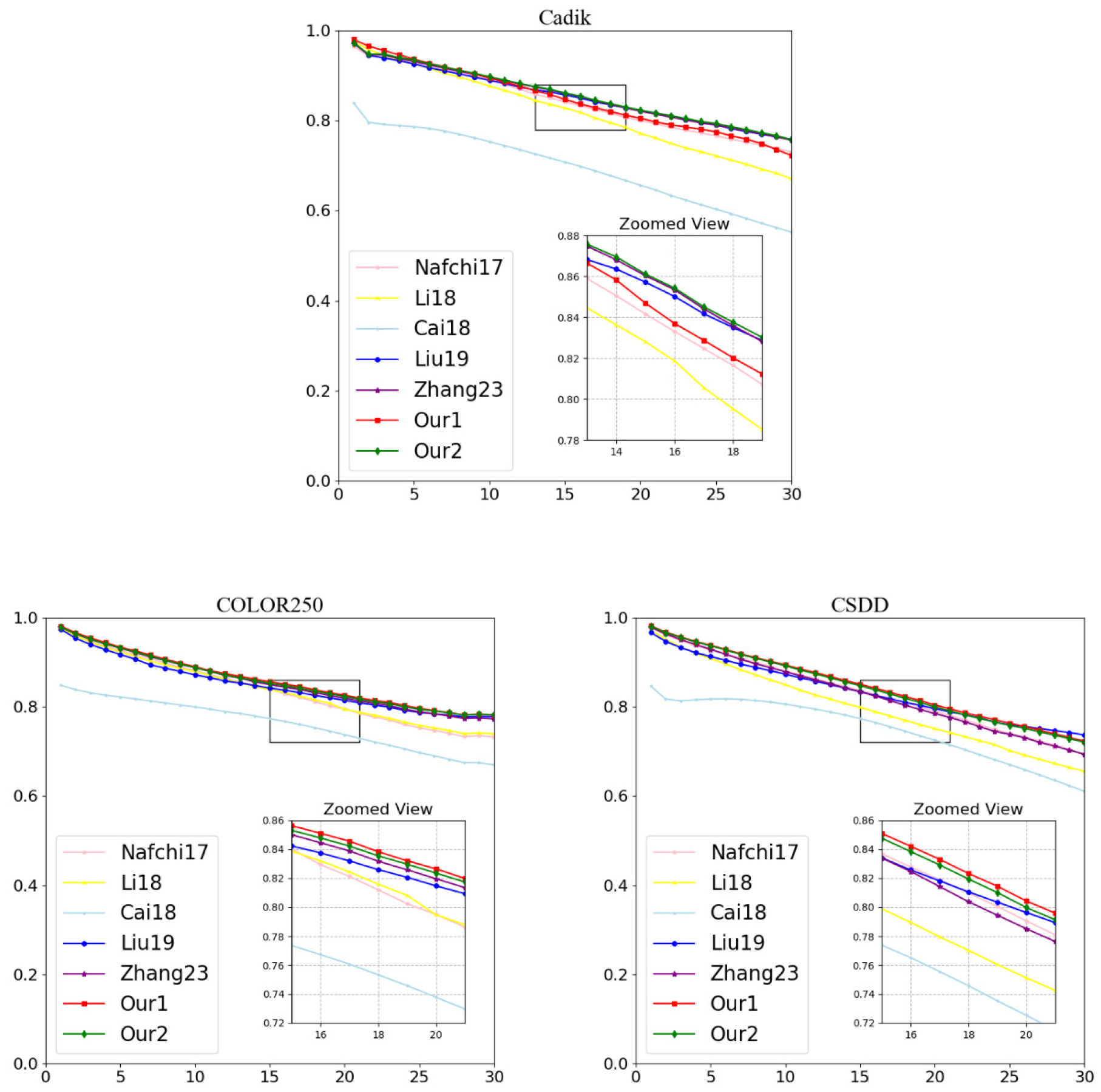
4.2.3. E-Score Evaluation
4.3. Validation of the Optimal Step Size for Channel Weights
5. Conclusions
Author Contributions
Funding
Data Availability Statement
Conflicts of Interest
References
- Sharma, G.; Trussell, H.J. Digital color imaging. IEEE Trans. Image Process. 1997, 6, 901–932. [Google Scholar] [CrossRef]
- MathWorks. rgb2gray Documentation. 2023. Available online: https://www.mathworks.com/help/matlab/ref/rgb2gray.html (accessed on 1 October 2023).
- ITU-R Recommendation BT.601-7; Studio Encoding Parameters of Digital Television for Standard 4:3 and Wide-Screen 16:9 Aspect Ratios. Recommendation, International Telecommunication Union: Geneva, Switzerland, 2011.
- Smith, K.; Egelhaaf, P.A.M. A contrast-based algorithm for the decolorization of complex scenes. In Proceedings of the 18th IEEE International Conference on Image Processing (ICIP), Brussels, Belgium, 11–14 September 2011; pp. 2677–2680. [Google Scholar]
- Lu, C.; Xu, L.; Jia, J. Contrast preserving decolorization. In Proceedings of the IEEE International Conference on Computational Photography (ICCP), Seattle, WA, USA, 28–29 April 2012; pp. 1–7. [Google Scholar]
- Seo, J.W.; Kim, S.D. Novel PCA-based color-to-gray image conversion. In Proceedings of the IEEE International Conference on Image Processing, Melbourne, Australia, 15–18 September 2013; pp. 2279–2283. [Google Scholar]
- Zhu, W.; Hu, R.; Liu, L. Grey conversion via perceived-contrast. Vis. Comput. 2014, 30, 299–309. [Google Scholar] [CrossRef]
- Du, H.; He, S.; Sheng, B.; Ma, L.; Lau, R.W.H. Saliency-Guided Color-to-Gray Conversion Using Region-Based Optimization. IEEE Trans. Image Process. 2014, 24, 434–443. [Google Scholar] [CrossRef] [PubMed]
- Lu, C.; Li, X.; Jia, J. Contrast Preserving Decolorization with Perception-Based Quality Metrics. Int. J. Comput. Vis. 2014, 110, 222–239. [Google Scholar] [CrossRef]
- Wu, Z.; Robinson, J. Edge-preserving colour-to-greyscale conversion. Iet Image Process. 2014, 8, 252–260. [Google Scholar] [CrossRef]
- Liu, Q.; Liu, P.X.; Xie, W.; Wang, Y.; Liang, D. GcsDecolor: Gradient Correlation Similarity for Efficient Contrast Preserving Decolorization. IEEE Trans. Image Process. 2015, 24, 2889–2904. [Google Scholar] [CrossRef]
- Chen, J.; Li, X.; Zhu, X.; Wang, J. Visual perception preserving decolorization method. Int. J. Signal Image Process. Pattern Recognit. 2016, 9, 65–78. [Google Scholar] [CrossRef]
- Wan, Y.; Xie, Q. A Novel Framework for Optimal RGB to Grayscale Image Conversion. In Proceedings of the International Conference on Intelligent Human-Machine Systems and Cybernetics (IHMSC), Hangzhou, China, 27–28 August 2016; Volume 2, pp. 345–348. [Google Scholar]
- Liu, Q.; Shao, G.; Wang, Y.; Gao, J.; Leung, H. Log-Euclidean Metrics for Contrast Preserving Decolorization. IEEE Trans. Image Process. 2017, 26, 5772–5783. [Google Scholar] [CrossRef]
- Nafchi, H.Z.; Shahkolaei, A.; Hedjam, R.; Cheriet, M. CorrC2G: Color to Gray Conversion by Correlation. IEEE Signal Process. Lett. 2017, 24, 1651–1655. [Google Scholar] [CrossRef]
- Wang, W.; Li, Z.G.; Wu, S.Q. Color Contrast-Preserving Decolorization. IEEE Trans. Image Process. 2018, 27, 5464–5474. [Google Scholar] [CrossRef]
- Cai, B.; Xu, X.; Xing, X. Perception Preserving Decolorization. In Proceedings of the IEEE International Conference on Image Processing (ICIP), Athens, Greece, 7–10 October 2018; pp. 2810–2814. [Google Scholar]
- Hou, X.; Gong, Y.; Liu, B.; Sun, K.; Liu, J.; Xu, B.; Duan, J.; Qiu, G. Learning based Image Transformation using Convolutional Neural Networks. IEEE Access 2018, 6, 49779–49792. [Google Scholar] [CrossRef]
- Zhang, X.; Liu, S. Contrast preserving image decolorization combining global features band local semantic features. Vis. Comput. 2018, 34, 1099–1108. [Google Scholar] [CrossRef]
- Li, X.; Zhang, L.; Wan, Y. A New Color-to-Gray Conversion Method Based on Edge Detection. In Proceedings of the International Conference on Communications, Circuits, and Systems (ICCCAS), Chengdu, China, 22–24 December 2018. [Google Scholar]
- Liu, Q.; Henry, L. Variable augmented neural network for decolorization and multi-exposure fusion. Inf. Fusion 2019, 46, 114–127. [Google Scholar] [CrossRef]
- Liu, S.; Zhang, X. Image decolorization combining local features and exposure features. IEEE Trans. Multimed. 2019, 21, 2461–2472. [Google Scholar] [CrossRef]
- Liu, Q.; Li, S.; Xiong, J.; Qin, B. WpmDecolor: Weighted projection maximum solver for contrast-preserving decolorization. Vis. Comput. 2019, 35, 205–221. [Google Scholar] [CrossRef]
- Chen, H.; Fang, F. Bregman-Tanimoto Based Method for Contrast Preserving Decolorization. In Proceedings of the 2019 IEEE International Conference on Multimedia and Expo (ICME), Shanghai, China, 8–12 July 2019; pp. 1240–1245. [Google Scholar]
- Ambalathankandy, P.; Ou, Y.; Ikebe, M. Warm-cool color-based high-speed decolorization: An empirical approach for tone mapping applications. J. Electron. Imaging 2021, 30, 043026–043035. [Google Scholar] [CrossRef]
- Isumi, R.; Yamamoto, K.; Noma, T. Color2Hatch: Conversion of color to hatching for low-cost printing. Vis. Comput. 2021, 37, 3103–3113. [Google Scholar] [CrossRef]
- Li, F.; Zhu, Y. Smoothing and Clustering Guided Image Decolorization. Image Anal. Stereol. 2021, 40, 17–27. [Google Scholar] [CrossRef]
- Yu, N.; Li, J.; Hua, Z. Detail enhancement decolorization algorithm based on rolling guided filtering. Multimed. Tools Appl. 2022, 81, 2711–2731. [Google Scholar] [CrossRef]
- Yu, N.; Li, J.; Hua, Z. Decolorization algorithm based on contrast pyramid transform fusion. Multimed. Tools Appl. 2022, 81, 15017–15039. [Google Scholar] [CrossRef]
- Zhang, L.; Wan, Y. Decolorization based on the weighted combination of image entropy and canny edge retention ratio. J. Electron. Imaging 2023, 32, 013024. [Google Scholar] [CrossRef]
- Khudhair, Z.N.; Khdiar, A.N.; El Abbadi, N.K.; Mohamed, F.; Saba, T.; Alamri, F.S.; Rehman, A. Color to Grayscale Image Conversion Based on Singular Value Decomposition. IEEE Access 2023, 11, 54629–54638. [Google Scholar] [CrossRef]
- Zhang, L.; Wan, Y. Color-to-gray image conversion using salient colors and radial basis functions. J. Electron. Imaging 2024, 33, 013047. [Google Scholar] [CrossRef]
- Śluzek, A. Incremental Image Decolorization with Randomizing Factors. In Proceedings of the 32nd European Signal Processing Conference (EUSIPCO), Lyon, France, 26–30 August 2024; pp. 591–595. [Google Scholar]
- Ceylan, A.; Özay, E.K.; Tunga, B. Contrast and content preserving HDMR-based color-to-gray conversion. Comput. Graph. 2024, 125, 104110. [Google Scholar] [CrossRef]
- Wu, T.; Eising, C.; Glavin, M.; Jones, E. An Efficient and Effective Image Decolorization Algorithm Based on Cumulative Distribution Function. J. Imaging 2024, 10, 51. [Google Scholar] [CrossRef]
- Sanchez-Cesteros, O.; Rincon, M. Decolorization with Warmth–Coolness Adjustment in an Opponent and Complementary Color System. J. Imaging 2025, 11, 199. [Google Scholar] [CrossRef] [PubMed]
- Ma, K.; Zhao, T.; Zeng, K.; Wang, Z. Objective Quality Assessment for Color-to-Gray Image Conversion. IEEE Trans. Image Process. 2015, 24, 4673–4685. [Google Scholar] [CrossRef]
- Cheng, Z.; Yang, Q.; Sheng, B. Deep color-to-gray: An adaptive approach. In Proceedings of the IEEE/CVF Conference on Computer Vision and Pattern Recognition (CVPR), Long Beach, CA, USA, 16–20 June 2019; pp. 1237–1246. [Google Scholar]
- Turiel, A. The multifractal structure of contrast changes in natural images: From sharp edges to textures. Neural Comput. 2000, 12, 763–793. [Google Scholar] [CrossRef] [PubMed]
- Cover, T.M.; Thomas, J.A. Elements of Information Theory; Wiley-Interscience: Hoboken, NJ, USA, 2006. [Google Scholar]
- Čadík, M. Perceptual evaluation of color-to-grayscale image conversions. Comput. Graph. Forum 2008, 27, 1745–1754. [Google Scholar] [CrossRef]
- Duda, R.; Hart, P. Pattern Classification and Scene Analysis; Wiley: Hoboken, NJ, USA, 1973. [Google Scholar]
- Wang, S. A hybrid SMOTE and Trans-CWGAN for data imbalance in real operational AHU AFDD: A case study of an auditorium building. Energy Build. 2025, 348, 116447. [Google Scholar] [CrossRef]
- Wang, S. Evaluating cross-building transferability of attention-based automated fault detection and diagnosis for air handling units: Auditorium and hospital case study. Build. Environ. 2026, 287, 113889. [Google Scholar] [CrossRef]









Disclaimer/Publisher’s Note: The statements, opinions and data contained in all publications are solely those of the individual author(s) and contributor(s) and not of MDPI and/or the editor(s). MDPI and/or the editor(s) disclaim responsibility for any injury to people or property resulting from any ideas, methods, instructions or products referred to in the content. |
© 2025 by the authors. Licensee MDPI, Basel, Switzerland. This article is an open access article distributed under the terms and conditions of the Creative Commons Attribution (CC BY) license.
Share and Cite
Zhang, L.; Yang, J.; Xu, Y. Color-to-Grayscale Image Conversion Based on the Entropy and the Local Contrast. Electronics 2026, 15, 114. https://doi.org/10.3390/electronics15010114
Zhang L, Yang J, Xu Y. Color-to-Grayscale Image Conversion Based on the Entropy and the Local Contrast. Electronics. 2026; 15(1):114. https://doi.org/10.3390/electronics15010114
Chicago/Turabian StyleZhang, Lina, Jiale Yang, and Yamei Xu. 2026. "Color-to-Grayscale Image Conversion Based on the Entropy and the Local Contrast" Electronics 15, no. 1: 114. https://doi.org/10.3390/electronics15010114
APA StyleZhang, L., Yang, J., & Xu, Y. (2026). Color-to-Grayscale Image Conversion Based on the Entropy and the Local Contrast. Electronics, 15(1), 114. https://doi.org/10.3390/electronics15010114

