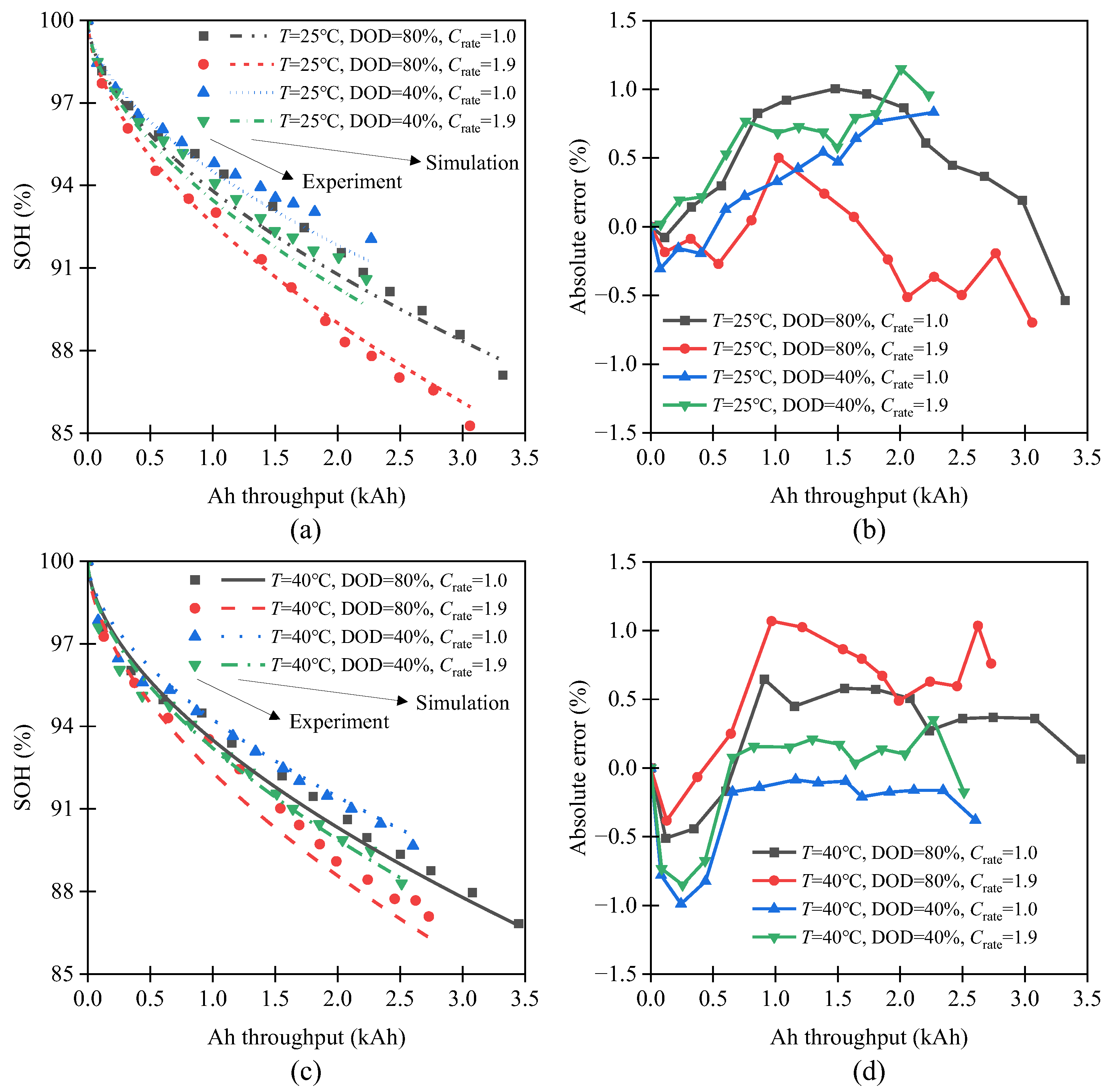
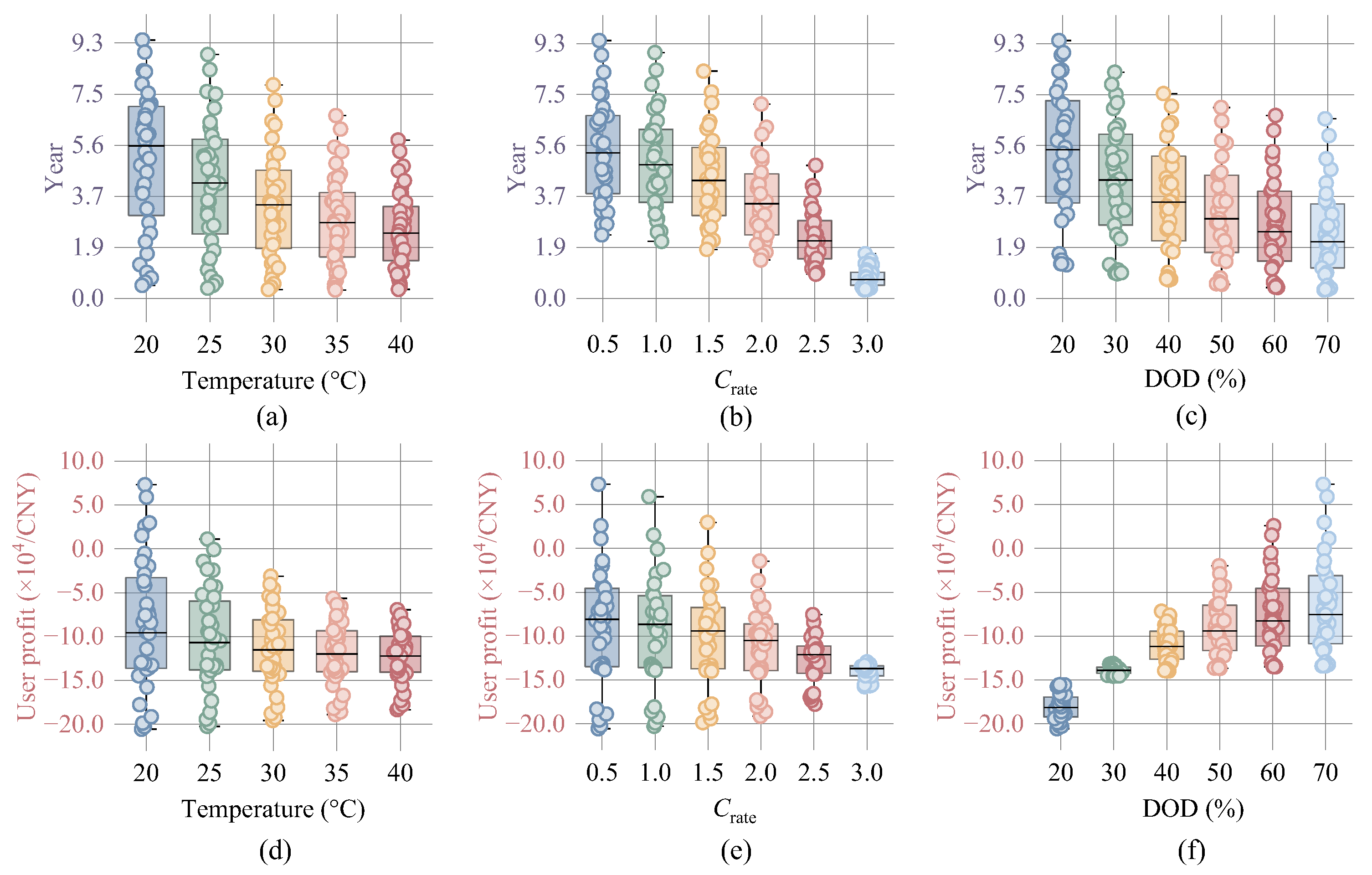
Research on Battery Aging and User Revenue of Electric Vehicles in Vehicle-to-Grid (V2G) Scenarios
Abstract
Share and Cite
Zhao, Z.; Kong, S.; Bo, B.; Li, X.; Hao, L.; Xu, F.; Chen, L. Research on Battery Aging and User Revenue of Electric Vehicles in Vehicle-to-Grid (V2G) Scenarios. Electronics 2025, 14, 4567. https://doi.org/10.3390/electronics14234567
Zhao Z, Kong S, Bo B, Li X, Hao L, Xu F, Chen L. Research on Battery Aging and User Revenue of Electric Vehicles in Vehicle-to-Grid (V2G) Scenarios. Electronics. 2025; 14(23):4567. https://doi.org/10.3390/electronics14234567
Chicago/Turabian StyleZhao, Zhiyu, Shuaihao Kong, Bo Bo, Xuemei Li, Ling Hao, Fei Xu, and Lei Chen. 2025. "Research on Battery Aging and User Revenue of Electric Vehicles in Vehicle-to-Grid (V2G) Scenarios" Electronics 14, no. 23: 4567. https://doi.org/10.3390/electronics14234567
APA StyleZhao, Z., Kong, S., Bo, B., Li, X., Hao, L., Xu, F., & Chen, L. (2025). Research on Battery Aging and User Revenue of Electric Vehicles in Vehicle-to-Grid (V2G) Scenarios. Electronics, 14(23), 4567. https://doi.org/10.3390/electronics14234567

