Secondary Frequency Regulation Strategy for Battery Swapping Stations Considering the Behavioral Model of Electric Vehicles
Abstract
1. Introduction
2. Secondary Frequency Control Model
2.1. The Behavioral Model of EV Agents

2.2. Virtual Frequency Regulation Loss Function
2.3. Quadratic Frequency Regulation Control Model
2.3.1. Objective Function
2.3.2. Frequency Regulation Constraints
2.3.3. Frequency Regulation Control Model
3. Distributed Control Strategy for Secondary Frequency Regulation of Battery Swapping Station
3.1. Distributed Consensus Algorithm
3.2. Secondary Frequency Regulation Distributed Control Strategy
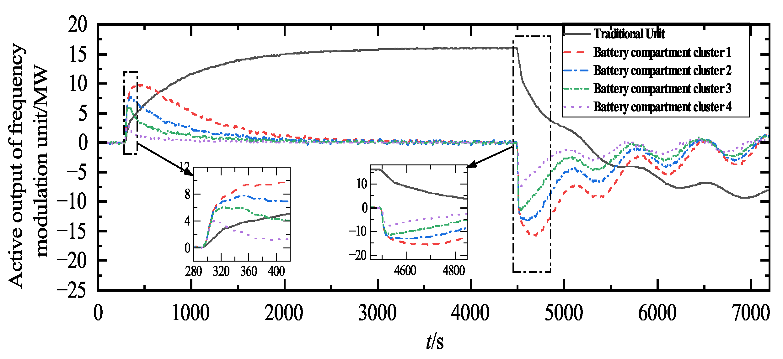
4. Case Study
5. Conclusions
Author Contributions
Funding
Data Availability Statement
Conflicts of Interest
References
- Wang, Z.; Hou, S. Optimal participation of battery swapping stations in frequency regulation market considering uncertainty. Energy 2024, 302, 131815. [Google Scholar] [CrossRef]
- Arora, A.; Murarka, M.; Rakshit, D.; Mishra, S. Multiobjective optimal operation strategy for electric vehicle battery swapping station considering battery degradation. Clean. Energy Syst. 2023, 4, 100048. [Google Scholar] [CrossRef]
- Infante, W.; Ma, J.; Han, X.; Liebman, A. Optimal recourse strategy for battery swapping stations considering electric vehicle uncertainty. IEEE Trans. Intell. Transp. Syst. 2019, 21, 1369–1379. [Google Scholar] [CrossRef]
- Rajendran, G.; Vaithilingam, C.A.; Misron, N.; Naidu, K.; Ahmed, M.R. A comprehensive review on system architecture and international standards for electric vehicle charging stations. J. Energy Storage 2021, 42, 103099. [Google Scholar] [CrossRef]
- Mehrjerdi, H.; Rakhshani, E. Vehicle-to-grid technology for cost reduction and uncertainty management integrated with solar power. J. Clean. Prod. 2019, 229, 463–469. [Google Scholar] [CrossRef]
- Zeng, B.; Dong, H.; Sioshansi, R.; Xu, F.; Zeng, M. Bilevel robust optimization of electric vehicle charging stations with distributed energy resources. IEEE Trans. Ind. Appl. 2020, 56, 5836–5847. [Google Scholar] [CrossRef]
- Zhang, Q.; Li, Y.; Li, C.; Li, C. Grid frequency regulation strategy considering individual driving demand of electric vehicle. Electr. Power Syst. Res. 2018, 163, 38–48. [Google Scholar] [CrossRef]
- Luo, L.; Wu, Z.; Gu, W.; Huang, H.; Gao, S.; Han, J. Coordinated allocation of distributed generation resources and electric vehicle charging stations in distribution systems with vehicle-to-grid interaction. Energy 2020, 192, 116631. [Google Scholar] [CrossRef]
- Xing, L.; Mishra, Y.; Tian, Y.C.; Ledwich, G.; Su, H.; Peng, C.; Fei, M. Dual-consensus-based distributed frequency control for multiple energy storage systems. IEEE Trans. Smart Grid 2019, 10, 6396–6403. [Google Scholar] [CrossRef]
- Kaur, K.; Kumar, N.; Singh, M. Coordinated power control of electric vehicles for grid frequency support: MILP-based hierarchical control design. IEEE Trans. Smart Grid 2018, 10, 3364–3373. [Google Scholar] [CrossRef]
- Wu, C.; Lin, X.; Sui, Q.; Wang, Z.; Feng, Z.; Li, Z. Two-stage self-scheduling of battery swapping station in day-ahead energy and frequency regulation markets. Appl. Energy 2021, 283, 116285. [Google Scholar] [CrossRef]
- Zhao, L.; Guan, H.; Zhang, X.; Wu, X. A regret-based route choice model with asymmetric preference in a stochastic network. Adv. Mech. Eng. 2018, 10, 1687814018793238. [Google Scholar] [CrossRef]
- Dong, L.; Wang, C.; Li, M.; Sun, K.; Chen, T.; Sun, Y. User decision-based analysis of urban electric vehicle loads. CSEE J. Power Energy Syst. 2020, 7, 190–200. [Google Scholar]
- Li, P.; Tan, Z.; Zhou, Y.; Li, C.; Li, R.; Qi, X. Secondary frequency regulation strategy with fuzzy logic method and self-adaptive modification of state of charge. IEEE Access 2018, 6, 43575–43585. [Google Scholar] [CrossRef]
- Hong, Y.; Xu, D.; Yang, W.; Jiang, B.; Yan, X.G. A novel multi-agent model-free control for state-of-charge balancing between distributed battery energy storage systems. IEEE Trans. Emerg. Top. Comput. Intell. 2020, 5, 679–688. [Google Scholar] [CrossRef]
- Li, S.; Xu, Q.; Fang, L.; Xia, Y.; Hua, K.; Meng, Y. Dynamic feedback-based active equalization control method for state of charge of battery energy storage in the power grid. Electr. Power Syst. Res. 2024, 230, 110201. [Google Scholar] [CrossRef]
- Chen, W.; Ma, Z.; Liu, W.; Dong, H. Adaptive Control Strategy for Primary Frequency Regulation of Energy Storage Battery Banks with SOC. In Proceedings of the 2022 3rd International Conference on Advanced Electrical and Energy Systems (AEES), Lanzhou, China, 23–25 September 2022; IEEE: Piscataway, NJ, USA, 2022; pp. 165–170. [Google Scholar]
- Wang, K.; Tian, L.; Li, J.; Jiang, T. SOC Consistency Optimization Control Strategy of Flywheel Array Energy Storage System for Grid Primary Frequency Regulation. In Proceedings of the 2022 IEEE/IAS Industrial and Commercial Power System Asia (I&CPS Asia), Shanghai, China, 8–11 July 2022; pp. 1517–1524. [Google Scholar]
- Mégel, O.; Liu, T.; Hill, D.J.; Andersson, G. Distributed Secondary Frequency Control Algorithm Considering Storage Efficiency. IEEE Trans. Smart Grid 2018, 9, 6214–6228. [Google Scholar] [CrossRef]
- Wang, X.; Wang, J.; Liu, J. Vehicle to grid frequency regulation capacity optimal scheduling for battery swapping station using deep Q-network. IEEE Trans. Ind. Inform. 2020, 17, 1342–1351. [Google Scholar] [CrossRef]
- Ning, B.; Han, Q.L.; Ding, L. Distributed finite-time secondary frequency and voltage control for islanded microgrids with communication delays and switching topologies. IEEE Trans. Cybern. 2020, 51, 3988–3999. [Google Scholar] [CrossRef]
- Yi, Z.; Xu, Y.; Gu, W.; Fei, Z. Distributed model predictive control based secondary frequency regulation for a microgrid with massive distributed resources. IEEE Trans. Sustain. Energy 2020, 12, 1078–1089. [Google Scholar] [CrossRef]
- Oshnoei, A.; Kheradmandi, M.; Muyeen, S. Robust control scheme for distributed battery energy storage systems in load frequency control. IEEE Trans. Power Syst. 2020, 35, 4781–4791. [Google Scholar] [CrossRef]
- Deng, H.; Liu, X. Distributed MPC for Automatic Generation Control of Power System with Wind Power and Battery Energy Storage Systems. In Proceedings of the 2021 China Automation Congress (CAC), Beijing, China, 22–24 October 2021; pp. 7057–7062. [Google Scholar]
- Wu, H.; Chai, L.; Tian, Y.C. Distributed multirate control of battery energy storage systems for power allocation. IEEE Trans. Ind. Inform. 2022, 18, 8745–8754. [Google Scholar] [CrossRef]
- Kim, H.S.; Hong, J.; Choi, I.S. Implementation of distributed autonomous control based battery energy storage system for frequency regulation. Energies 2021, 14, 2672. [Google Scholar] [CrossRef]
- Zhao, T.; Parisio, A.; Milanović, J.V. Distributed control of battery energy storage systems for improved frequency regulation. IEEE Trans. Power Syst. 2020, 35, 3729–3738. [Google Scholar] [CrossRef]
- He, L.; Tan, Z.; Li, Y.; Cao, Y.; Chen, C. A coordinated consensus control strategy for distributed battery energy storages considering different frequency control demands. IEEE Trans. Sustain. Energy 2023, 15, 304–315. [Google Scholar] [CrossRef]
- Zhao, H.; Hong, M.; Lin, W.; Loparo, K.A. Voltage and frequency regulation of microgrid with battery energy storage systems. IEEE Trans. Smart Grid 2017, 10, 414–424. [Google Scholar] [CrossRef]
- Zhang, R.; Ren, X.; Liu, Z.; Bie, Z.; Chen, C. Distributed cooperative secondary frequency control for power system penetrated with renewable energy sources and energy storage with communication time delays. Int. J. Electr. Power Energy Syst. 2025, 164, 110411. [Google Scholar] [CrossRef]
- Yang, J.; Liu, W.; Ma, K.; Yue, Z.; Zhu, A.; Guo, S. An optimal battery allocation model for battery swapping station of electric vehicles. Energy 2023, 272, 127109. [Google Scholar] [CrossRef]
- Dong, X.; Ma, Y.; Yu, X.; Wei, X.; Ren, Y.; Zhang, X. Secondary Frequency Regulation Control Strategy with Electric Vehicles Considering User Travel Uncertainty. Energies 2023, 16, 3794. [Google Scholar] [CrossRef]
- Kundur, P. Power system stability. In Power System Stability and Control; CRC Press: Boca Raton, FL, USA, 2007; Volume 10. [Google Scholar]














| References | Battery Energy Storage System | Traditional Generating Units | Algorithms (Distributed/ Centralized) | Balancing of Battery Energy Levels | EV Users’ Behavioral Model |
|---|---|---|---|---|---|
| [26,27,28] | ✓ | × | Distributed | ✓ | × |
| [29] | ✓ | ✓ | Centralized | × | × |
| [30] | ✓ | ✓ | Distributed | × | × |
| [31] | ✓ | × | Centralized | ✓ | ✓ |
| Ours | ✓ | ✓ | Distributed | ✓ | ✓ |
Disclaimer/Publisher’s Note: The statements, opinions and data contained in all publications are solely those of the individual author(s) and contributor(s) and not of MDPI and/or the editor(s). MDPI and/or the editor(s) disclaim responsibility for any injury to people or property resulting from any ideas, methods, instructions or products referred to in the content. |
© 2025 by the authors. Licensee MDPI, Basel, Switzerland. This article is an open access article distributed under the terms and conditions of the Creative Commons Attribution (CC BY) license (https://creativecommons.org/licenses/by/4.0/).
Share and Cite
Yang, N.; Zhao, X.; Li, J.; Wang, J.; Jiang, H.; Zhang, S. Secondary Frequency Regulation Strategy for Battery Swapping Stations Considering the Behavioral Model of Electric Vehicles. Electronics 2025, 14, 1598. https://doi.org/10.3390/electronics14081598
Yang N, Zhao X, Li J, Wang J, Jiang H, Zhang S. Secondary Frequency Regulation Strategy for Battery Swapping Stations Considering the Behavioral Model of Electric Vehicles. Electronics. 2025; 14(8):1598. https://doi.org/10.3390/electronics14081598
Chicago/Turabian StyleYang, Nan, Xizheng Zhao, Jia Li, Jingping Wang, Hanyu Jiang, and Shengqi Zhang. 2025. "Secondary Frequency Regulation Strategy for Battery Swapping Stations Considering the Behavioral Model of Electric Vehicles" Electronics 14, no. 8: 1598. https://doi.org/10.3390/electronics14081598
APA StyleYang, N., Zhao, X., Li, J., Wang, J., Jiang, H., & Zhang, S. (2025). Secondary Frequency Regulation Strategy for Battery Swapping Stations Considering the Behavioral Model of Electric Vehicles. Electronics, 14(8), 1598. https://doi.org/10.3390/electronics14081598

