Semantic Communication Physical Layer Security Performance Analysis
Abstract
1. Introduction
- Adopting the Conversion from Semantic Flow to Bitstream: This paper adopts the method of converting semantic flow to bitstream in order to calculate the Secrecy Outage Probability (SOP) of semantic communication systems and perform a mathematical analysis of their security.
- Deriving a New Evaluation Metric through Security Analysis: Through an in-depth analysis of the system’s security, this paper proposes the semantic reliability index (SRI) as a metric for evaluating the system’s security and effectiveness.
2. System Model and Problem Formulation
2.1. Semantic Rate Converted to Bit Rate
2.2. Derivation of the SOP Expression
2.2.1. Rayleigh Fading
2.2.2. Large-Scale Fading
3. Experimental Results and Analysis
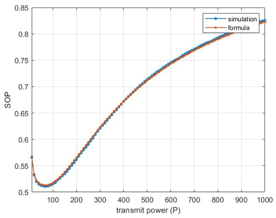
3.1. Rayleigh Fading
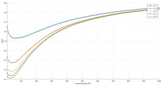
3.2. Large-Scale Fading
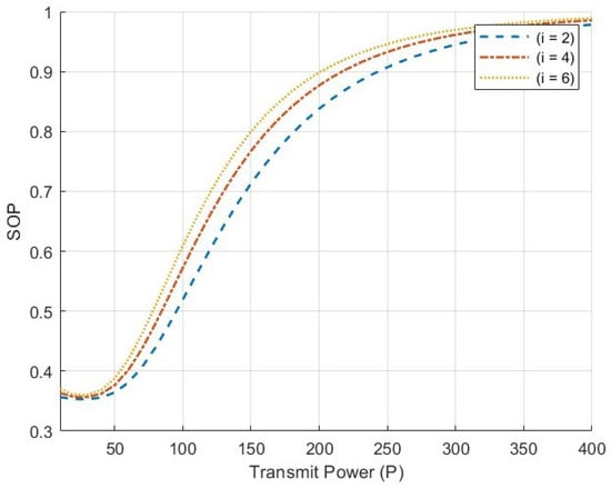
3.3. Multiple Eavesdropping Rayleigh Fading
4. Discussion and Conclusions
4.1. Discussion
4.2. Conclusions
Author Contributions
Funding
Data Availability Statement
Conflicts of Interest
References
- Atzori, L.; Iera, A.; Morabito, G. The internet of things: A survey. Comput. Netw. 2010, 54, 2787–2805. [Google Scholar]
- Gündüz, D.; Qin, Z.; Aguerri, I.E.; Dhillon, H.S.; Yang, Z.; Yener, A.; Wong, K.K.; Chae, C.B. Beyond transmitting bits: Context, semantics, and task-oriented communications. IEEE J. Sel. Areas Commun. 2022, 41, 5–41. [Google Scholar]
- Qin, Z.; Tao, X.; Lu, J.; Li, G.Y. Semantic communications: Principles and challenges. arXiv 2021, arXiv:2201.01389. [Google Scholar]
- Oracevic, A.; Dilek, S.; Ozdemir, S. Security in internet of things: A survey. In Proceedings of the 2017 International Symposium on Networks, Computers and Communications (ISNCC), Marrakech, Morocco, 16–18 May 2017. [Google Scholar]
- Xie, H.; Qin, Z.; Li, G.Y.; Juang, B.-H. Deep learning enabled semantic communication systems. IEEE Trans. Signal Process. 2021, 69, 2663–2675. [Google Scholar] [CrossRef]
- Yan, L.; Qin, Z.; Zhang, R.; Li, Y.; Li, G.Y. Resource allocation for text semantic communications. IEEE Wirel. Commun. Lett. 2022, 11, 1394–1398. [Google Scholar] [CrossRef]
- Mu, X.; Liu, Y.; Guo, L.; Al-Dhahir, N. Heterogeneous semantic and bit communications: A semi-NOMA scheme. IEEE J. Sel. Areas Commun. 2023, 41, 155–169. [Google Scholar] [CrossRef]
- Lil, Y.; Zhou, X.; Zhao, J. Resource Allocation for Semantic Communication Under Physical-layer Security. In Proceedings of the GLOBECOM 2023—2023 IEEE Global Communications Conference, Kuala Lumpur, Malaysia, 4–8 December 2023. [Google Scholar]
- Mu, X.; Liu, Y. Semantic Communication-Assisted Physical Layer Security Over Fading Wiretap Channels. In Proceedings of the ICC 2024—IEEE International Conference on Communications, Denver, CO, USA, 9–13 June 2024. [Google Scholar]
- Tung, T.-Y.; Gündüz, D. Deep joint source-channel and encryption coding: Secure semantic communications. In Proceedings of the ICC 2023—IEEE International Conference on Communications, Rome, Italy, 28 May–1 June 2023. [Google Scholar]
- Luo, X.; Chen, Z.; Tao, M.; Yang, F. Encrypted semantic communication using adversarial training for privacy preserving. IEEE Commun. Lett. 2023, 27, 1486–1490. [Google Scholar] [CrossRef]
- Liu, X.; Nan, G.; Cui, Q.; Li, Z.; Liu, P.; Xing, Z.; Mu, H.; Tao, X.; Quek, T.Q.S. SemProtector: A unified framework for semantic protection in deep learning-based semantic communication systems. IEEE Commun. Mag. 2023, 61, 56–62. [Google Scholar] [CrossRef]
- Chorti, A.; Barreto, A.N.; Kopsell, S.; Zoli, M.; Chafii, M.; Sehier, P.; Fettweis, G.; Poor, H.V. Context-Aware Security for 6G Wireless: The Role of Physical Layer Security. IEEE Commun. Stand. Mag. 2022, 6, 102–108. [Google Scholar] [CrossRef]
- Zheng, J.; Tian, H.; Ni, W.; Ni, W.; Zhang, P. Balancing accuracy and integrity for reconfigurable intelligent surface-aided over-the-air federated learning. IEEE Trans. Wirel. Commun. 2022, 21, 10964–10980. [Google Scholar] [CrossRef]
- Saleem, R.; Ni, W.; Ikram, M.; Jamalipour, A. Deep-reinforcement-learning-driven secrecy design for intelli-gent-reflecting-surface-based 6G-IoT networks. IEEE Internet Things J. 2022, 10, 8812–8824. [Google Scholar] [CrossRef]
- Li, Y.; Shi, Z.; Hu, H.; Fu, Y.; Wang, H.; Lei, H. Secure Semantic Communications: From Perspective of Physical Layer Security. IEEE Commun. Lett. 2024, 28, 2243–2247. [Google Scholar] [CrossRef]
- Wang, L.; Wu, W.; Zhou, F.; Qin, Z.; Wu, Q. IRS-Enhanced Secure Semantic Communication Networks: Cross-Layer and Context-Awared Resource Allocation. IEEE Trans. Wirel. Commun. 2024, 24, 494–508. [Google Scholar] [CrossRef]










Disclaimer/Publisher’s Note: The statements, opinions and data contained in all publications are solely those of the individual author(s) and contributor(s) and not of MDPI and/or the editor(s). MDPI and/or the editor(s) disclaim responsibility for any injury to people or property resulting from any ideas, methods, instructions or products referred to in the content. |
© 2025 by the authors. Licensee MDPI, Basel, Switzerland. This article is an open access article distributed under the terms and conditions of the Creative Commons Attribution (CC BY) license (https://creativecommons.org/licenses/by/4.0/).
Share and Cite
Wang, X.; Peng, F. Semantic Communication Physical Layer Security Performance Analysis. Electronics 2025, 14, 1316. https://doi.org/10.3390/electronics14071316
Wang X, Peng F. Semantic Communication Physical Layer Security Performance Analysis. Electronics. 2025; 14(7):1316. https://doi.org/10.3390/electronics14071316
Chicago/Turabian StyleWang, Xiaowei, and Fuchao Peng. 2025. "Semantic Communication Physical Layer Security Performance Analysis" Electronics 14, no. 7: 1316. https://doi.org/10.3390/electronics14071316
APA StyleWang, X., & Peng, F. (2025). Semantic Communication Physical Layer Security Performance Analysis. Electronics, 14(7), 1316. https://doi.org/10.3390/electronics14071316
