Confidence-Feature Fusion: A Novel Method for Fog Density Estimation in Object Detection Systems
Abstract
1. Introduction
- We introduce a novel estimation methodology that categorizes unknown images into distinct fog density classes based on a rigorously constructed standard fog dataset, leveraging the prediction of global fog density across continuous image sequences.
- We introduce an innovative approach that integrates the distribution of object detection confidence scores with fog-relevant features into a fog density estimation model, significantly improving the accuracy of fog density classification.
- We demonstrate an effective multi-class support vector machine approach for fog density classification, achieving an accuracy of 85.8% on a test set, showcasing superior correlation coefficients and robustness compared to existing methods.
2. Related Works
3. Methods
3.1. Fog Density Physical Model and Dataset Generation
3.2. Feature Extraction for Fog-Relevant Attributes
3.2.1. Global Fog-Relevant Features
3.2.2. Local Fog-Relevant Features
3.2.3. Area Selection for Feature Extraction Without Objects
3.3. Multi-Class SVM in Fog Density Classification
4. Experiments
4.1. Experimental Setup
4.1.1. Dataset Preparation
4.1.2. Parameter Settings
4.2. Evaluation Metrics
4.3. Results and Analysis
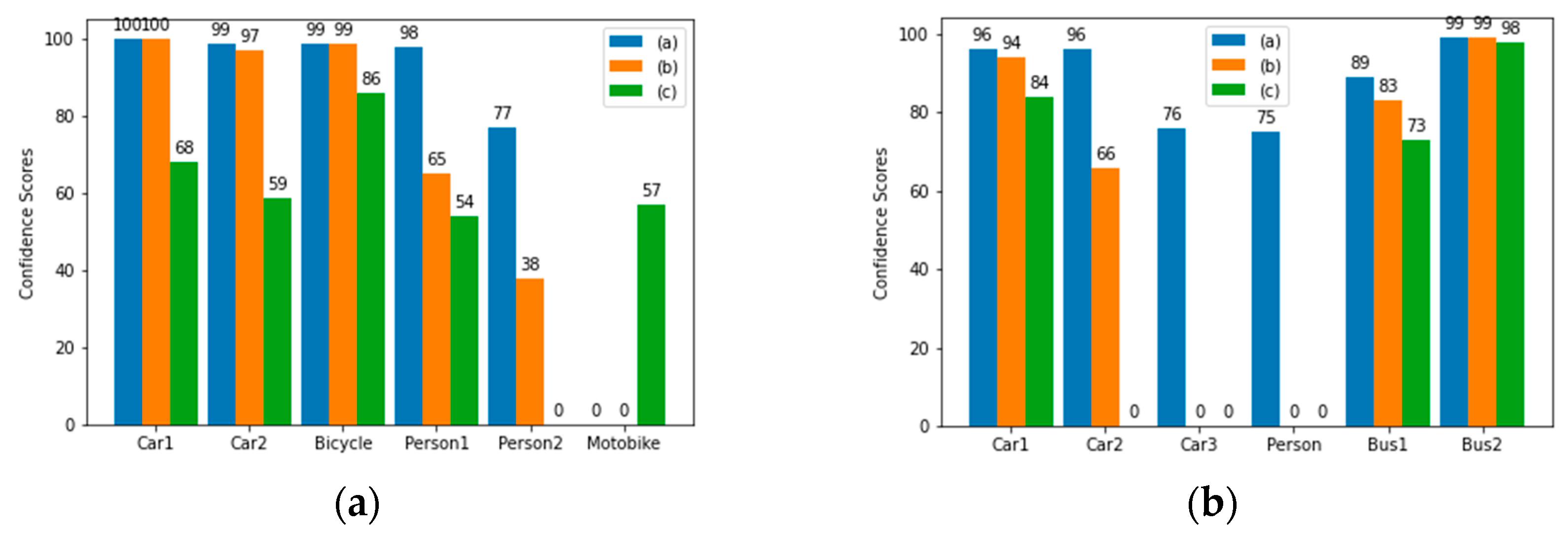
4.3.1. Effect of Fog Density on Object Detection
4.3.2. Fog Density Estimation Model Evaluation
4.3.3. Comparison with Other Methods
5. Discussion
6. Conclusions
Author Contributions
Funding
Data Availability Statement
Conflicts of Interest
References
- He, K.; Sun, J.; Tang, X. Single image haze removal using dark channel prior. IEEE Trans. Pattern Anal. Mach. Intell. 2010, 33, 2341–2353. [Google Scholar] [PubMed]
- Berman, D.; Treibitz, T.; Avidan, S. Non-local image dehazing. In Proceedings of the IEEE Conference on Computer Vision and Pattern Recognitionm, Las Vegas, NV, USA, 27–30 June 2016; pp. 1674–1682. [Google Scholar]
- Ancuti, C.O.; Ancuti, C. Single image dehazing by multi-scale fusion. IEEE Trans. Image Process. 2013, 22, 3271–3282. [Google Scholar] [CrossRef] [PubMed]
- Moreno, I.; Jauregui-Sánchez, Y.; Avendaño-Alejo, M. Invisibility assessment: A visual perception approach. J. Opt. Soc. Am. A 2014, 31, 2244–2248. [Google Scholar] [CrossRef] [PubMed][Green Version]
- Pomerleau, D. Visibility estimation from a moving vehicle using the ralph vision system. In Proceedings of the Conference on Intelligent Transportation Systems, Boston, MA, USA, 12 November 1997; IEEE: Piscataway, NJ, USA, 1997; pp. 906–911. [Google Scholar]
- Ding, Y.; Wallace, A.M.; Wang, S. Estimating Fog Parameters from an Image Sequence using Non-linear Optimisation. In Proceedings of the IEEE/CVF Winter Conference on Applications of Computer Vision, Waikoloa, HI, USA, 3–8 January 2024; pp. 1578–1586. [Google Scholar]
- Choi, L.K.; You, J.; Bovik, A.C. Referenceless perceptual fog density prediction model. In Human Vision and Electronic Imaging XIX; International Society for Optics and Photonics: Bellingham, WA, USA, 2014; Volume 9014, p. 90140H. [Google Scholar]
- Chen, J.; Tan, C.H.; Chau, L.P. Haze density estimation via modeling of scattering coefficients of iso-depth regions. arXiv 2018, arXiv:1808.06207. [Google Scholar]
- Jiang, Y.; Sun, C.; Zhao, Y.; Yang, L. Fog density estimation and image defogging based on surrogate modeling for optical depth. IEEE Trans. Image Process. 2017, 26, 3397–3409. [Google Scholar] [CrossRef] [PubMed]
- Xie, Y.; Wei, H.; Liu, Z.; Wang, X.; Ji, X. SynFog: A Photo-realistic Synthetic Fog Dataset based on End-to-end Imaging Simulation for Advancing Real-World Defogging in Autonomous Driving. In Proceedings of the IEEE/CVF Conference on Computer Vision and Pattern Recognition, Seattle, WA, USA, 16–22 June 2024; pp. 21763–21772. [Google Scholar]
- Li, B.; Peng, X.; Wang, Z.; Xu, J.; Feng, D. AOD-Net: All-in-one dehazing network. In Proceedings of the IEEE International Conference on Computer Vision (ICCV), Venice, Italy, 22–29 October 2017; pp. 4770–4778. [Google Scholar]
- Cai, B.; Xu, X.; Jia, K.; Qing, C.; Tao, D. DehazeNet: An end-to-end system for single image haze removal. IEEE Trans. Image Process. 2016, 25, 5187–5198. [Google Scholar] [CrossRef]
- Liu, X.; Ma, Y.; Shi, Z.; Chen, J. GridDehazeNet: Attention-based multi-scale network for image dehazing. In Proceedings of the IEEE International Conference on Computer Vision (ICCV), Seoul, Republic of Korea, 27 October–2 November 2019; pp. 7314–7323. [Google Scholar]
- Qu, Y.; Chen, Y.; Huang, J.; Xie, Y. Enhanced pix2pix dehazing network. In Proceedings of the IEEE/CVF Conference on Computer Vision and Pattern Recognition (CVPR), Long Beach, CA, USA, 15–20 June 2019; pp. 8152–8160. [Google Scholar]
- Hautière, N.; Tarel, J.-P.; Aubert, D.; Dumont, É. Blind contrast enhancement assessment by gradient ratioing at visible edges. Image Anal. Stereol. 2008, 27, 87–95. [Google Scholar] [CrossRef]
- Khan, S.; Muhammad, K.; Mumtaz, S.; Baik, S.W.; de Albuquerque, V.H.C. Energy-Efficient Deep CNN for Smoke Detection in Foggy IoT Environment. IEEE Internet Things J. 2019, 6, 9237–9245. [Google Scholar] [CrossRef]
- Zhang, J.; Min, X.; Zhu, Y.; Zhai, G.; Zhou, J.; Yang, X.; Zhang, W. HazDesNet: An End-to-End Network for Haze Density Prediction. IEEE Trans. Intell. Transp. Syst. 2022, 23, 3087–3102. [Google Scholar] [CrossRef]
- Redmon, J.; Farhadi, A. YOLOv8: Advanced real-time object detection. arXiv 2022, arXiv:2203.09800. [Google Scholar]
- Wang, A.; Chen, H.; Liu, L.; Chen, K.; Lin, Z.; Han, J.; Ding, G. YOLOv10: Real-Time End-to-End Object Detection. arXiv 2024, arXiv:2405.14458. [Google Scholar]
- Zhou, H.; Greenwood, D.; Taylor, S. Self-supervised monocular depth estimation with internal feature fusion. arXiv 2021, arXiv:2110.09482. [Google Scholar]
- Matkovic, K.; Neumann, L.; Neumann, A.; Psik, T.; Purgathofer, W. Global contrast factor-a new approach to image contrast. Comput. Aesthet. 2005, 2005, 159–168. [Google Scholar]
- Tang, K.; Yang, J.; Wang, J. Investigating haze-relevant features in a learning framework for image dehazing. In Proceedings of the IEEE Conference on Computer Vision and Pattern Recognition, Columbus, OH, USA, 23–28 June 2014; pp. 2995–3000. [Google Scholar]
- Chang, C.C.; Lin, C.J. LIBSVM: A library for support vector machines. ACM Trans. Intell. Syst. Technol. 2011, 2, 27:1–27:27. Available online: http://www.csie.ntu.edu.tw/~cjlin/libsvm (accessed on 20 July 2024). [CrossRef]
- Li, B.; Ren, W.; Fu, D.; Tao, D.; Feng, D.; Zeng, W.; Wang, Z. Benchmarking single-image dehazing and beyond. IEEE Trans. Image Process. 2018, 28, 492–505. [Google Scholar] [CrossRef] [PubMed]
- Bochkovskiy, A.; Wang, C.Y.; Liao, H.Y.M. YOLOv4: Optimal speed and accuracy of object detection. arXiv 2020, arXiv:2004.10934. [Google Scholar]
- Lin, T.Y.; Maire, M.; Belongie, S.; Hays, J.; Perona, P.; Ramanan, D.; Zitnick, C.L. Microsoft coco: Common objects in context. In Proceedings of the Computer Vision–ECCV 2014: 13th European Conference, Zurich, Switzerland, 6–12 September 2014; Proceedings, Part V 13. Springer International Publishing: Berlin/Heidelberg, Germany, 2014; pp. 740–755. [Google Scholar]
- Mittal, A.; Moorthy, A.K.; Bovik, A.C. No-reference image quality assessment in the spatial domain. IEEE Trans. Image Process. 2012, 21, 4695–4708. [Google Scholar] [CrossRef] [PubMed]
- Choi, L.K.; You, J.; Bovik, A.C. Referenceless prediction of perceptual fog density and perceptual image defogging. IEEE Trans. Image Process. 2015, 24, 3888–3901. [Google Scholar] [CrossRef]

















| Scenes | a | b | c | d | e | f | g | h |
|---|---|---|---|---|---|---|---|---|
| Entropy | 7.3454 | 6.7220 | 5.6995 | 5.2639 | 7.8414 | 7.3404 | 6.1790 | 5.8581 |
| Standard deviation | 74.3098 | 44.7439 | 23.1754 | 14.1714 | 75.8730 | 48.6078 | 18.2677 | 16.1923 |
| Global contrast | 7.0592 | 3.6509 | 3.6585 | 2.2314 | 9.6159 | 3.2665 | 2.5195 | 2.8962 |
| Features | a | b | c | d | e | f | g | h |
|---|---|---|---|---|---|---|---|---|
| Dark channel | 0.1431 | 0.4089 | 0.5253 | 0.6251 | 0.0919 | 0.5073 | 0.6382 | 0.7410 |
| Saturation | 0.4550 | 0.3181 | 0.2306 | 0.1621 | 0.4036 | 0.1313 | 0.0771 | 0.0373 |
| Metrics | SROCC | KLCC | PLCC | RMSE |
|---|---|---|---|---|
| FADE | 0.8505 | 0.6194 | 0.7305 | 10.9638 |
| BRISQUE | 0.6156 | 0.5514 | 0.5067 | 13.3867 |
| OURS | 0.8723 | 0.7005 | 0.6716 | 8.9638 |
Disclaimer/Publisher’s Note: The statements, opinions and data contained in all publications are solely those of the individual author(s) and contributor(s) and not of MDPI and/or the editor(s). MDPI and/or the editor(s) disclaim responsibility for any injury to people or property resulting from any ideas, methods, instructions or products referred to in the content. |
© 2025 by the authors. Licensee MDPI, Basel, Switzerland. This article is an open access article distributed under the terms and conditions of the Creative Commons Attribution (CC BY) license (https://creativecommons.org/licenses/by/4.0/).
Share and Cite
Li, Z.; Zhang, S.; Fu, Z.; Meng, F.; Zhang, L. Confidence-Feature Fusion: A Novel Method for Fog Density Estimation in Object Detection Systems. Electronics 2025, 14, 219. https://doi.org/10.3390/electronics14020219
Li Z, Zhang S, Fu Z, Meng F, Zhang L. Confidence-Feature Fusion: A Novel Method for Fog Density Estimation in Object Detection Systems. Electronics. 2025; 14(2):219. https://doi.org/10.3390/electronics14020219
Chicago/Turabian StyleLi, Zhiyi, Songtao Zhang, Zihan Fu, Fanlei Meng, and Lijuan Zhang. 2025. "Confidence-Feature Fusion: A Novel Method for Fog Density Estimation in Object Detection Systems" Electronics 14, no. 2: 219. https://doi.org/10.3390/electronics14020219
APA StyleLi, Z., Zhang, S., Fu, Z., Meng, F., & Zhang, L. (2025). Confidence-Feature Fusion: A Novel Method for Fog Density Estimation in Object Detection Systems. Electronics, 14(2), 219. https://doi.org/10.3390/electronics14020219

