Simulation Design of an Electron Gun for Microchannel Plate Scrubbing
Abstract
1. Introduction
2. Simulation Model of Electron Gun
2.1. Thermionic Emission Theory
2.2. Electron Gun Model
3. Simulation Results and Discussions
3.1. Effects of Focusing Pole Voltage and Anode Voltage on Electron Trajectory
3.2. Effect of Filament Width on Electron Beam Uniformity
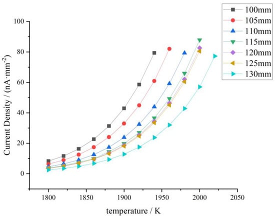
3.3. Effect of Filament Temperature on Output Current Density
4. Conclusions
Author Contributions
Funding
Data Availability Statement
Conflicts of Interest
References
- Cui, D.X.; Zheng, S.C.; Qiu, Y.F.; Qian, Y.S.; Chang, B.K. Effect of Electron Rinse on Output SNR and Electron Gain of the Microchannel Plates. Acta Photonica Sin. 2012, 41, 962–966. [Google Scholar]
- Hui, L.; Liu, F.; Zhang, L.D.; Gao, X.; Miao, Z.; Niu, S.; Wang, L.; Zhang, X.H. Study on electron scrubbing methods of Cs2Te ultraviolet double-MCP image intensifiers. In Proceedings of the International Symposium on Photoelectronic Detection and Imaging 2013: Low-Light-Level Technology and Applications, Beijing, China, 25–27 June 2013. [Google Scholar]
- Lian, J.; Sun, Y.; Zhang, X.; Feng, Y.; Bo, T.; Xu, T.; Shi, X.; Cai, H.; Liu, H. Effect of electron scrubbing on gain and dynamic range of microchannel plate. In Optical Sensing and Imaging Technologies and Applications; SPIE: Bellingham, WA, USA, 2018. [Google Scholar]
- Cheng, H.C.; Shi, F.; Hou, Z.P.; Shi, H.L.; Shi, P.F. Design of electron gun for scrubbing microchannel plate. J. Appl. Opt. 2007, 28, 582–586. [Google Scholar]
- Qiu, Y.F.; Chang, B.K.; Zhang, J.J.; Tian, S.; Fu, R.G. Area Source Filament Thermion Emission Flow Density And Uniformity Analysis. Acta Armamentarii 2009, 30, 617–621. [Google Scholar]
- Xue, Z.Q. Electron Emission and Electron Spectroscopy; Peking University Press: Beijing, China, 1993. [Google Scholar]
- Martin, R. Theory and Design of Charged Particle Beams, 2nd ed.; WILEY-VEH Verlag Gmbh & Co. KgaA: Weinheim, Germany, 2008. [Google Scholar]
- Liu, Q.; Wang, H.T.; Chen, H.S. Development of the electron gun filament power supply for small size betatron. Nucl. Tech. 2022, 45, 39–45. [Google Scholar]
- Qiu, Y.F. Research on Luminance Characteristics and Testing Technology of Low Light Image Intensifier Fluorescence Screen; Nanjing University of Science and Technology: Nanjing, China, 2008. [Google Scholar]
- Lin, Y.J. Study of the Uniform Surface Electron Source and the Channel Electron Multiplier; Guangxi University: Nanning, China, 2019. [Google Scholar]
- Liu, C.D.; Zhang, D.H.; Dai, M.K. Structural Analysis of Electron Optical System of the Electron Gun in Electron-beam Bombardment Furnace. J. Hebei Inst. Archit. Civ. Eng. 2017, 35, 91–94. [Google Scholar]
- Tang, L.M. Research on Cleaning and Testing Techniques for Large-area Microchannel Plates; Nanjing University of Science and Technology: Nanjing, China, 2017. [Google Scholar]
- Song, C.X.; Qiu, Y.F.; Qian, Y.S.; Tang, L.M. Design of large area MCP electron rinse and test system. J. Appl. Opt. 2016, 37, 833–838. [Google Scholar]
- Fan, J.; Peng, Y.; Xu, J.; Xu, H.; Yang, D.; Li, X.; Zhou, Q. Numerical simulation of beam current control mechanism in the thermionic electron gun. Vacuum 2019, 164, 278–285. [Google Scholar] [CrossRef]
- Hua, Z.Y.; Gu, C.X. Electron Optics; Fudan University Press: Shanghai, China, 1993. [Google Scholar]
- Spachmann, H.; Becker, U. Electron gun simulation with CST PARTICLE STUDIO. Nucl. Inst. Methods Phys. Res. A 2005, 558, 50–53. [Google Scholar] [CrossRef]
- Yu, Y. Study of the Surface Electron Source for the Micro Channel Plate Electron Scrubbing and the Gated Power Supply for the Image Intensifier; Xi’an University of Technology: Xi’an, China, 2017. [Google Scholar]
- Gu, Y.; Lin, Y.; Yan, B.; Liu, S.; Yang, Y.; Yu, Y.; Wen, K.; Wang, Y. Design of New Electron Gun Capable of Generating Uniform Electron-Beam with Large Width. Chin. J. Vac. Sci. Technol. 2019, 39, 1109–1113. [Google Scholar]









| Material | Work Function/eV | Resistivity/nΩ·m | Melting Point/°C |
|---|---|---|---|
| Tungsten | 4.54 | 52.8 | 3410 |
| molybdenum | 4.24 | 53.4 | 2625 |
| Tantalum | 4.13 | 131 | 2996 |
Disclaimer/Publisher’s Note: The statements, opinions and data contained in all publications are solely those of the individual author(s) and contributor(s) and not of MDPI and/or the editor(s). MDPI and/or the editor(s) disclaim responsibility for any injury to people or property resulting from any ideas, methods, instructions or products referred to in the content. |
© 2025 by the authors. Licensee MDPI, Basel, Switzerland. This article is an open access article distributed under the terms and conditions of the Creative Commons Attribution (CC BY) license (https://creativecommons.org/licenses/by/4.0/).
Share and Cite
Yi, Z.; Xu, Y.; Zhang, J. Simulation Design of an Electron Gun for Microchannel Plate Scrubbing. Electronics 2025, 14, 614. https://doi.org/10.3390/electronics14030614
Yi Z, Xu Y, Zhang J. Simulation Design of an Electron Gun for Microchannel Plate Scrubbing. Electronics. 2025; 14(3):614. https://doi.org/10.3390/electronics14030614
Chicago/Turabian StyleYi, Zengzhou, Yuwei Xu, and Jingjin Zhang. 2025. "Simulation Design of an Electron Gun for Microchannel Plate Scrubbing" Electronics 14, no. 3: 614. https://doi.org/10.3390/electronics14030614
APA StyleYi, Z., Xu, Y., & Zhang, J. (2025). Simulation Design of an Electron Gun for Microchannel Plate Scrubbing. Electronics, 14(3), 614. https://doi.org/10.3390/electronics14030614

