Circuit–Temperature Coupled Research and Teaching Platform for the Resistive-Type Superconducting Fault Current Limiters
Abstract
1. Introduction
2. Mathematical Model
2.1. Superconductor Temperature Model
2.2. Normal Conductor Temperature Model
2.3. Temperature Calculation Model
2.4. Current Calculation Model
2.5. System Principle
3. Platform Architecture Design
3.1. Parameter Settings Area
3.1.1. Superconductor Temperature Model
3.1.2. Normal Conductor Temperature Model
3.1.3. Temperature Calculation Model
3.1.4. Current Calculation Model
3.1.5. Simulation Time Settings
3.2. Result Display Area
3.3. Result Processing Area
4. Simulation Verification and Analysis
- (1)
- DC short circuit: The voltage source outputs a DC voltage of 24 V, and a short circuit fault occurs in the line between 0.2 s and 0.25 s. The simulation step size is 5 × 10−5 s.
- (2)
- AC short circuit: The voltage source outputs 24 V, 50 Hz AC voltage. A short circuit fault occurs on the line from 0.016 s to 0.034 s. The simulation step size is 5 × 10−5 s.
- (3)
- DC overcurrent: The voltage source outputs 24 V DC voltage. During the fault period, the load resistance is set to 0.15 Ω to simulate an overcurrent phenomenon on the line. The simulation step size is 5 × 10−5 s.
- (4)
- AC overcurrent: The voltage source outputs 24 V, 50 Hz AC voltage. During the fault period, the load resistance is set to 0.15 Ω to simulate an overcurrent condition on the line. The simulation step size is 5 × 10−5 s.
- (5)
- Transient disturbance: Based on a DC short circuit scenario, the voltage value and fault resistance value are set to randomly vary within a range of ±90% to simulate random disturbances. A short circuit fault occurs in the line from 0.16 s to 0.34 s, and the simulation step size is 5 × 10−4 s.
4.1. DC Short Circuit
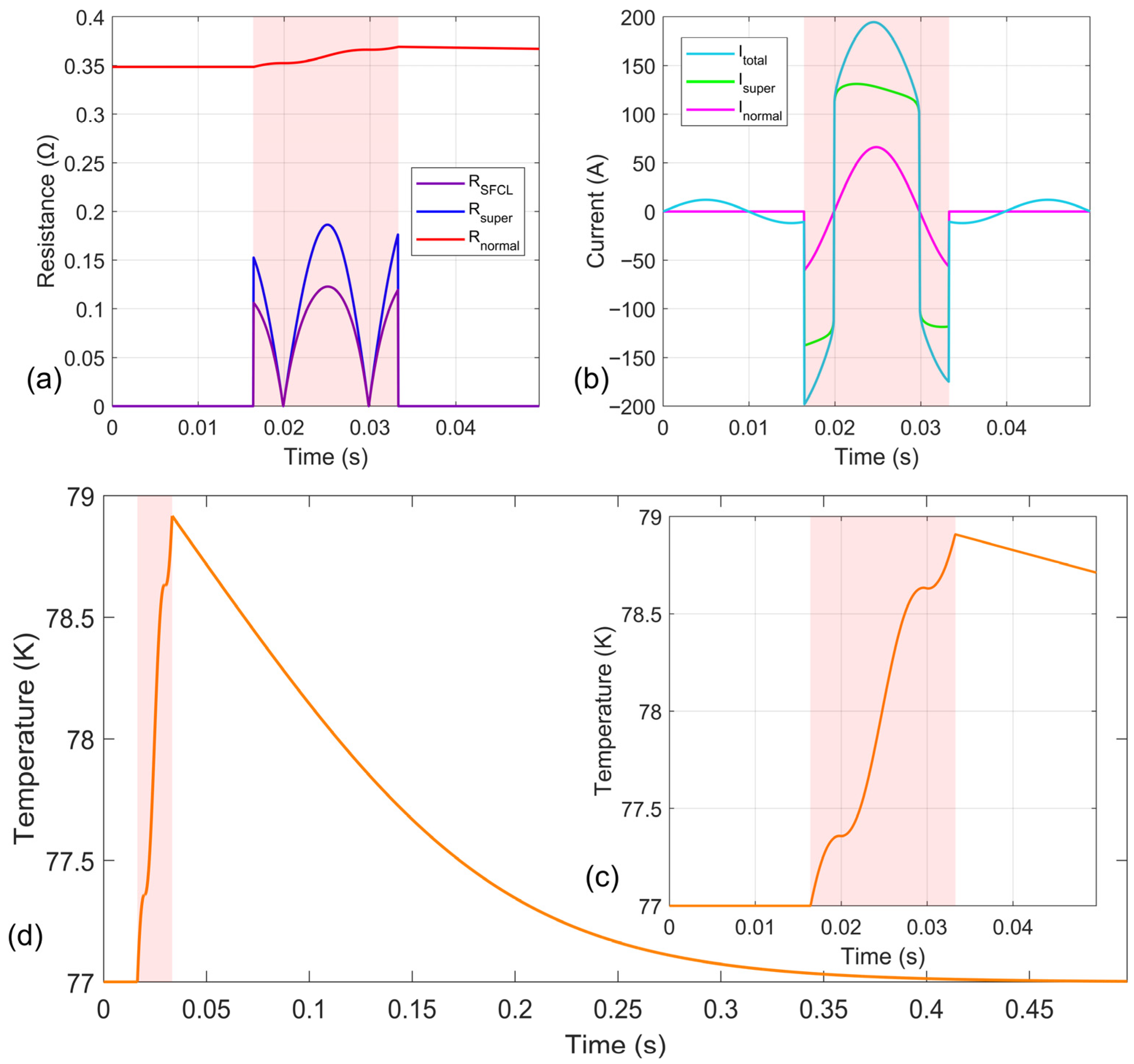
4.2. AC Short Circuit
4.3. DC Overcurrent
4.4. AC Overcurrent
4.5. Transient Disturbance
5. Conclusions
Author Contributions
Funding
Data Availability Statement
Conflicts of Interest
References
- Alashqar, M.; Yang, C.; Xue, Y.; Liu, Z.; Zheng, W.; Zhang, X.-P. Enhancing transient stability of power systems using a resistive superconducting fault current limiter. Front. Energy Res. 2023, 10, 1106836. [Google Scholar] [CrossRef]
- Chen, Y.; Chen, X.; Fu, L.; Jiang, S.; Shen, B. Superconducting Hydrogen-electricity Multi-energy System for Transportation Hubs: Modeling, Technical Study and Economic-environmental Assessment. Appl. Appl. Energy 2025, 401, 126823. [Google Scholar] [CrossRef]
- Abou El-Ela, A.A.; El-Sehiemy, R.A.; Shaheen, A.M.; Ellien, A.R. Review on Active Distribution Networks with Fault Current Limiters and Renewable Energy Resources. Energies 2022, 15, 7648. [Google Scholar] [CrossRef]
- Bai, J.; Wu, X.; Chen, X.; Zhang, Z.; Fu, L.; Zhao, C.; Qing, K.; Luo, Q.; Gong, S.; Shen, B. Combined space cooling/heating and domestic hot water supply driven by data center waste heat: Complementary energy conservation, economic capacity optimization and generic analysis framework. Build. Environ. 2025, 283, 113402. [Google Scholar] [CrossRef]
- Luo, Z.Y. Research on Heat Transfer Characteristics of Resistive YBCO Superconducting DC Current Limiter in Quench and Recovery Processes. Ph.D. Thesis, Zhejiang University, Hangzhou, China, 2023. [Google Scholar]
- Li, B.; Wu, Q.; Li, C.; Ou, Y.; Zhu, J.; Chen, P.; Wei, D.; Xin, Y. A novel configuration approach of SFCLs in the power grid and its economic analysis. Int. J. Electr. Power Energy Syst. 2024, 155, 109483. [Google Scholar] [CrossRef]
- Li, W.; Sheng, J.; Qiu, D.; Cheng, J.; Ye, H.; Hong, Z. Numerical Study on Transient State of Inductive Fault Current Limiter Based on Field-Circuit Coupling Method. Materials 2019, 12, 2805. [Google Scholar] [CrossRef]
- Degtyarenko, P.N.; Zheltov, V.V.; Balashov, N.N.; Arkhangelsky, A.Y.; Degtyarenko, A.Y.; Kovalev, K.L. Fault Current Limitation in Electrical Power Networks Containing HTS Cable and HTS Fuse. Materials 2022, 15, 8754. [Google Scholar] [CrossRef]
- Li, M.; Chen, Y. An asymmetric stabilizer layer structure of REBCO superconducting tapes for resistive superconducting fault current limiters. Cryogenics 2024, 138, 103791. [Google Scholar] [CrossRef]
- Queiroz, A.T.; Bitencourt, A.A.; Nogueira, C.S.C.; Martins, F.G.R.; Fernando, J.M.D.; Polasek, A.; Sotelo, G.G. Development of a Hybrid Fault Current Limiter. IEEE Trans. Appl. Supercond. 2024, 34, 5601105. [Google Scholar] [CrossRef]
- Millán, J.S.; Millán, J.; Pérez, L.A.; Ruiz, H.S. Critical Current Density in d-Wave Hubbard Superconductors. Materials 2022, 15, 8969. [Google Scholar] [CrossRef]
- Pekarcíková, M.; Misík, J.; Drienovsky, M.; Krajcovic, J.; Vojenciak, M.; Búran, M.; Mosat, M.; Húlan, T.; Skarba, M.; Cuninková, E.; et al. Composite Heat Sink Material for Superconducting Tape in Fault Current Limiter Applications. Materials 2020, 13, 1832. [Google Scholar] [CrossRef]
- Hirsch, J.E. On Thermal and Electrodynamic Aspects of the Superconductive Transition Process. Materials 2024, 17, 254. [Google Scholar] [CrossRef]
- Kamali, A.; Barakati, S.M. Enhancing the performance of active mechanical circuit breakers in HVDC systems using a superconducting fault current limiter. Electr. Power Syst. Res. 2025, 247, 111727. [Google Scholar] [CrossRef]
- Kozak, J. Study on Recovery Time of Conduction-Cooled Resistive Superconducting Fault Current Limiter. Energies 2024, 17, 3350. [Google Scholar] [CrossRef]
- Skarba, M.; Pekarcíková, M.; Frolek, L.; Cuninková, E.; Necpal, M. Thermal Cycling of (RE)BCO-Based Superconducting Tapes Joined by Lead-Free Solders. Materials 2021, 14, 1052. [Google Scholar] [CrossRef] [PubMed]
- Li, W.; Xin, Y. Superconducting fault current limiter for multi-terminal HVDC grid protection. Superconductivity 2025, 15, 100195. [Google Scholar] [CrossRef]
- Yong, H.; Wei, D.; Tang, Y.; Liu, D. Numerical modelling of electromechanical coupling behaviors in HTS coil with implementation of H formulation in FE software. Superconductivity 2024, 10, 100097. [Google Scholar] [CrossRef]
- Shen, B.; Grilli, F.; Coombs, T. Overview of H-Formulation: A Versatile Tool for Modeling Electromagnetics in High-Temperature Superconductor Applications. IEEE Access 2020, 8, 100403–100414. [Google Scholar] [CrossRef]
- Fink, S.; Noe, M. High Voltage Calculations for a 380 kV Superconducting Fault Current Limiter. IEEE Trans. Appl. Supercond. 2024, 34, 5600705. [Google Scholar] [CrossRef]
- Yuan, J.; Ye, C.; Zhou, H.; Liu, J.; Zheng, Y.; Dong, W.; Ni, Z.; Wei, L. A Compact Saturated Core Fault Current Limiter Magnetically Integrated with Decoupling Windings. IEEE Trans. Power Deliv. 2023, 38, 2711–2723. [Google Scholar] [CrossRef]
- dos Santos, G.; Martins, F.G.R.; Sass, F.; Sotelo, G.G.; Morandi, A.; Grilli, F. A 3-D Finite-Element Method Approach for Analyzing Different Short Circuit Types in a Saturated Iron Core Fault Current Limiter. IEEE Trans. Appl. Supercond. 2022, 32, 5600713. [Google Scholar] [CrossRef]
- Zhang, Z.; Liu, C.; Gao, Y.; Suo, H.; Wang, L.; Chen, S.; Liu, J.; Wang, Q. A Tube Furnace Design for the Oxygen Annealing of a REBCO Superconducting Joint. Materials 2025, 18, 3053. [Google Scholar] [CrossRef] [PubMed]
- Cuninková, E.; Pekarcíková, M.; Skarba, M.; Krajcovic, J.; Pasák, M. Experimental and Numerical Analysis of High-Temperature Superconducting Tapes Modified by Composite Thermal Stabilization Subjected to Thermomechanical Loading. Materials 2021, 14, 3579. [Google Scholar] [CrossRef] [PubMed]
- Yan, S.; Ren, L.; Zhao, J.; Xu, Y.; Shen, S.; Xiong, Y.; Liu, B.; Xiao, F. Quenched Flux-Coupling Superconducting Fault Current Limiter Scheme and Its Electromagnetic Design Method. Materials 2023, 16, 754. [Google Scholar] [CrossRef] [PubMed]
- Nguyen, L.N.; Naud, M.; Weiss, J.; Pamidi, S.; Dönges, S.A.; van der Laan, D.; Nguyen, D.N. Simulation for the Fault Current Limiting Operation of REBCO CORC Superconducting Cables With Different Core Materials. IEEE Trans. Appl. Supercond. 2023, 33, 5600208. [Google Scholar] [CrossRef]
- Xiang, B.; Yuan, Z.; Li, L.; Yang, M.; Zhang, Q.; Liu, Z.; Geng, Y.; Wang, J. Electromagnetic Thermal Analysis on Variable Resistive-Type Superconducting Fault Current Limiter. IEEE Trans. Appl. Supercond. 2024, 34, 5602005. [Google Scholar] [CrossRef]
- Shen, B.; Chen, Y.; Li, C.; Wang, S.; Chen, X. Superconducting fault current limiter (SFCL): Experiment and the simulation from finite-element method (FEM) to power/energy system software. Energy 2021, 234, 121251. [Google Scholar] [CrossRef]
- Chen, X.; Gou, H.; Chen, Y.; Jiang, S.; Zhang, M.; Pang, Z.; Shen, B. Superconducting fault current limiter (SFCL) for a power electronic circuit: Experiment and numerical modelling. Supercond. Sci. Technol. 2022, 35, 045010. [Google Scholar] [CrossRef]
- Aurangzeb, M.; Xin, A.; Iqbal, S.; Jan, M.U. An Evaluation of Flux-Coupling Type SFCL Placement in Hybrid Grid System Based on Power Quality Risk Index. IEEE Access 2020, 8, 98800–98809. [Google Scholar] [CrossRef]
- Alafnan, H.; Yehia, D.M.; Albaker, A.; Alateeq, A. Comparing Copper With Stainless Steel as a Stabilizer Layer in Resistive Superconducting Fault Current Limiters. IEEE Access 2024, 12, 64385–64395. [Google Scholar] [CrossRef]
- Elsamahy, M. Reducing Microgrids Integration Complexity in Distribution Networks Considering Bidirectional Power Flow in SFCLs. IEEE Access 2022, 10, 80365–80378. [Google Scholar] [CrossRef]
- Lee, H.J.; Kim, J.S.; Kim, J.C.; Yun, S.Y.; Cho, S.M. Study on Operational Characteristics of Protection Relay with Fault Current Limiters in an LVDC System. Electronics 2020, 9, 322. [Google Scholar] [CrossRef]
- Chen, L.; He, H.; Li, G.; Chen, H.; Wang, L.; Chen, X.; Tian, X.; Xu, Y.; Ren, L.; Tang, Y. Study of Resistive-Type Superconducting Fault Current Limiters for a Hybrid High Voltage Direct Current System. Materials 2019, 12, 26. [Google Scholar] [CrossRef] [PubMed]
- de Sousa, W.T.B.; Näckel, O.; Noe, M. Transient Simulations of an Air-Coil SFCL. IEEE Trans. Appl. Supercond. 2014, 24, 5601807. [Google Scholar] [CrossRef]
- Xiao, H.; Qiu, J.; Wang, S.; Zhang, Q.; Gong, W.; Xin, Y.; Zhu, J.; Guo, Y. Analysis of Transient Overvoltage in 220 kV Saturated Core HTS FCL. IEEE Trans. Magn. 2011, 47, 2620–2623. [Google Scholar] [CrossRef]
- Ko, S.C.; Han, T.H.; Lim, S.H. Analysis on Double Quench and Instantaneous Power of SFCL Using Two Magnetically Coupled Windings According to Winding Direction. Energies 2020, 13, 5533. [Google Scholar] [CrossRef]
- Choi, S.-J.; Lim, S.-H. Directional Correction of Over-Current Relay Using Voltage Slope in Multi Terminal DC System With SFCL. IEEE Trans. Appl. Supercond. 2021, 31, 5602007. [Google Scholar] [CrossRef]
- Fabbri, M.; Morandi, A.; Negrini, F.; Ribani, P.L. Temperature dependent equivalent circuit of a magnetic-shield type SFCL. IEEE Trans. Appl. Supercond. 2005, 15, 2078–2081. [Google Scholar] [CrossRef]
- Yan, D.D.; Sadeghi, A.; Yazdani-Asrami, M.; Song, W.J. Artificial-Intelligence-Driven Model for Resistive Superconducting Fault Current Limiter in Future Electric Aircraft. IEEE Trans. Appl. Supercond. 2024, 34, 5601616. [Google Scholar] [CrossRef]
- Alafnan, H.; Pei, X.Z.; Mansour, D.E.A.; Khedr, M.; Song, W.J.; Alsaleh, I.; Albaker, A.; Alturki, M.; Zeng, X.W. Impact of Copper Stabilizer Thickness on SFCL Performance with PV-Based DC Systems Using a Multilayer Thermoelectric Model. Sustainability 2023, 15, 7372. [Google Scholar] [CrossRef]
- de Sousa, W.T.B.; Polasek, A.; Dias, R.; Matt, C.F.T.; de Andrade, R. Thermal-electrical analogy for simulations of superconducting fault current limiters. Cryogenics 2014, 62, 97–109. [Google Scholar] [CrossRef]
- Chen, W.; Song, P.; Jiang, H.; Zhu, J.; Zou, S.; Qu, T. Investigations on Quench Recovery Characteristics of High-Temperature Superconducting Coated Conductors for Superconducting Fault Current Limiters. Electronics 2021, 10, 259. [Google Scholar] [CrossRef]
- Yehia, D.M.; Taha, I.B.M. Application of Superconducting Fault Current Limiter as a Virtual Inertia for DC Distribution Systems. IEEE Access 2021, 9, 135384–135391. [Google Scholar] [CrossRef]
- Li, D.J.; Xiang, B.; Yao, C.W.; Zhang, Q.; Pang, X.F.; Sun, W.X.; Tang, H.Y.; Zhang, X.; Yuan, Z.B.; Cai, L.L. Influence of Shunt Branch on the Current Limiting and Recovery Performance of Variable Resistance SFCL. IEEE Access 2025, 13, 418–427. [Google Scholar] [CrossRef]
- Yang, Z.; Song, P.; Feng, F.; Qu, T. Critical current degradation of REBCO coated conductor tapes caused by multiple cracks under tensile loading. Superconductivity 2025, 15, 100185. [Google Scholar] [CrossRef]
- Xie, Q.; Chen, X.; Chen, Y.; Gou, H.; Jiang, S.; Xu, H.; Hu, S. Superconductor-circuit-temperature coupled simulation of a fault-tolerant boost converter employing superconducting fault current limiter. IEEE Trans. Appl. Supercond. 2021, 31, 1–5. [Google Scholar] [CrossRef]
- Hong, J.P. Study on Boiling Heat Transfer Coefficient in Liquid Nitrogen Bath by Inverse Heat Conduction Method; Zhejiang University: Hangzhou, China, 2008. [Google Scholar]
- Luo, X.; Ma, J.; Xiao, H.; Zhang, Z.; Yuan, C. Multiphysics multilayer modelling and simulation of HTS REBCO magnets carrying direct currents under AC magnetic fields. Superconductivity 2025, 14, 100157. [Google Scholar] [CrossRef]
- Wang, Y.; Fang, J.; Haugan, T.; Badcock, R.A.; Storey, J.G.; Jiang, Z. Numerical simulations on the AC loss of REBCO stacks under rotating magnetic fields. Superconductivity 2024, 11, 100111. [Google Scholar] [CrossRef]















| Parameter | Description | Unit | Value |
|---|---|---|---|
| Ec | Critical field strength | Ω·m | 1 × 10−4 |
| n | Magnetic field exponent | - | 25 |
| U | Power supply voltage | V | 24 |
| T0 | Initial operating temperature | K | 77 |
| Ic0 (T0) | Initial critical current | A | 93 |
| Tc | Critical temperature | K | 93 |
| β | Temperature exponent | - | 1.2 |
| Rload | Load resistance | Ω | 2 |
| Rfault | Short-circuit resistance | Ω | 0.001 |
| Parameter | Description | Unit | Value |
|---|---|---|---|
| L | Tape length | m | 11.6 |
| A | Heat transfer surface area | m2 | 0.025 |
| m | Tape mass | kg | 0.1 |
| SAg | Silver layer cross-sectional area | m2 | 1.5 × 10−8 |
| SCu | Copper layer cross-sectional area | m2 | 5 × 10−8 |
| SSS | Stainless-steel layer cross-sectional area | m2 | 8 × 10−7 |
| KAg | Silver resistivity temperature coefficient | 1/°C | 0.0065 |
| KCu | Copper resistivity temperature coefficient | 1/°C | 0.0065 |
| KSS | Stainless-steel resistivity temperature coefficient | 1/°C | 0.087 |
Disclaimer/Publisher’s Note: The statements, opinions and data contained in all publications are solely those of the individual author(s) and contributor(s) and not of MDPI and/or the editor(s). MDPI and/or the editor(s) disclaim responsibility for any injury to people or property resulting from any ideas, methods, instructions or products referred to in the content. |
© 2025 by the authors. Licensee MDPI, Basel, Switzerland. This article is an open access article distributed under the terms and conditions of the Creative Commons Attribution (CC BY) license (https://creativecommons.org/licenses/by/4.0/).
Share and Cite
Zhao, Q.; Gong, S.; Chen, X.; Fu, L.; Tang, M.; Bai, J.; Shen, B. Circuit–Temperature Coupled Research and Teaching Platform for the Resistive-Type Superconducting Fault Current Limiters. Electronics 2025, 14, 4059. https://doi.org/10.3390/electronics14204059
Zhao Q, Gong S, Chen X, Fu L, Tang M, Bai J, Shen B. Circuit–Temperature Coupled Research and Teaching Platform for the Resistive-Type Superconducting Fault Current Limiters. Electronics. 2025; 14(20):4059. https://doi.org/10.3390/electronics14204059
Chicago/Turabian StyleZhao, Qinghua, Shirong Gong, Xiaoyuan Chen, Lin Fu, Miangang Tang, Jun Bai, and Boyang Shen. 2025. "Circuit–Temperature Coupled Research and Teaching Platform for the Resistive-Type Superconducting Fault Current Limiters" Electronics 14, no. 20: 4059. https://doi.org/10.3390/electronics14204059
APA StyleZhao, Q., Gong, S., Chen, X., Fu, L., Tang, M., Bai, J., & Shen, B. (2025). Circuit–Temperature Coupled Research and Teaching Platform for the Resistive-Type Superconducting Fault Current Limiters. Electronics, 14(20), 4059. https://doi.org/10.3390/electronics14204059

