Abstract
This study examines the security of power systems. Power systems rely heavily on Global Navigation Satellite System (GNSS) time synchronization services. This service is susceptible to Time Synchronization Attacks (TSAs), which can spoof the timing results of GNSS and cause serious consequences. Therefore, in order to improve the time security of the network, a new detection method, i.e., a three-step iterative filter, is proposed. Simulation results show that the scheme can detect the slow time synchronization attack within 1 s and can effectively suppress the attack, which effectively reduces the impact of the time synchronization attack on timing accuracy. The scheme has a relatively small error, consumes fewer resources, and is more conducive to engineering implementation.
1. Introduction
Global navigation satellite systems (GNSSs) can provide users with location, speed, and time information and play a key role in military and civilian areas, such as autonomous driving [1] and power grid monitoring [2]. However, owing to both natural [3] and human factors, GNSSs are vulnerable to spoofing signals and face significant challenges in terms of availability and reliability [4].
Infrastructures, such as road tolling systems, terrestrial digital video broadcasting, cell phone and air traffic control towers, real-time industrial control systems, and phasor measurement units (PMUs) [5], heavily rely on synchronized precise timing for consistent and accurate network communications. This synchronization is essential for maintaining records and ensuring traceability. The global positioning system (GPS) provides a time reference of microsecond precision for these systems [6,7,8,9]. The GPS-based time-synchronization systems use civilian GPS channels, which are open to the public [10,11]. The unencrypted nature of these signals makes them vulnerable to unintentional interference and intentional attacks. Thus, unauthorized manipulation of GPS signals results in disruption of correct readings of GPS-based time references and thus is called a time synchronization attack (TSA). To address the impact of malicious attacks, for instance, on PMU data, the Electric Power Research Institute published a technical report that recognizes the vulnerability of PMUs to GPS spoofing under its scenario, WAMPAC.12: GPS Time Signal Compromise [12]. These attacks introduce erroneous time stamps that are eventually equivalent to inducing the wrong phase angle in the PMU measurements [13,14]. The impact of TSAs on generator trip control, transmission line fault detection, voltage stability monitoring, disturbing event locations, and power system state estimation has been studied and evaluated both experimentally [15] and through simulations [16,17,18].
Because of the vulnerability of common GNSS timing receivers to TSA, anti-TSA techniques have attracted the attention of several researchers. Siamak et al. [19] proposed a dynamic estimator that used measurements from PMUs and monitoring systems. The detection is based on the difference between the results of the dynamic estimation and actual observations. Similarly, a multi-period estimator was proposed in [20], and the effect of the TSA was detected and evaluated by minimizing the objective function for each estimation period. In addition, this method can be used for smaller parts of the networks. For example, anti-TSA can be achieved using a transmission line model through prior learning of different TSA effects and online pattern recognition [21]. The physical-layer approach can monitor the anomalous characteristics of GNSS signals and directly detect TSA. Different methods use different signal features. Fan et al. [22] used two antennas to select signals with suspected arrival angles. Bhamidipati et al. [23] chose to monitor the signal pseudo-range residual through a recurrent neural network that needs to be trained beforehand with appropriate data samples. Anomalous signal features can also be detected using vector tracking loops [24], which require the user’s location as auxiliary information. In addition to these specialized TSA defense methods, anti-spoofing methods designed for general GNSS spoofing attacks, such as monitoring high signal power [25] and abnormal spatial information [26], are feasible. Other anti-TSA methods have been implemented in the time layer by monitoring the timing results calculated from the GNSS signals. Because the direct target of the TSA is precisely these timing results, it is difficult to avoid causing anomalous features in the time layer, regardless of the attack strategy. Spanghero et al. [27] used Wi-Fi as an additional time source to ensure security; however, this incurs additional costs, and the performance is limited by the accuracy of the Wi-Fi timing. The TSA Denial and Mitigation (TSARM) approach was proposed in [28]. A deception effect reconstruction algorithm is used at its core. Mitigation can be achieved by eliminating reconstruction deception, and detection can be achieved by monitoring outliers in the total variance of the corrected timing result. This method was optimized to be tune-free and real-time [29]. Schmidt et al. [30] proposed a similar detection method by monitoring the sparsity in higher-order derivatives of the timing results.
One of the main concerns of the TSA defense is its detection. When a TSA occurs, the users must call the police on time. Subsequently, most TSA signals are easy to ignore because, to hide, their power cannot significantly exceed the real signal. Detection is a major component of a TSA defense system. Off-the-shelf methods provide a certain degree of detection capability; however, gaps remain.
To address this gap and detect TSA more effectively, the mechanism by which TSA signals maintain the necessary concealment was studied. It was concluded that different TSA signals must be processed synchronously. Otherwise, spoofing can be easily detected by off-the-shelf commercial receivers.
In 2015, attackers used spoofed time synchronization signals to disrupt grid scheduling, leading to large-scale power outages in some regions. This event highlighted the vulnerability of GNSS signals as a time reference.
In 2016, a GPS jamming test conducted by the U.S. Department of Homeland Security demonstrated that interference with time synchronization could cause protection relays in power equipment to malfunction, leading to unnecessary power outages.
Advantages and disadvantages of existing anti-TSA technologies
| Technology Type | Advantages | Disadvantages |
| GNSS-based enhancement | Improves anti-interference capability through multi-signal sources; provides real-time correction for GNSS errors | Requires additional hardware; high cost; limited real-time performance in some scenarios |
| Redundancy-based methods | Enhances reliability by using multiple time synchronization sources | High system complexity; challenges in inter-source consistency verification |
| Machine learning-based approaches | High detection accuracy for complex attack patterns | Requires large amounts of labeled data; limited real-time responsiveness |
| Physical layer feature analysis | Directly identifies abnormal signal characteristics | High computational complexity; less sensitive to low-power attacks |
While these methods mitigate TSA threats to some extent, they have notable limitations:
- (1)
- Limited real-time performance: most methods lack efficiency for high-frequency data processing.
- (2)
- Accuracy constraints: some methods struggle to detect slow-changing spoofing attacks.
- (3)
- High resource consumption: certain solutions rely on high-performance devices or additional hardware.
Innovations of the Three-Step Iterative Filter and How It Fills the Gaps
- (1)
- Enhanced Real-Time Performance
The three-step iterative filter employs a phased detection mechanism to progressively eliminate abnormal data, reducing computational overhead and improving real-time capabilities.
- (2)
- High Sensitivity to Slow-Changing Attacks
The algorithm incorporates the characteristics of slow-changing spoofing attacks by introducing dynamic thresholds and model updates, improving detection accuracy for these types of attacks.
- (3)
- Efficient Resource Utilization
This method achieves high detection accuracy while reducing hardware dependency, making it feasible for implementation on existing infrastructure and lowering application costs.
- (4)
- Strong System Adaptability
The three-step iterative filter can seamlessly integrate with existing time synchronization systems, addressing the shortcomings of traditional methods.
2. Satellite Signal Spoofing Attack Model
Time Synchronization Attack Model
Second, this type of deception has become increasingly common, and its impact is also increasing. In addition, the forward/spoofing behavior has certain technical content, which is challenging and valuable for research. In particular, some covert spoofing types in a forward spoofing attack can bypass the consistency test inside the receiver and only attack the timing signal of the timing receiver. Therefore, a forward spoofing attack was chosen as the research content of this study.
Spoofing attacks on satellite signals have different physical mechanisms; however, they are all pseudo-range and pseudo-range rate attacks. Therefore, this type of attack can be modeled as a direct disturbance to pseudo-range and pseudo-range rate attacks.
In Equation (1), and represent the pseudo-range and pseudo-range rates after deception, respectively. and represent spoofing attacks on pseudo-ranges and spoofing attacks on pseudo-range rates, respectively, whereas and accumulate over time and can be modeled as
In Equation (2), denotes the equivalent velocity of the spoofing attack; denotes the equivalent acceleration of the spoofing attack; denotes the temporal resolution; l represents the time index. Khalajmehrabadi [28] proved that this spoofing attack model can change the clock error and clock drift of a satellite receiver without changing its position, which is a more covert transponder deception attack for static timing receivers.
The above spoofing attack model also covers a variety of attack types, mainly including two types of mutation-type attacks and slow sustained attacks. Mutation type attack refers to the drastic attack suffered by the timing device in a short period of time, and Figure 1 indicates that the timing receiver is subjected to this type of spoofing attack at the 30 s. Figure 1a represents the change of pseudo-distance when subjected to spoofing attack and Figure 1b represents the change of pseudo-distance rate when subjected to spoofing attack, both of which change suddenly in a short period of time.
Figure 1.
(a) Mutant attack pseudo-range; (b) Mutant attack pseudo-range rate.
A slow duration attack is a slow spoofing attack on a timing device over a period, resulting in a cumulative increase in the clock deviation of the user receiver, which causes the device clock deviation to be greater than the system time tolerance. In addition, the spoofed user’s receiver clock jump step should meet the requirements for clock continuity; that is, the jump per second is less than 0.2 . To prevent the user receiver from losing the lock on the spoofed signal, the spoofing attack should not exceed a certain equivalent speed threshold and . The spoofing attack equivalent acceleration is a random number . Figure 2 shows that the timing receiver is subjected to this type of spoofing attack in 30 s; Figure 2a shows the change in pseudo-range when it is subjected to spoofing attacks, and Figure 2b shows the change in pseudo-range rate when it is subjected to spoofing attacks. As shown in Figure 2, slow and sustained attacks deceive the pseudo-range and pseudo-range rates slowly; therefore, this type of spoofing attack has strong concealability. However, it is more difficult to protect.
Figure 2.
(a) Slow, sustained attack pseudo-range; (b) Slow, sustained attack pseudo-range rate.
3. Deception Detection and Suppression
Discrete-time linear (time-varying) systems have a wide range of practical applications, such as signal processing, communications, and control systems, and can be used when the input/output relationship changes over time. For the analysis and design of a discrete-time linear system, it is necessary to consider the change law of the time-varying coefficient and adopt appropriate methods and technologies for system modeling, simulation, and control. Compared with the discrete-time linear time-invariant system, the discrete-time linear time-varying system has stronger flexibility and adaptability. Discrete-time linear time-varying systems can be described using the state-space model. Typical expressions for discrete-time linear time-varying systems with unknown inputs are as follows:
Here, Equation (3) is called the equation of state; Equation (4) is called the measurement equation; represents the state vector; represents the time index; denotes the unknown input vector; represents the measured output; represents the process noise, and measurement noise are uncorrelated zero-mean white noise signals. The nonsingular covariance matrices were and , respectively. The matrices are matrices with known corresponding dimensions, and the and are observable. The GPS timing receiver is subjected to a slow-sustained forward spoofing attack, similar to the existence of an unknown input vector inside the receiver system. A dynamic model of a time synchronization attack can be established, as shown in Equation (5).
In Equation (5), represents the clock error of the receiver; represents the clock drift of the receiver; represents a forward-spoofing attack on receiver clock error, and ; represents the attack of forward-type spoofing on the receiver clock drift and ; represents temporal resolution, and ; and represent receiver state noise. The state noise covariance () of the receiver is determined by the crystal oscillator characteristics of the receiver.
In Equation (6), represents the noise power spectral density of the receiver clock off; represents the power spectral density of receiver drift noise. By the same token, the measurement equation can be expressed as
In Equation (7), and represent the measured noise of the receiver; , represent the position coordinates of the satellite and the position coordinates of the receiver, respectively. The variables in the can be calculated directly; that is, they can be regarded as constants. Therefore, Equation (7) is modified according to Equation (4) as
Equations (5) and (8) show that the time synchronization attack only changes the time of the receiver; that is, without changing the position and speed of the receiver, the spoofing attack on the pseudo-range and pseudo-range rate is transformed into a spoofing attack on the clock difference and clock drift of the receiver. In addition, Equation (5) corresponds to Equation (3), which is an equation of state, and Equations (8) and (4) correspond to each other, which are measurement equations. The time synchronization attack dynamic model is transformed into a discrete-time linear time-varying system with unknown inputs, and the deception detection problem is transformed into an estimation problem of unknown inputs in discrete-time linear time-varying systems.
3.1. Problem Description
Consider linear discrete-time-varying systems with unknown inputs.
In Equations (9) and (10), each element has the same meaning as in Equations (3) and (4). The problem involves performing an unbiased minimum variance estimation (MUV) of the state vector and unknown input vector based on the measured values from the measurement equation.
3.2. MUV Estimation for Unknown Input
Starting with a minimum variance unbiased estimate for the unknown input , and assuming that the unbiased estimate of the moment is biased, a biased estimate can be defined because the system contains unknown inputs. That is, spoofing attacks on GPS timing receivers can be defined as
The new information can then be defined as
Because is assumed to be unbiased, can be obtained. Therefore, the following conclusions were drawn:
An unbiased estimate of the unknown input can be obtained from the new information . Considering that there is no model description for the unknown inputs, the estimation of the unknown inputs depends only on the new information of the unknown inputs. The specific model is as follows:
In Equation (14), denotes the gain matrix.
When estimating MUV for unknown inputs, the gain matrix expression is
Further, the covariance matrix of unknown input estimates can be calculated as
Accordingly, the MUV estimate of the unknown input is obtained; that is, the MUV estimate of the spoofing attack is obtained ().
Connection Between State Estimation and MUV Estimation
The connection between state estimation and MUV estimation is crucial for understanding the overall detection mechanism:
- (1)
- State estimation: provides a dynamic understanding of the system’s true state by filtering out noise and errors from observed measurements.
- (2)
- MUV estimation: Identifies anomalies in the measurements by comparing observed data with expected values derived from state estimation. The discrepancies are analyzed to detect spoofing attacks.
- (3)
- Integration: state estimation serves as the foundation for calculating the MUV, while the MUV, in turn, refines the state estimation process by identifying and excluding corrupted data.
3.3. State Estimation
In the previous section, we obtained the MUV estimate of unknown input ; that is, the state vector can be obtained using the unknown input estimate as a known value. You can determine the unbiased estimation of the state vector , and its expression is
Furthermore, based on the assumption of observability of the system, the Kalman filter can be used to obtain the unbiased minimum variance estimate of the system state vector, which is expressed as
In Equation (19), the gain matrix needs to be determined.
Based on the derivation of this formula, the expression for the optimal gain matrix can be obtained as follows:
The process of the three-step iterative filter was deduced previously. The algorithm of the three-step iterative filter is summarized as follows:
First step: Time update. Based on the unbiased estimation , the state estimate of time k − 1 and the corresponding variance matrix are obtained.
Step 2: MUV estimation for an unknown input. Calculate the estimate for the unknown input at time k and the corresponding variance matrix.
Step 3: Measurement update using the real measurement value to correct the state estimate at time k and the corresponding variance matrix.
3.4. State Correction
We converted the time synchronization attack model to a linear discrete system with unknown inputs and used the three-step iterative filter in the previous section to obtain the estimates of the state vector and unknown inputs, thus obtaining the clock difference, clock drift, and attack estimates of the clock difference and clock drift. According to the time synchronization attack model, it can be concluded that the attack of clock difference and clock drift has a superposition effect, and the clock deviation at time k is attacked, depending on the superposition of time 1 to k − 1. Therefore, the entire system can be corrected by subtracting the cumulative results. The corrected model is shown in Equation (23).
In (31), , represent the corrected clock difference and clock drift, respectively, at the current moment. , represent the clock error and clock drift, respectively, which are estimated using the algorithm at the current moment. , represent the algorithm’s estimates of clock error and clock drift, respectively.
Significance of the Correction Model
The correction model bridges the gap between raw GNSS data and accurate system state representation. Its significance includes:
- (1)
- Error Mitigation: corrects deviations caused by spoofing attacks, ensuring the integrity of time synchronization.
- (2)
- Dynamic Adaptability: adjusts to changes in attack patterns, enhancing the robustness of the detection mechanism.
- (3)
- System Reliability: maintains the stability and reliability of the power system by preventing erroneous time synchronization from propagating through the network.
4. Simulations and Conclusions
4.1. Experimental Simulation
This section uses real satellite data collected by the high-precision GPS module through the establishment of the time synchronization attack model and, based on the real satellite data, simulates the attack experiment. A total of 350 s of data was collected in the experiment, and the simulated time synchronization attack experiment was conducted at time t = 51 s.
Figure 3a,b show the comparison between the normal pseudo-range and pseudo-range rate and the deceived pseudo-range and pseudo-range rate after passing a slow-sustained attack, respectively. As shown in Figure 3, with the accumulation of attack time, the deceived pseudo-distance gradually diverges from the true pseudo-distance, and the deceived pseudo-distance rate fluctuates significantly compared to the normal pseudo-distance rate.
Figure 3.
(a) Comparison of pseudo-distance before and after being cheated; (b) Comparison of pseudo-distance rates before and after being cheated.
Figure 4a,b show the comparison between the normal clock difference, clock drift, and cheated clock difference after a slow-sustained attack. As shown in Figure 4, with the accumulation of time synchronization attack time, the deceived clock difference gradually deviates from the real clock difference, and the deceived clock drift fluctuates significantly compared with the normal clock drift. From the comparison between Figure 3 and Figure 4, the change in the deceived clock difference is almost consistent with the change in the deceived pseudo-distance, and the change in the deceived clock drift is almost consistent with the change in the deceived clock drift rate, which is also consistent with the deception model mentioned above. Spoofing attacks directly change the pseudo-distance and pseudo-distance rates; however, they affect the clock difference and clock drift of the receiver.
Figure 4.
(a) Comparison of clock difference before and after cheating; (b) Comparison of bell drift before and after cheating.
A three-step iterative filter method was used to detect and suppress spoofing. The simulation experiment for deception detection and suppression is as follows.
Figure 5 shows the estimation of the equivalent acceleration and velocity of spoofing attacks; Figure 5a shows the estimation of spoofing attacks of pseudo-range rate, that is, the equivalent acceleration of attacks, where blue represents the estimated value and orange represents the true value; Figure 5b represents the estimation of the spoofing attack at pseudo range, that is, the equivalent speed of the attack, where blue represents the estimated value and orange represents the true value. As shown in Figure 5, the spoofing attack starts when t = 51 s; therefore, when t = 1~50 s, the equivalent velocity of the attack and acceleration are both 0. When the attack starts, the set attack distance equivalent acceleration simulation value is taken as a random value between −2 and 2, and its relationship satisfies the synchronous attack model of slow duration. As shown in Figure 5, the estimated value of the three-step iterative filter is similar to the theoretical value after the three-step iterative filter estimates the spoofing attack term.
Figure 5.
(a) Real vs. estimated values of equivalent acceleration of an attack; (b) Real and estimated values of the equivalent velocity of an attack.
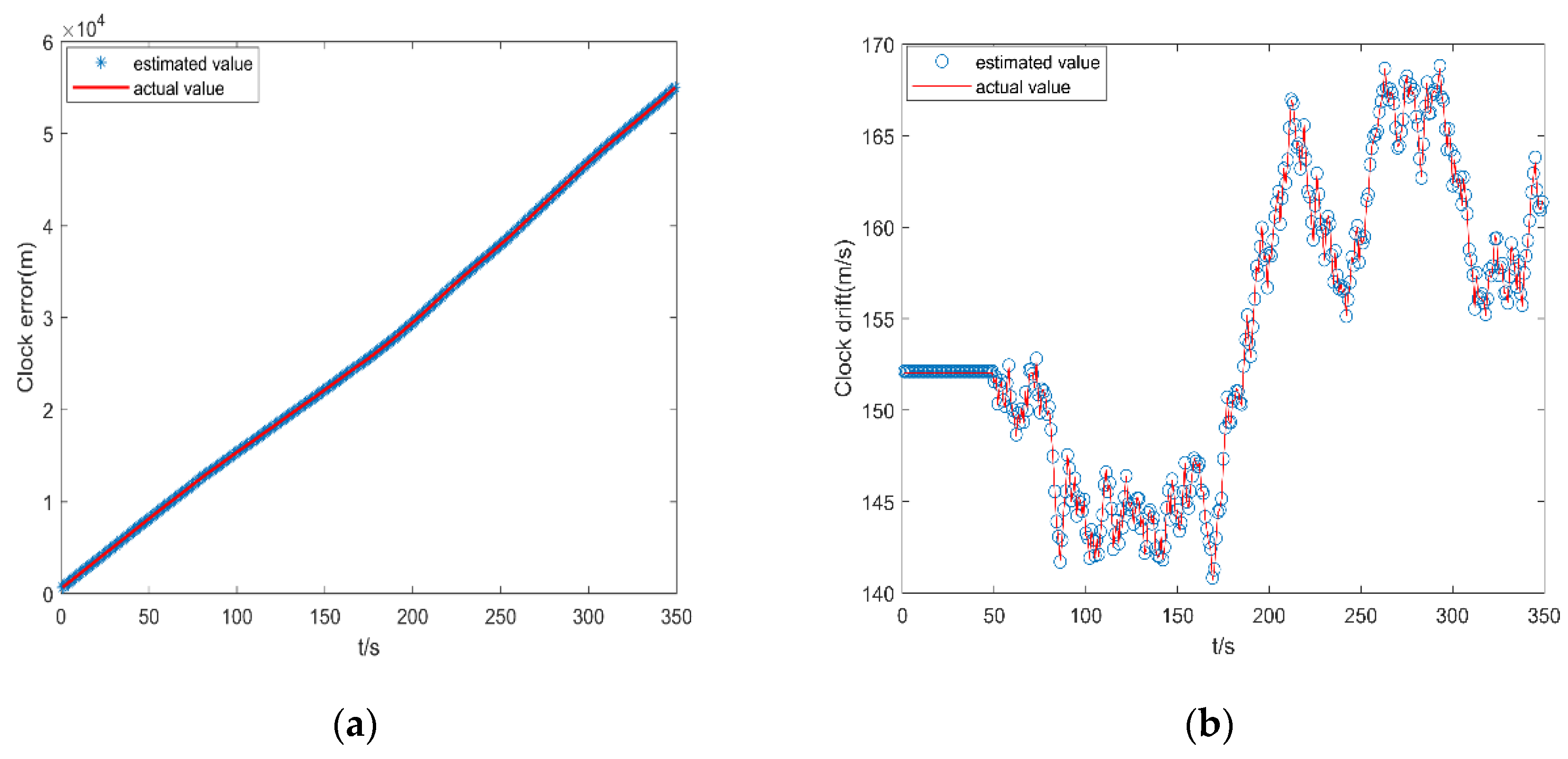
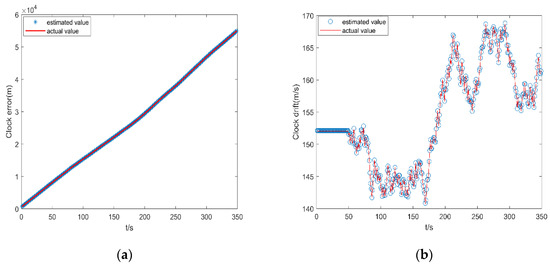
As shown in Figure 6, the estimation of the clock difference and clock drift is very effective, and the values and trends are almost consistent. The estimated value of the curve was almost identical to the real value, demonstrating the effectiveness of the algorithm. Because of this slow-sustaining deception, the attack on the clock difference accumulates over time; thus, a state correction can be performed to suppress the influence of the spoofing attack on the state. The state correction results are shown in Figure 7.
Figure 6.
(a) Clock Difference True vs. Estimated; (b) Bell Drift True vs. Estimated.
Figure 7.
(a) Clockwise correction; (b) Clock drifting amendment.
Figure 7 shows a comparison graph before and after the state vector correction. Before the correction, because the attack did not begin until t = 51 s, the clock difference of the timing receiver began to shift slowly, gradually making its clock difference larger than the normal offset value. As the deception time continued to increase, the deceived clock difference gradually deviated from the true clock difference. When clock drift is attacked by deception, it gradually accumulates over time, and the clock drift changes significantly. The above simulation results show that the deception detection and suppression scheme based on the three-step iterative filter can accurately estimate spoofing attack items. The gap between the clock difference and clock drift after state correction and the clock and clock drift without time synchronization attacks is small, indicating that the state correction model has a good suppression effect on slow-sustained attacks.
4.2. Error Analysis
In the simulation experiment, using the same set of data collected by the receiver, the equivalent acceleration of the spoofing attack was selected as a random number between −2 and 2. The experiment was repeated ten times. Finally, the root mean square error (RMSE) is introduced to measure the degree of spoofing suppression. According to Equation (23) of the state correction model, the true value of the clock difference in the receiver is compared with the RMSE of the partial clock difference after deception correction; the clock difference and clock drift accuracy caused by the predicted attack can be measured as follows:
Equation (32) represents the total duration of the data .
The RMSE of the state estimate, state true value, unknown input estimate, and unknown input true value in the experimental simulation were calculated, and the results are listed in Table 1.
Table 1.
Implementation flow of the high-efficiency and low-complexity coding algorithm.
As shown in Table 1, the RMSE value between the estimated value of the state vector (clock difference, clock drift) and unknown input vector (equivalent velocity of attack and equivalent acceleration of attack) and the true value is very small. This shows the correctness and effectiveness of the position input estimation model and state estimation model proposed earlier in this study and also shows that the algorithm can detect spoofing attacks. Finally, the RMSE of the corrected and real state vector values (clock difference and clock drift) was used to measure the correction performance of the three-step iterative filter on the state vector. The RMSE before and after state vector correction are listed in Table 2.
Table 2.
State vector correction performance table.
As shown in Table 2, the proposed state correction model is correct, and the three-step iterative filter can effectively detect and suppress slow, persistent attacks.
In this paper, the following error analysis experiments were conducted, respectively, on the state vector (clock difference), the unknown input vector (the equivalent velocity of the attack, the equivalent acceleration of the attack), and the corrected state vector (clock drift, clock difference), and the data used were obtained by accepting the real satellite signals for simulation, and the experimental method was simulated 100 times for each error in order to avoid chance. The mean value of the data is calculated as a point, and the data obtained by repeating ten times is used for the simulation.
Figure 8 shows the error comparison of the state vector clock difference, RTSF represents the error of this paper’s algorithm, and Kalman represents the error of the existing algorithm. From the curve, it can be clearly seen that this paper’s algorithm is significantly better than the existing algorithm.
Figure 8.
Rmse1 comparison.
Figure 9 shows the unknown input vectors (equivalent velocity of the attack, equivalent acceleration of the attack), respectively, and RTSF represents the error of this paper’s algorithm, and Kalman represents the error of the existing algorithms, and it is obvious from the curves that this paper’s algorithm is significantly better than the existing algorithm.
Figure 9.
Rmse3 and Rmse4 comparison.
Figure 10 shows the corrected state vector values (clock drift, clock difference). RTSF represents the error of this paper’s algorithm, and Kalman represents the error of the existing algorithm, and it is obvious from the curves that this paper’s algorithm is significantly better than the existing algorithm.
Figure 10.
Rmse5 and Rmse6 comparison.
Because the equivalent acceleration of the attack is a random value, through 10 experiments, the average RMSE between the corrected clock difference of the satellite receiver and the clock difference without spoofing is 173.7307 m, and then divided by the speed of light c, the corresponding time error is 0.5795 , which meets the accuracy requirements of PMU.
4.3. Conclusions and Future Work
In this study, different types of spoofing attacks were investigated, and a model of turning spoofing jamming was described at the signal level. A forward spoofing attack that only changes the clock difference to the clock drift of the receiver without changing the receiver’s position is introduced, thus forming a time-synchronization attack. To address this type of attack, a mathematical model of a time-synchronization attack was established.
In this study, a three-step iterative filter-based attack protection scheme is proposed for a GPS timing receiver subjected to a slow-sustained attack of forward spoofing. The scheme is based on a three-step iterative filter algorithm for spoofing detection. Combined with the time synchronization attack model, a spoofing suppression scheme is proposed for the GPS timing receiver. Finally, numerical and experimental simulations of the three-step iterative filter algorithm were performed. The simulation results show that the protection scheme can effectively suppress the deception attack, and the correction and compensation accuracy of the deception attack is 0.5795 , which meets the standard of PMU units in the power system.
In the current work, the set of GPS signals is obtained from an actual GPS receiver in a real environment, but the attacks are modeled based on the characteristics of real spoofers reported in the literature. Experiments on the behavior of the proposed detection and mitigation methods in real spoofing scenarios are the subject of future research.
Author Contributions
Methodology, K.O. and Y.L.; Software, Z.D. and M.W.; Data curation, C.L. and Z.L. All authors have read and agreed to the published version of the manuscript.
Funding
This work was financially supported by the Science and Technology Plan of Sichuan Province (grant no. 2023YFS0426) and the Sichuan Time Frequency Synchronization System and Application Engineering Technology Research Center Open Project for 2024 (grant no. 2024SPKT01).
Data Availability Statement
The data that support the findings of this study are available from the corresponding author upon reasonable request.
Conflicts of Interest
Author Yumu Liu was employed by the company Guizhou Aerospace Electronic Technology Co., Ltd. The authors declare no conflict of interest.
References
- Luo, Q.; Cao, Y.; Liu, J.; Benslimane, A. Localization and navigation in autonomous driving: Threats and countermeasures. IEEE Wirel. Commun. 2019, 26, 38–45. [Google Scholar] [CrossRef]
- Geetha, S.J.; Meghwani, A.; Chakrabarti, S.; Rajawat, K.; Terzija, V. Spoofing attack on synchrophasor GPS clock: Impact and detection in power system state estimation. Int. J. Electr. Power Syst. 2022, 134, 107396. [Google Scholar] [CrossRef]
- Ke, F.; Cui, W.; Ming, L.; Hu, X. Ionospheric response and the impact on GPS positioning accuracy during the Tonga volcano eruption on 15 January 2022. Adv. Space Res. 2024, 73, 1831–1842. [Google Scholar] [CrossRef]
- Milaat, F.A.; Liu, H. Decentralized detection of GPS spoofing in vehicular ad hoc networks. IEEE Commun. Lett. 2018, 22, 1256–1259. [Google Scholar] [CrossRef]
- Energy.gov. Office of Electricity Delivery & Energy Reliability. Available online: http://energy.gov/oe/services/technology-development/smart-grid (accessed on 8 August 2016).
- Gps.gov. Official U.S. Government Information About the Global Positioning System (GPS) and Related Topics. Available online: http://www.gps.gov/applications/timing/ (accessed on 4 November 2024).
- Parkinson, B.W.; Spilker, J.J.; Axelrad, P.; Enge, P. Global Positioning System: Theory and Applications; American Institute of Aeronautics and Astronautics: Reston, VA, USA, 1996; Volume I. [Google Scholar]
- Parkinson, B.W.; Spilker, J.J.; Axelrad, P.; Enge, P. Global Positioning System: Theory and Applications; American Institute of Aeronautics and Astronautics: Reston, VA, USA, 1996; Volume II. [Google Scholar]
- Misra, P.; Enge, P. Global Positioning System: Signals, Measurements, and Performance, 2nd ed.; Ganga-Jamuna Press: Lincoln, MA, USA, 2006. [Google Scholar]
- Yaesh, I.; Shaked, U. Neuro-adaptive hinfinity estimation and its application to improved tracking in GPS receivers. IEEE Trans. Ind. Electron. 2009, 56, 642–647. [Google Scholar] [CrossRef]
- Li, X.; Xu, Q. A reliable fusion positioning strategy for land vehicles in GPS-denied environments based on low-cost sensors. IEEE Trans. Ind. Electron. 2017, 64, 3205–3215. [Google Scholar] [CrossRef]
- Electric Sector Failure Scenarios and Impact Analyses, Version 3.0; Technical Report; Electric Power Research Institute: Palo Alto, CA, USA, 2015.
- Schmidt, D.; Radke, K.; Camtepe, S.; Foo, E.; Ren, M. A surveyand analysis of the GNSS spoofing threat and countermeasures. ACM Comput. Surv. 2016, 48, 64:1–64:31. [Google Scholar] [CrossRef]
- Moussa, B.; Debbabi, M.; Assi, C. Security assessment of time synchronization mechanisms for the smart grid. IEEE Commun. Surv. Tutor. 2016, 18, 1952–1973. [Google Scholar] [CrossRef]
- Shepard, D.P.; Humphreys, T.E.; Fansler, A.A. Evaluation of the vulnerability of phasor measurement units to GPS spoofing attacks. Int. J. Crit. Infrastruct. Prot. 2012, 5, 146–153. [Google Scholar] [CrossRef]
- Zhang, Z.; Gong, S.; Dimitrovski, A.D.; Li, H. Time synchronization attack in smart grid: Impact and analysis. IEEE Trans. Smart Grid 2013, 4, 87–98. [Google Scholar] [CrossRef]
- Jiang, X.; Zhang, J.; Harding, B.J.; Makela, J.J.; Dominguez-García, A.D. Spoofing GPS receiver clock offset of phasor measurement units. IEEE Trans. Power Syst. 2013, 28, 3253–3262. [Google Scholar] [CrossRef]
- Risbud, P.; Gatsis, N.; Taha, A. Assessing power system state estimation accuracy with GPS-spoofed PMU measurements. In Proceedings of the 2016 IEEE Power & Energy Society Innovative Smart Grid Technologies Conference (ISGT), Minneapolis, MN, USA, 6–9 September 2016. [Google Scholar]
- Siamak, S.; Dehghani, M.; Mohammadi, M. Dynamic GPS spoofing at-tack detection, localization, and measurement correction exploiting PMU and SCADA. IEEE Syst. J. 2021, 15, 2531–2540. [Google Scholar] [CrossRef]
- Risbud, P.; Gatsis, N.; Taha, A. Multi-period power system state estimation with PMUs under GPS spoofing attacks. J. Mod. Power Syst. Clean Energy 2020, 8, 597–606. [Google Scholar] [CrossRef]
- Xue, A.; Xu, F.; Xu, J.; Chow, J.H.; Leng, S.; Bi, T. Online pattern recognition and data correction of PMU data under GPS spoofing attack. J. Mod. Power Syst. Clean Energy 2020, 8, 1240–1249. [Google Scholar] [CrossRef]
- Fan, Y.; Zhang, Z.; Trinkle, M.; Dimitrovski, A.D.; Song, J.B.; Li, H. A cross-layer defense mechanism against GPS spoofing attacks on PMUs in smart grids. IEEE Trans. Smart Grid 2015, 6, 2659–2668. [Google Scholar] [CrossRef]
- Bhamidipati, S.; Kim, K.J.; Sun, H.; Orlik, P.; Zhang, J. Joint BP and RNN for resilient GPS timing against spoofing attacks. In Artificial Intelligence for Communications and Networks, Proceedings of the First EAI International Conference, AICON 2019, Harbin, China, 25–26 May 2019; Springer: Cham, Switzerland, 2019; pp. 190–209. [Google Scholar]
- Chou, D.; Heng, L.; Gao, G.X. Robust GPS-based timing for phasor measurement units: A position-information-aided approach. In Proceedings of the 27th International Technical Meeting of the Satellite Division of The Institute of Navigation (ION GNSS+ 2014), Tampa, FL, USA, 8–12 September 2014; pp. 1261–1269. [Google Scholar]
- Jahromi, J.; Broumandan, A.; Nielsen, J.; Lachapelle, G. GPS spoofer countermeasure effectiveness based on signal strength, noise power, and C/N0 measurements. Int. J. Satell. Commun. Navig. 2012, 30, 181–192. [Google Scholar] [CrossRef]
- Broumandan, A.; Jafarnia-Jahromi, A.; Daneshmand, S.; Lachapelle, G. Overview of spatial processing approaches for GNSS structural interference detection and mitigation. Proc. IEEE 2016, 104, 1246–1257. [Google Scholar] [CrossRef]
- Spanghero, M.; Zhang, K.W.; Papadimitratos, P. Authenticated time for detecting GNSS attacks. In Proceedings of the 33rd International Technical Meeting of the Satellite Division of The Institute of Navigation (ION GNSS+ 2020), Online, 21–25 September 2020; pp. 3826–3834. [Google Scholar]
- Khalajmehrabadi, A.; Gatsis, N.; Akopian, D.; Taha, A.F. Real-time rejection and mitigation of time synchronization attacks on the global positioning system. IEEE Trans. Ind. Electron. 2018, 65, 6425–6435. [Google Scholar] [CrossRef]
- Lee, J.; Taha, A.F.; Gatsis, N.; Akopian, D. Tuning-free, low memory robust estimator to mitigate GPS spoofing attacks. IEEE Control Syst. Lett. 2020, 4, 145–150. [Google Scholar] [CrossRef]
- Schmidt, E.; Lee, J.; Gatsis, N.; Akopian, D. Rejection of smooth GPS time synchronization attacks via sparse techniques. IEEE Sens. J. 2021, 21, 776–789. [Google Scholar] [CrossRef]
Disclaimer/Publisher’s Note: The statements, opinions and data contained in all publications are solely those of the individual author(s) and contributor(s) and not of MDPI and/or the editor(s). MDPI and/or the editor(s) disclaim responsibility for any injury to people or property resulting from any ideas, methods, instructions or products referred to in the content. |
© 2025 by the authors. Licensee MDPI, Basel, Switzerland. This article is an open access article distributed under the terms and conditions of the Creative Commons Attribution (CC BY) license (https://creativecommons.org/licenses/by/4.0/).









