A Personalized Trajectory Planning Approach for Exoskeleton Robots Using GPR and Fourier Series
Abstract
1. Introduction
1.1. Related Works
1.2. Contributions
2. Method
2.1. Gaussian Mixture Model (GMM) and Gaussian Mixture Regression (GMR)
2.2. Trajectory Representation and Personalization Mode
3. Design of the Lower Limb Exoskeleton
3.1. Structural Composition
3.2. Electrical Structure
4. Experiment Results
4.1. Experimental Procedure
4.2. Data Collection
4.3. Data Processing
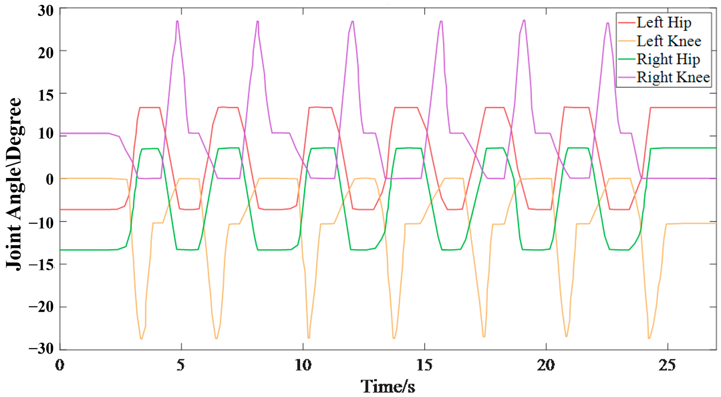
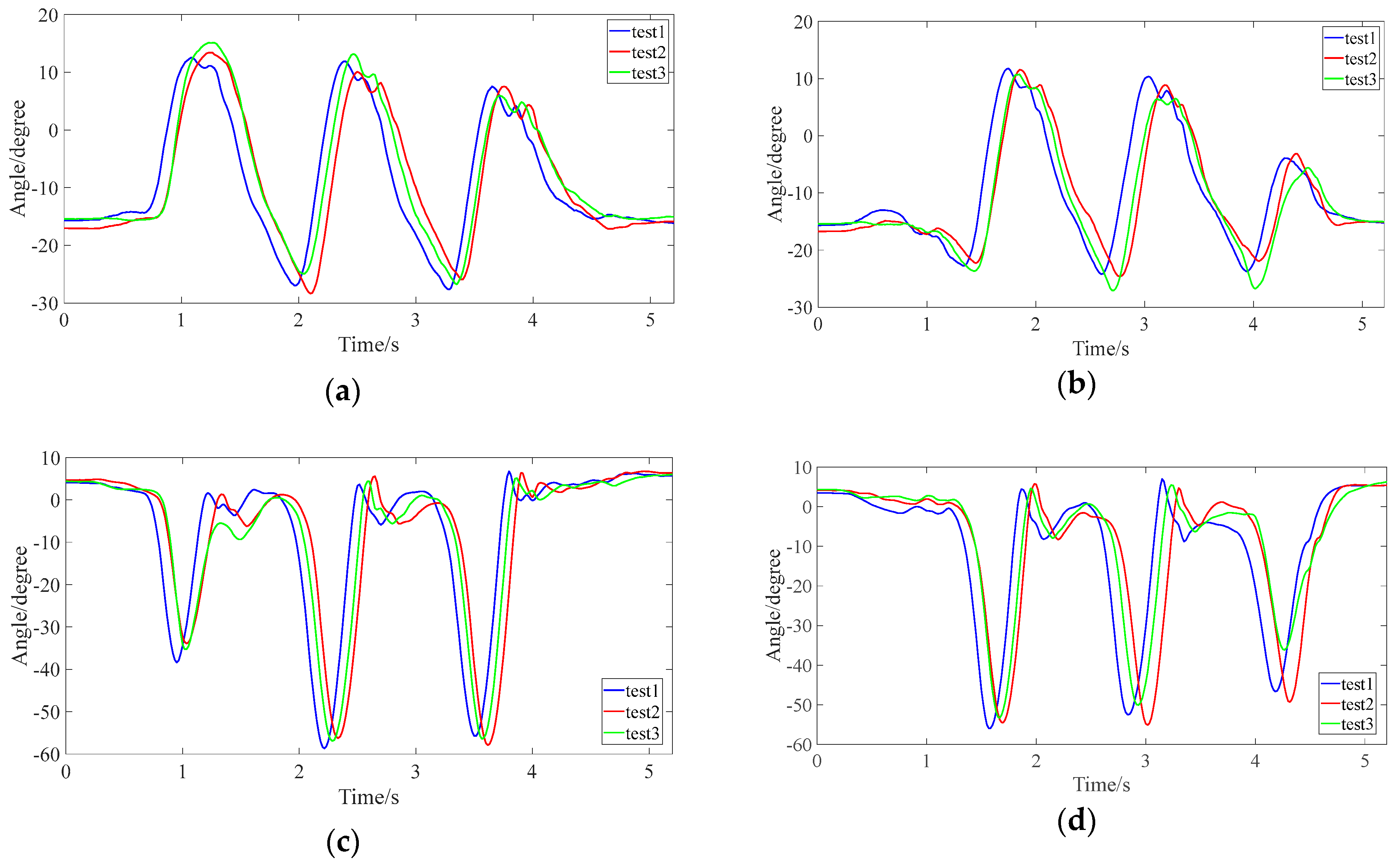
4.4. Experimental Results and Discussion
4.5. Comparative Analysis with Baseline Methods
5. Conclusions
Author Contributions
Funding
Institutional Review Board Statement
Informed Consent Statement
Data Availability Statement
Conflicts of Interest
References
- Gambietz, M.; Nitschke, M.; Miehling, J.; Koelewijn, A.D. Contributing components of metabolic energy models to metabolic cost estimations in gait. IEEE Trans. Biomed. Eng. 2024, 71, 1228–1236. [Google Scholar] [CrossRef]
- Tian, D.; Wang, W.; Li, F.; Chen, Z.; He, Y.; Li, J.; Zhang, L.; Wu, X. Biomimetic viscoelastic compliance control for self-balancing lower limb exoskeleton. IEEE Trans. Ind. Inform. 2024, 20, 13502–13512. [Google Scholar] [CrossRef]
- Lo, K.; Stephenson, M.; Lockwood, C. Effectiveness of robotic assisted rehabilitation for mobility and functional ability in adult stroke patients: A systematic review protocol. JBI Database Syst. Rev. Implement. Rep. 2017, 15, 3049–3091. [Google Scholar] [CrossRef]
- Louie, D.R.; Eng, J.J. Powered robotic exoskeletons in post-stroke rehabilitation of gait: A scoping review. J. Neuroeng. Rehabil. 2016, 13, 53. [Google Scholar] [CrossRef] [PubMed]
- Federici, S.; Meloni, F.; Bracalenti, M.; De Filippis, M.L. The effectiveness of powered, active lower limb exoskeletons in neurorehabilitation: A systematic review. NeuroRehabilitation 2015, 37, 321–340. [Google Scholar] [CrossRef] [PubMed]
- Yu, L.; Zhou, K. A Dynamic Local Path Planning Method for Outdoor Robot Based on Characteristics Extraction of Laser Rangefinder and Extended Support Vector Machine. Int. J. Pattern Recognit. Artif. Intell. 2016, 30, 1659004. [Google Scholar] [CrossRef]
- Cunningham, D.; Rechnitzer, P.; Pearce, M.; Donner, A. Determinants of self-selected walking pace across ages 19 to 66. J. Gerontol. 1982, 37, 560–564. [Google Scholar] [CrossRef]
- Escalante, A.; Lichtenstein, M.; Hazuda, H. Walking velocity in aged persons: Its association with lower extremity joint range of motion. Arthritis Care Res. 2001, 45, 287–294. [Google Scholar] [CrossRef]
- Kerrigan, D.; Todd, M.; Croce, U. Gender differences in joint biomechanics during walking: Normative study in young adults. Am. J. Phys. Med. Rehabil. 1998, 77, 2–7. [Google Scholar] [CrossRef]
- Li, D.; Liu, Z.; Jiang, F.; Wang, K. Joint Optimization of Deployment and Trajectory in UAV and IRS-Assisted IoT Data Collection System. IEEE Internet Things J. 2022, 9, 21583–21593. [Google Scholar]
- Motoi, N.; Ikebe, M.; Ohnishi, K. Real-time gait planning for pushing motion of humanoid robot. IEEE Trans. Ind. Inform. 2007, 3, 154–163. [Google Scholar] [CrossRef]
- Samson, M.; Crowe, A.; Vreede, P.; Dessens, J. Differences in gait parameters at a preferred walking speed in healthy subjects due to age, height and body weight. Aging 2001, 13, 16–21. [Google Scholar] [CrossRef]
- Huang, Z. Survey on gait control strategies for biped robot. J. Comput. Res. Dev. 2005, 42, 728–733. [Google Scholar] [CrossRef]
- Chau, T. A review of analytical techniques for gait data. Part 2: Neural network and wavelet methods. Gait Posture 2001, 13, 102–120. [Google Scholar] [CrossRef]
- Chen, B.; Ma, H.; Qin, L.-Y.; Gao, F.; Chan, K.-M.; Law, S.-W.; Qin, L.; Liao, W.-H. Recent developments and challenges of lower extremity exoskeletons. J. Orthop. Transl. 2016, 5, 26–37. [Google Scholar] [CrossRef]
- Zhou, X.; Wu, J.; Liang, W.; Wang, I.; Yan, Z.; Yang, L. Reconstructed graph neural network with knowledge distillation for lightweight anomaly detection. IEEE Trans. Neural Netw. Learn. Syst. 2024, 35, 11817–11828. [Google Scholar] [CrossRef]
- Mendoza-Crespo, R.; Torricelli, D.; Huegel, J.C.; Gordillo, J.L.; Pons, J.L.; Soto, R. An adaptable human-like gait pattern generator derived from a lower limb exoskeleton. Front. Robot. AI 2019, 6, 36. [Google Scholar] [CrossRef]
- Young, A.J.; Ferris, D.P. State of the art and future directions for lower limb robotic exoskeletons. IEEE Trans. Neural Syst. Rehabil. Eng. 2017, 25, 171–182. [Google Scholar] [CrossRef]
- Lv, G.; Zhu, H.; Gregg, R.D. On the design and control of highly backdrivable lower-limb exoskeletons: A discussion of past and ongoing work. IEEE Control Syst. 2018, 38, 88–113. [Google Scholar] [CrossRef] [PubMed]
- Luu, T.P.; Low, K.H.; Qu, X.; Lim, H.B.; Hoon, K.H. An individual-specific gait pattern prediction model based on generalized regression neural networks. Gait Posture 2014, 39, 443–448. [Google Scholar] [CrossRef] [PubMed]
- Horst, F.; Lapuschkin, S.; Samek, W.; Müller, K.-R.; Schöllhorn, W.I. Explaining the unique nature of individual gait patterns with deep learning. Sci. Rep. 2019, 9, 2391. [Google Scholar] [CrossRef] [PubMed]
- Zhu, X.; Gao, J.; Dai, Y.; Zhang, J.; Zhang, W.; Sun, D.; Gu, W. Three steps from grid-less pressure sensors to gait recognition. IEEE Trans. Instrum. Meas. 2023, 72, 2391. [Google Scholar] [CrossRef]
- Hong, J.; Chun, C.; Kim, S.-J.; Park, F.C. Gaussian process trajectory learning and synthesis of individualized gait motions. IEEE Trans. Neural Syst. Rehabil. Eng. 2019, 27, 1236–1245. [Google Scholar] [CrossRef] [PubMed]
- Smola, A.; Scholkopf, B. A tutorial on support vector regression. Stat. Comput. 2004, 14, 199–222. [Google Scholar] [CrossRef]
- Guo, Y.; He, M.; Tong, X.; Zhang, M.; Huang, L. Research on the Motion Control Strategy of a Lower-Limb Exoskeleton Rehabilitation Robot Using the Twin Delayed Deep Deterministic Policy Gradient Algorithm. Sensors 2024, 24, 6014. [Google Scholar] [CrossRef]
- Guo, F.; Zhang, H.; Xu, Y.; Xiong, G.; Zeng, C. Isokinetic Rehabilitation Trajectory Planning of an Upper Extremity Exoskeleton Rehabilitation Robot Based on a Multistrategy Improved Whale Optimization Algorithm. Symmetry 2023, 15, 232. [Google Scholar] [CrossRef]
- Vallery, H.; van Asseldonk, E.H.F.; Buss, M.; van der Kooij, H. Reference trajectory generation for rehabilitation robots: Complementary limb motion estimation. IEEE Trans. Neural Syst. Rehabil. Eng. 2009, 17, 23–30. [Google Scholar] [CrossRef]
- Kagawa, T.; Ishikawa, H.; Kato, T.; Sung, C.; Uno, Y. Optimization-based motion planning in joint space for walking assistance with wearable robot. IEEE Trans. Robot. 2015, 31, 415–424. [Google Scholar] [CrossRef]
- Wu, X.; Liu, D.-X.; Liu, M.; Chen, C.; Guo, H. Individualized gait pattern generation for sharing lower limb exoskeleton robot. IEEE Trans. Autom. Sci. Eng. 2018, 15, 1459–1470. [Google Scholar] [CrossRef]
- Schepers, M.; Giuberti, M.; Bellusci, G. Xsens MVN: Consistent Tracking of Human Motion Using Inertial Sensing. Xsens Technol. 2018, 1, 1–8. [Google Scholar] [CrossRef]
- Delp, S.L.; Anderson, F.C.; Arnold, A.S.; Loan, P.; Habib, A.; John, C.T.; Guendelman, E.; Thelen, D.G. OpenSim: Open-Source Software to Create and Analyze Dynamic Simulations of Movement. IEEE Trans. Biomed. Eng. 2007, 54, 1940–1950. [Google Scholar] [CrossRef]
- Khorram, S.; McInnis, M.G.; Mower Provost, E. Trainable time warping: Aligning time-series in the continuous-time domain. In Proceedings of the 2019 IEEE International Conference on Acoustics, Speech and Signal Processing (ICASSP), Brighton, UK, 12–17 May 2019; pp. 3502–3506. [Google Scholar]
- Calinon, S.; Guenter, F.; Billard, A. On learning, representing, and generalizing a task in a humanoid robot. IEEE Trans. Syst. Man Cybern. B 2007, 37, 286–298. [Google Scholar] [CrossRef]
- Angeloni, C.; Riley, P.O.; Krebs, D.E. Frequency content of whole body gait kinematic data. IEEE Trans. Rehabil. Eng. 1994, 2, 40–46. [Google Scholar] [CrossRef]
- Dempster, A.P.; Laird, N.M.; Rubin, D.B. Maximum likelihood from incomplete data via the EM algorithm. J. R. Stat. Soc. Ser. B 1977, 39, 1–22. [Google Scholar] [CrossRef]
- Rasmussen, C.E. Gaussian Processes for Machine Learning; MIT Press: Cambridge, MA, USA, 2006. [Google Scholar]
- Jain, B.J.; Schultz, D. Asymmetric learning vector quantization for efficient nearest neighbor classification in dynamic time warping spaces. Pattern Recognit. 2018, 76, 349–366. [Google Scholar] [CrossRef]











| Method | Hip Joint RMSE (°) | Knee Joint RMSE (°) | Overall MAE (°) |
|---|---|---|---|
| Proposed (GPR) | 1.82 (0.38) | 1.89 (0.45) | 1.85 (0.41) |
| Baseline 1 (Average) | 3.75 (0.91) | 4.10 (0.85) | 3.92 (0.88) |
| Baseline 2 (Linear) | 2.95 (0.62) | 3.20 (0.70) | 3.07 (0.66) |
Disclaimer/Publisher’s Note: The statements, opinions and data contained in all publications are solely those of the individual author(s) and contributor(s) and not of MDPI and/or the editor(s). MDPI and/or the editor(s) disclaim responsibility for any injury to people or property resulting from any ideas, methods, instructions or products referred to in the content. |
© 2025 by the authors. Licensee MDPI, Basel, Switzerland. This article is an open access article distributed under the terms and conditions of the Creative Commons Attribution (CC BY) license (https://creativecommons.org/licenses/by/4.0/).
Share and Cite
Xin, G.; Li, C.; Qin, K.; Liu, C.; Wang, Y.; Luo, H.; Zhuang, Y.; Zhou, K. A Personalized Trajectory Planning Approach for Exoskeleton Robots Using GPR and Fourier Series. Electronics 2025, 14, 4554. https://doi.org/10.3390/electronics14234554
Xin G, Li C, Qin K, Liu C, Wang Y, Luo H, Zhuang Y, Zhou K. A Personalized Trajectory Planning Approach for Exoskeleton Robots Using GPR and Fourier Series. Electronics. 2025; 14(23):4554. https://doi.org/10.3390/electronics14234554
Chicago/Turabian StyleXin, Guiyang, Chengbao Li, Kairong Qin, Chen Liu, Yu Wang, Huanxin Luo, Yan Zhuang, and Kaijun Zhou. 2025. "A Personalized Trajectory Planning Approach for Exoskeleton Robots Using GPR and Fourier Series" Electronics 14, no. 23: 4554. https://doi.org/10.3390/electronics14234554
APA StyleXin, G., Li, C., Qin, K., Liu, C., Wang, Y., Luo, H., Zhuang, Y., & Zhou, K. (2025). A Personalized Trajectory Planning Approach for Exoskeleton Robots Using GPR and Fourier Series. Electronics, 14(23), 4554. https://doi.org/10.3390/electronics14234554

