Control Strategy for Asymmetric Faults on the Low-Frequency Side of a Sparse Modular Multilevel Converter
Abstract
1. Introduction
- The mathematical models of SMMC arm energy under the conditions of low-frequency-side asymmetric faults are established to analyze the arm energy imbalance phenomenon in the converter using an existing energy balancing control strategy.
- The constraint conditions of the arm energy balance with a zero-sequence voltage injection are derived under the condition of asymmetric faults, and an energy balance control method based on the zero-sequence voltage injection is proposed.
- Combining zero-sequence voltage injections and constant power factor angle AC voltage control, a FRT strategy for the SMMC-based LFTS is proposed, which effectively maintains the arm energy balance in the converter while suppressing the negative sequence current and overvoltage.
2. SMMC Model and Control Strategy
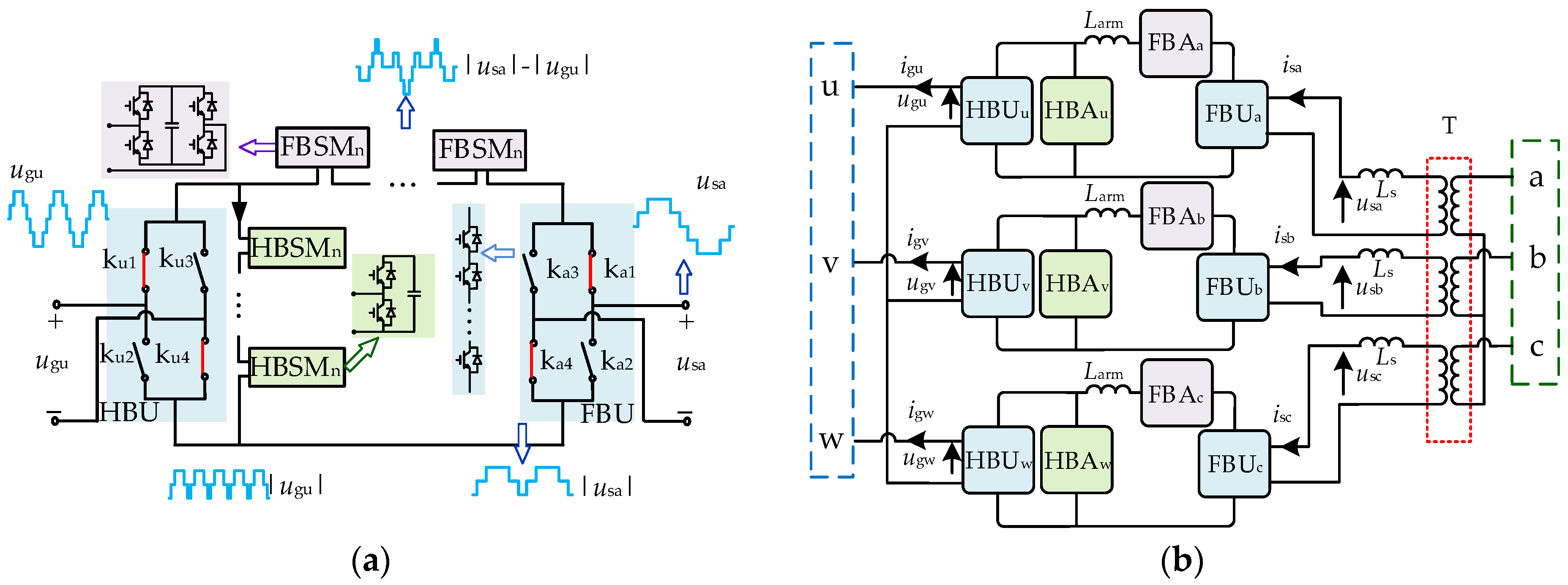
2.1. SMMC Topology and Operating Principles
2.2. Basic Control of SMMC Normal Operations
3. Analysis of the Energy Imbalance Mechanism in SMMC Arms
3.1. Analysis of the Arm Energy Imbalance Mechanism Under a Single-Phase Short-Circuit Fault
3.2. Arm Energy Balance Under a Single-Phase Short Circuit Fault with Zero-Sequence Injections
3.3. Arm Energy Balance Under a Two-Phase Short-Circuit Fault with a Zero-Sequence Injection
4. Low-Frequency Side Fault Ride-Through Strategy for SMMC-Based LFTS
4.1. Control of Equivalent Converters for Wind Farms
4.2. Asymmetric Fault Control on the Low-Frequency Side of the SMMC
5. Simulation Results
5.1. SMMC Normal Operations
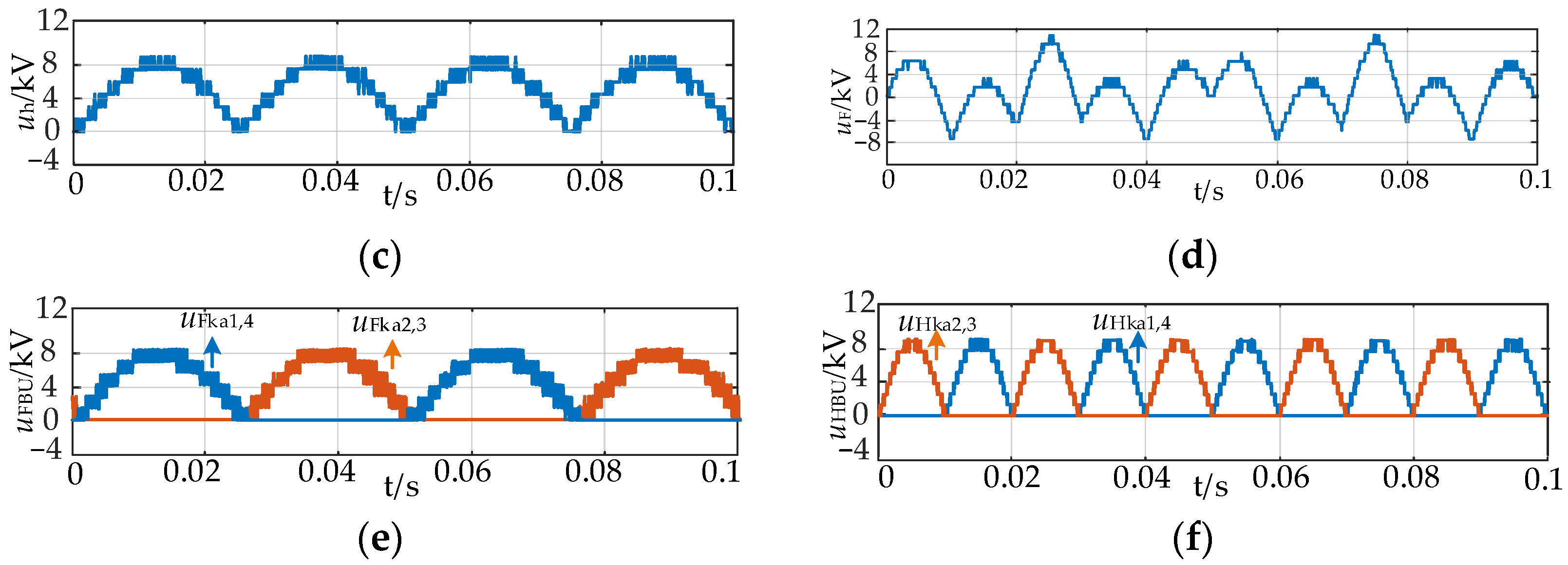
5.2. Single-Phase Ground Fault
5.3. Two-Phase Interphase Short-Circuit Fault
6. Conclusions
- When an asymmetric fault occurs on the low-frequency side of the SMMC transformer, the asymmetric phase voltage causes different balancing targets for the three-phase arms of the SMMC. Using the traditional control strategy in this situation will result in an imbalanced distribution of energy among phases and within phases, threatening the stable operation of the system.
- Based on the analysis of the energy imbalance mechanism, under asymmetric faults on the low-frequency side, the amplitude and phase of the zero-sequence voltage injection in the SMMC must meet specific conditions to achieve energy balance in all arms, ensuring the capacitor voltage in the half-bridge and full-bridge arm modules does not exceed 10%, which is beneficial for fault ride-through and fault recovery.
- The proposed fault ride-through strategy for the low-frequency transmission system, based on a zero-sequence voltage injection and constant power factor angle AC voltage control, can maintain energy balance in the half-bridge and full-bridge arms of the SMMC while suppressing negative sequence current and overvoltage. This ensures the ride-through of asymmetric faults on the low-frequency side.
Author Contributions
Funding
Data Availability Statement
Conflicts of Interest
References
- Kabsha, M.M.; Rather, Z.H. Adaptive Control Strategy for Frequency Support From MTDC Connected Offshore Wind Power Plants. IEEE Trans. Power Electron. 2023, 38, 3981–3991. [Google Scholar] [CrossRef]
- Zhang, T.; Sun, L.; Zhang, Y. Study on Switching Overvoltage in Off-Shore Wind Farms. IEEE Trans. Appl. Supercond. 2014, 24, 1–5. [Google Scholar] [CrossRef]
- Nguyen, Q.; Santoso, S. Optimal Planning and Operation of Multi-Frequency HVac Transmission Systems. IEEE Trans. Power Syst. 2021, 36, 689–698. [Google Scholar] [CrossRef]
- Wang, X.; Duan, Z.; Meng, Y. Review of operational characteristics and control strategies of fractional frequency transmission systems. High Volt. Eng. 2023, 49, 3696–3707. [Google Scholar] [CrossRef]
- Afshari, E.; Amirabadi, M. An Input-Series Output-Parallel Modular Three-Phase AC–AC Capacitive-Link Power Converter. IEEE Trans. Power Electron. 2021, 36, 13603–13620. [Google Scholar] [CrossRef]
- Luo, J.; Zhang, X.-P.; Xue, Y. Small Signal Model of Modular Multilevel Matrix Converter for Fractional Frequency Transmission System. IEEE Access 2019, 7, 110187–110196. [Google Scholar] [CrossRef]
- Cuzmar, R.H.; Mora, A.; Pereda, J.R.; Aguilera, P.; Poblete, P.; Neira, S. Computationally Efficient MPC for Modular Multilevel Matrix Converters Operating With Fixed Switching Frequency. IEEE Open J. Ind. Electron. Soc. 2023, 4, 748–761. [Google Scholar] [CrossRef]
- Duan, Z.; Meng, Y.; Duan, Y.; Zhang, H.; Wang, X.; Wang, X. Large-Signal Stability Analysis and Enhancement of Modular Multilevel Matrix Converter Under Power Fluctuation Based on T-S Fuzzy Model Theory. IEEE Trans. Power Electron. 2023, 38, 14601–14613. [Google Scholar] [CrossRef]
- Liu, B.; Meng, Y.; Bai, S. A novel high-power AC/AC modular multilevel converter in Y configuration and its control strategy. In Proceedings of the 2016 IEEE PES Asia-Pacific Power and Energy Engineering Conference (APPEEC), Xi’an, China, 25–28 October 2016; pp. 973–977. [Google Scholar] [CrossRef]
- Baruschka, L.; Mertens, A. A New Three-Phase AC/AC Modular Multilevel Converter With Six Branches in Hexagonal Configuration. IEEE Trans. Ind. Appl. 2013, 49, 1400–1410. [Google Scholar] [CrossRef]
- Alaei, R.; Khajehoddin, S.A.; Xu, W. Sparse AC/AC Modular Multilevel Converter. IEEE Trans. Power Deliv. 2016, 31, 1195–1202. [Google Scholar] [CrossRef]
- Alaei, R.; Khajehoddin, S.A.; Xu, W. Control and Experiment of AC/AC Sparse Modular Multilevel Converter. IEEE Trans. Power Deliv. 2017, 32, 1527–1534. [Google Scholar] [CrossRef]
- Li, J.; Ma, M.; Chen, Q.; Wang, H.; Zhao, G.; Xu, Y. Basic modulation strategy and sub-module voltage balancing control for half-wave inverter AC-AC converter. In Proceedings of the 2023 IEEE 6th International Electrical and Energy Conference (CIEEC), Hefei, China, 12–14 May 2023; pp. 2672–2677. [Google Scholar]
- Fu, N.; Liu, B.; Xu, Y.; Zhu, S.; Wang, K.; Li, Y. Capacitor voltage balancing strategy based on zero-Sequence voltage injection for half-wave commutated modular multilevel converter. In Proceedings of the 10th International Power Electronics and Motion Control Conference, IPEMC 2024-ECCE Asia, Chengdu, China, 17–20 May 2024. [Google Scholar]
- Sun, Y.; Wang, T.; Fu, C.; Guo, F.; Ni, Q. Fault ride through control strategy for modular multilevel matrix converter for fractional frequency transmission system. High Volt. Eng. 2023, 49, 19–30. [Google Scholar] [CrossRef]
- Zhao, B.; Wang, X.; Ning, L.; Wang, X.; Meng, Y. Ride-through control of fractional frequency offshore wind power system during unsymmetrical grid faults. Proc. CSEE 2023, 43, 4589–4600. [Google Scholar] [CrossRef]
- Xie, D.; Lin, C.; Deng, Q.; Lin, H.; Cai, C.; Basler, T.; Ge, X. Simple Vector Calculation and Constraint-Based Fault-Tolerant Control for a Single-Phase CHBMC. IEEE Trans. Power Electron. 2025, 40, 2028–2041. [Google Scholar] [CrossRef]
- Hu, K.; Zhao, G.; Lu, D.; Lu, Z.; Xiang, N.; Wang, S.; Lin, J. Simplified Cluster Voltage Balancing Control Based on Zero-Sequence Voltage Injection for Star-Connected Cascaded H-Bridge STATCOM. CSEE J. Power Energy Syst. 2024, 10, 2255–2264. [Google Scholar] [CrossRef]
- Zhang, R.; Wang, S.; Ma, J.; Wang, P.; Qin, K.; Liu, T. Capacitor Voltage Balancing for Alternate Arm Converter Based on Conduction Angle and Zero-Sequence Voltage. IEEE Trans. Power Electron. 2023, 38, 3268–3280. [Google Scholar] [CrossRef]
- Spier, D.W.; Prieto-Araujo, E.; López-Mestre, J.; Mehrjerdi, H.; Gomis-Bellmunt, O. On the Roles and Interactions of the MMC Internal Energy Balancing Degrees of Freedom for Three-Wire Three-Phase Connections. IEEE Trans. Power Deliv. 2023, 38, 1316–1328. [Google Scholar] [CrossRef]
- Ma, J.; Dahidah, M.S.A.; Pickert, V.; Yu, J. A Hierarchical Energy Balance Control Method for M3C Based on Injecting Output Frequency Circulating Currents. IEEE Trans. Power Electron. 2020, 35, 2424–2435. [Google Scholar] [CrossRef]
- Aguilera, R.P.; Acuna, P.; Rojas, C.; Pou, J.; Konstantinou, G.; Watanabe, E.H. An Instantaneous Power Theory Extension for the Interphase Power Imbalance Problem. IEEE Trans. Power Electron. 2024, 39, 12261–12270. [Google Scholar] [CrossRef]
- RAguilera, P.; Acuna, P.; Rojas, C.A.; Konstantinou, G.; Pou, J. Instantaneous Zero Sequence Voltage for Grid Energy Balancing Under Unbalanced Power Generation. In Proceedings of the 2019 IEEE Energy Conversion Congress and Exposition (ECCE), Baltimore, MD, USA, 29 September–3 October 2019; pp. 2572–2577. [Google Scholar] [CrossRef]
- Li, Y.; Pei, X.; Yang, M.; Lin, X.; Li, Z. An Advanced Fault Control of Transformerless Modular Multilevel Converters in AC/DC Hybrid Distribution Networks Under the Single-Phase Grounding Fault. IEEE Trans. Power Deliv. 2021, 36, 932–942. [Google Scholar] [CrossRef]
- Wang, X.; Yang, L.; Lin, B.; Song, W.; Lin, L. Mechanism and restraining strategy of the sending-end line overvoltage in offshore wind farm-flexible HVDC transmission system under line faults. High Volt. Eng. 2021, 47, 2688–2697. [Google Scholar] [CrossRef]
- GB/T 19966.1-2021; Technical Regulations for the Connection of Wind Farms to Power Systems—Part 1: Onshore Wind Farms. China National Standardization Administration: Beijing, China, 2021.
- Lin, H.; Cai, C.; Chen, J.; Gao, Y.; Vazquez, S.; Li, Y. Modulation and Control Independent Dead-Zone Compensation for H-Bridge Converters: A Simplified Digital Logic Scheme. IEEE Trans. Ind. Electron. 2024, 71, 15239–15244. [Google Scholar] [CrossRef]




















| Parameters | Value | Parameters | Value |
|---|---|---|---|
| Power rating Sn/MW | 2.5 | Sub-module capacitor voltage uCN/kV | 1.5 |
| Number of SMs/N | 15 | Low-frequency-side rated voltage Usm/kV | 10 |
| Internal arm inductance Larm/mH | 1 | Grid-side rated voltage Ugm/kV | 10 |
| Low-frequency-side equivalent inductance Ls/mH | 5 | Low-frequency-side frequency f1/Hz | 20 |
| SM capacitor C/mF | 10 | Grid-side frequency f2/Hz | 50 |
Disclaimer/Publisher’s Note: The statements, opinions and data contained in all publications are solely those of the individual author(s) and contributor(s) and not of MDPI and/or the editor(s). MDPI and/or the editor(s) disclaim responsibility for any injury to people or property resulting from any ideas, methods, instructions or products referred to in the content. |
© 2025 by the authors. Licensee MDPI, Basel, Switzerland. This article is an open access article distributed under the terms and conditions of the Creative Commons Attribution (CC BY) license (https://creativecommons.org/licenses/by/4.0/).
Share and Cite
Sun, Y.; Wang, S.; Fu, C.; Zhang, Z.; Zhao, G.; Xu, Y.; Liu, B.; Jia, C. Control Strategy for Asymmetric Faults on the Low-Frequency Side of a Sparse Modular Multilevel Converter. Electronics 2025, 14, 426. https://doi.org/10.3390/electronics14030426
Sun Y, Wang S, Fu C, Zhang Z, Zhao G, Xu Y, Liu B, Jia C. Control Strategy for Asymmetric Faults on the Low-Frequency Side of a Sparse Modular Multilevel Converter. Electronics. 2025; 14(3):426. https://doi.org/10.3390/electronics14030426
Chicago/Turabian StyleSun, Yuwei, Shengce Wang, Chao Fu, Zelin Zhang, Guoliang Zhao, Yunfei Xu, Bao Liu, and Chen Jia. 2025. "Control Strategy for Asymmetric Faults on the Low-Frequency Side of a Sparse Modular Multilevel Converter" Electronics 14, no. 3: 426. https://doi.org/10.3390/electronics14030426
APA StyleSun, Y., Wang, S., Fu, C., Zhang, Z., Zhao, G., Xu, Y., Liu, B., & Jia, C. (2025). Control Strategy for Asymmetric Faults on the Low-Frequency Side of a Sparse Modular Multilevel Converter. Electronics, 14(3), 426. https://doi.org/10.3390/electronics14030426

