A Multivector Direct Model Predictive Control Scheme with Harmonic Suppression for DTP-PMSMs
Abstract
1. Introduction
2. Mathematical Model
2.1. Discrete Model of DTP-PMSM
2.2. Description of Six-Phase 2L-VSI
3. The Proposed Multivector DMPC Scheme with Kalman Filter Observer
3.1. Delay Compensation
3.2. Design of Control Algorithm
3.3. Generation of Switching Positions
3.4. Kalman Filter Observer
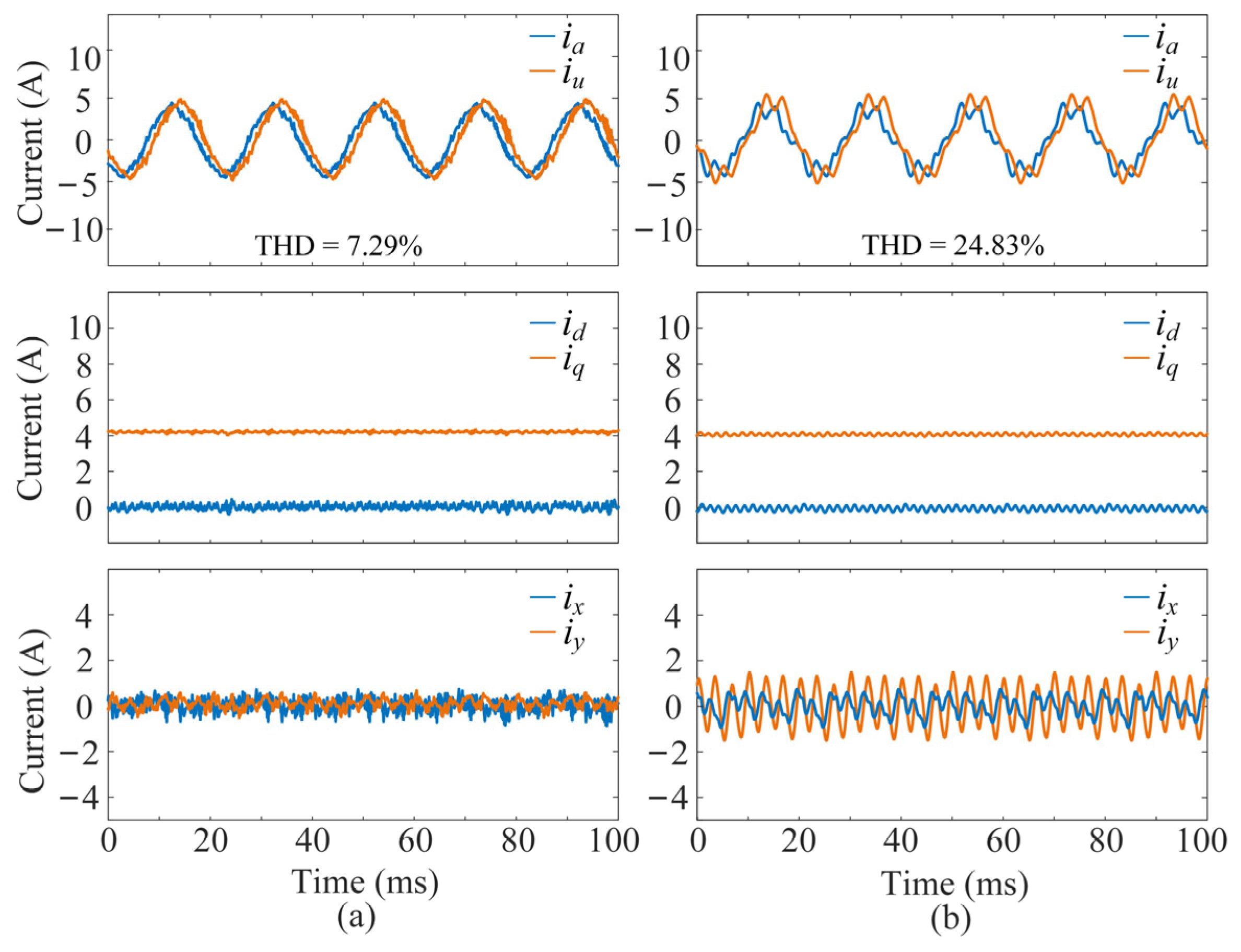
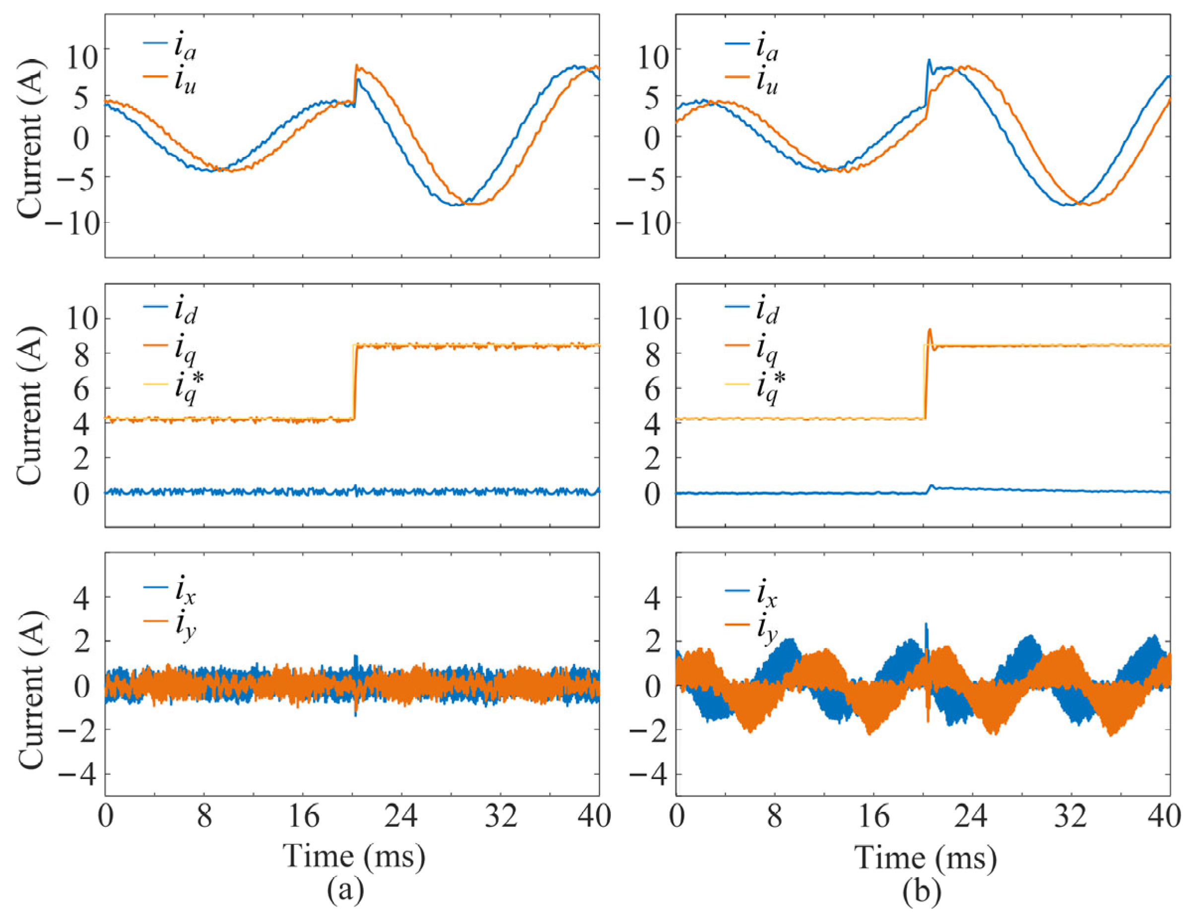
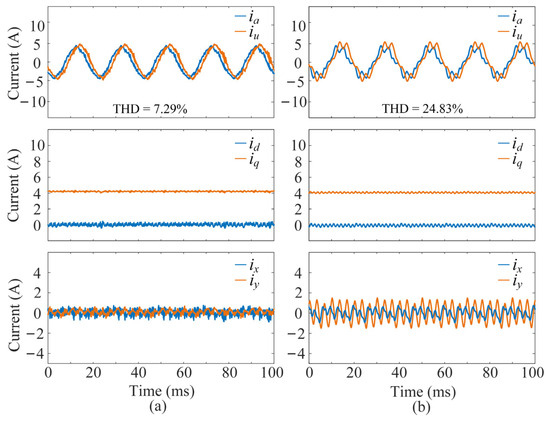
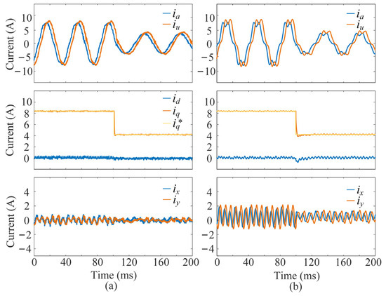
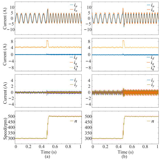
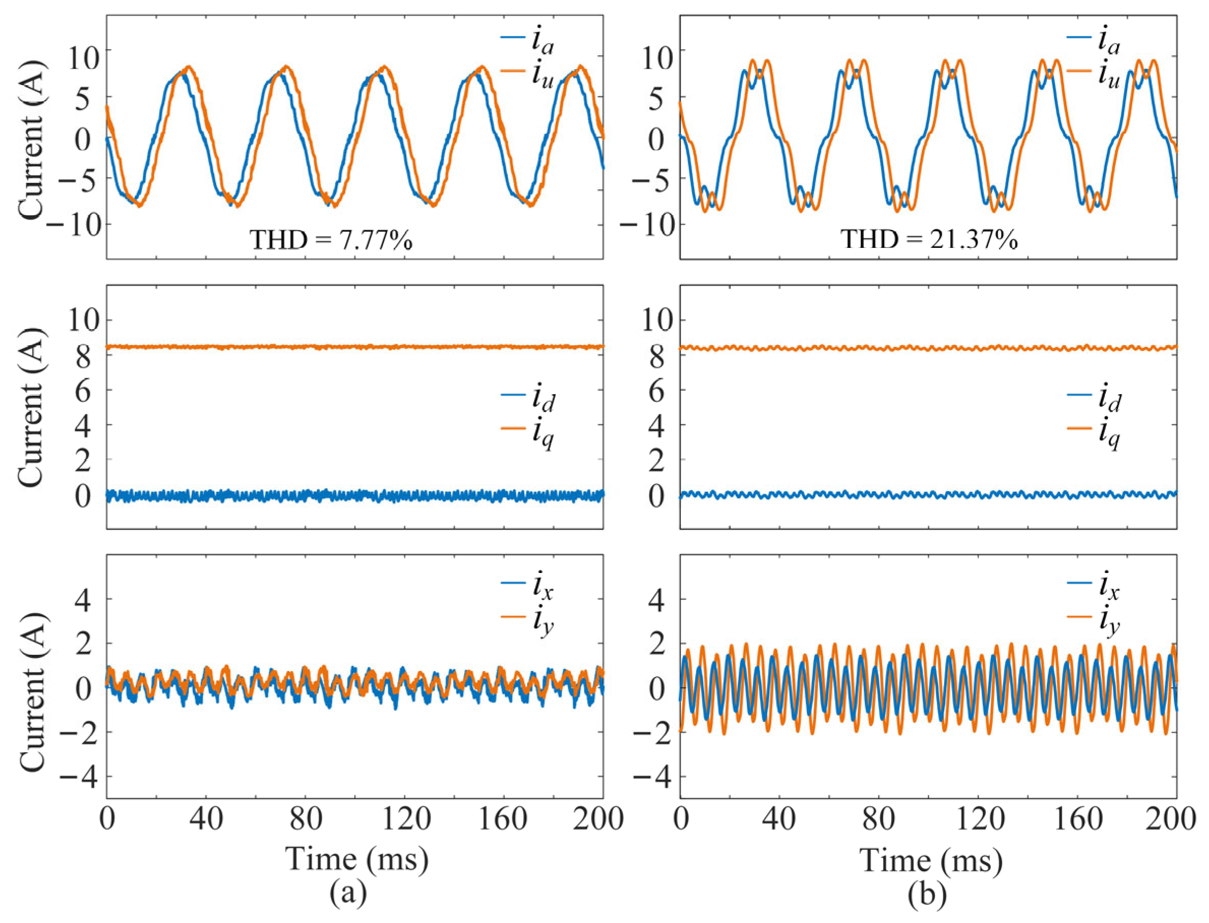
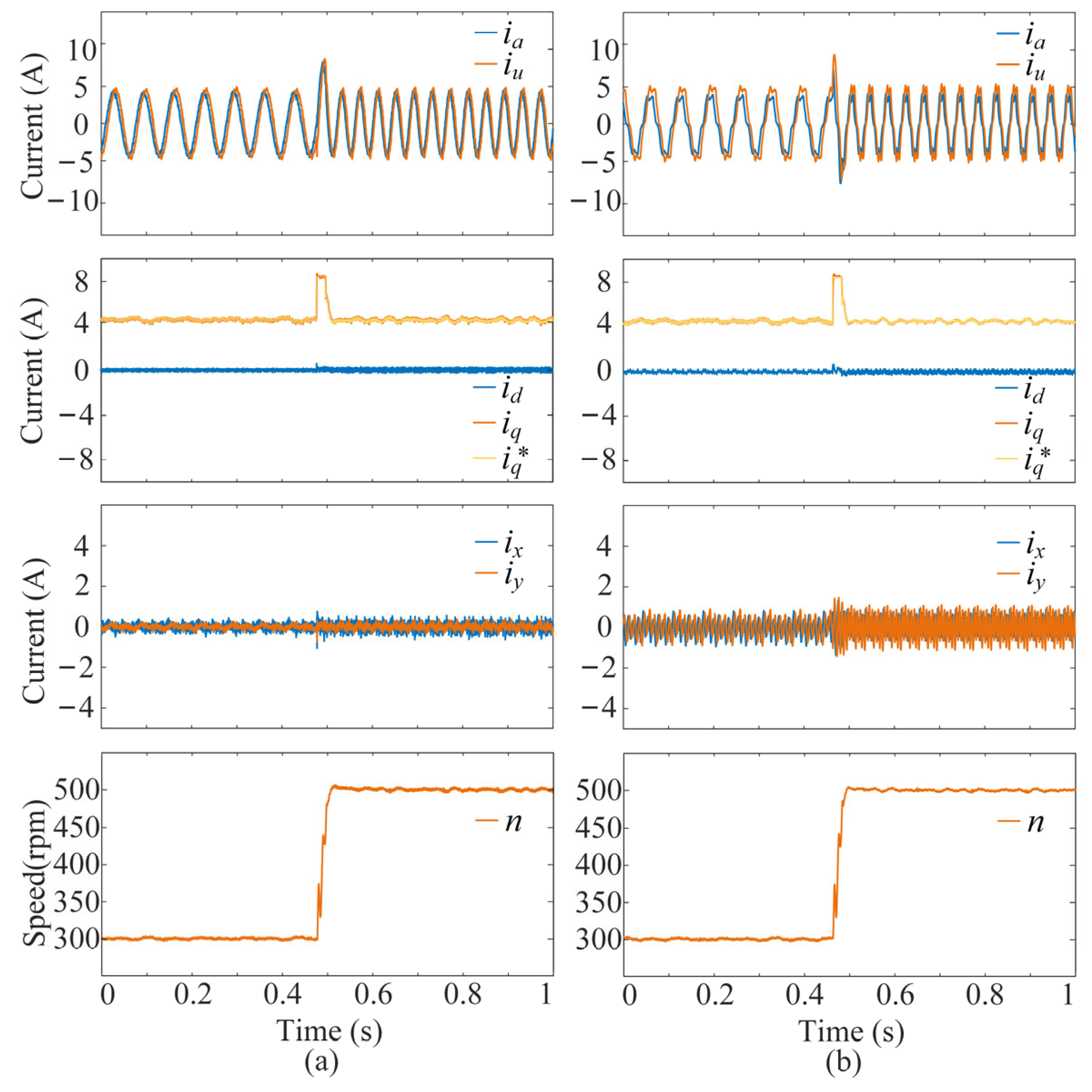
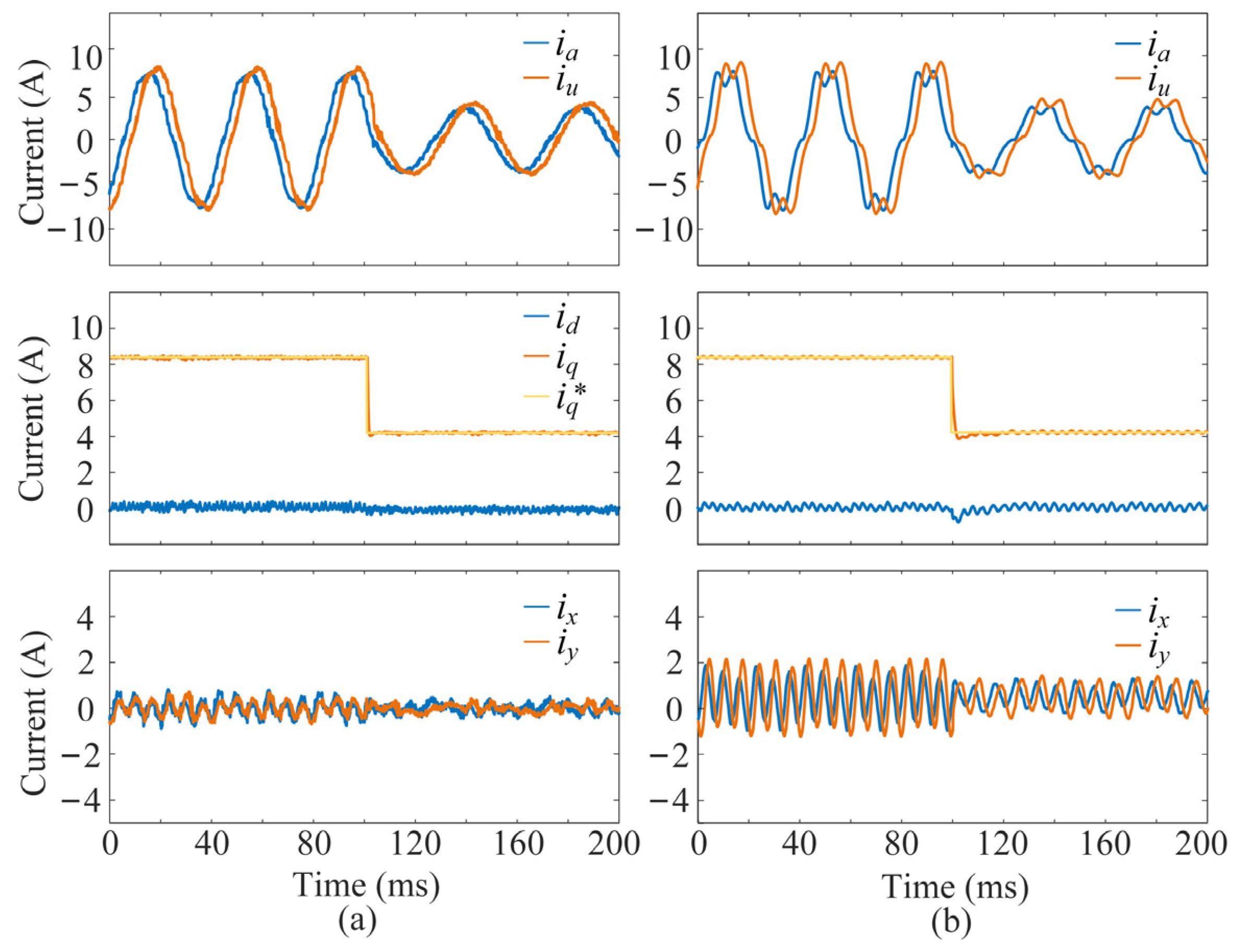
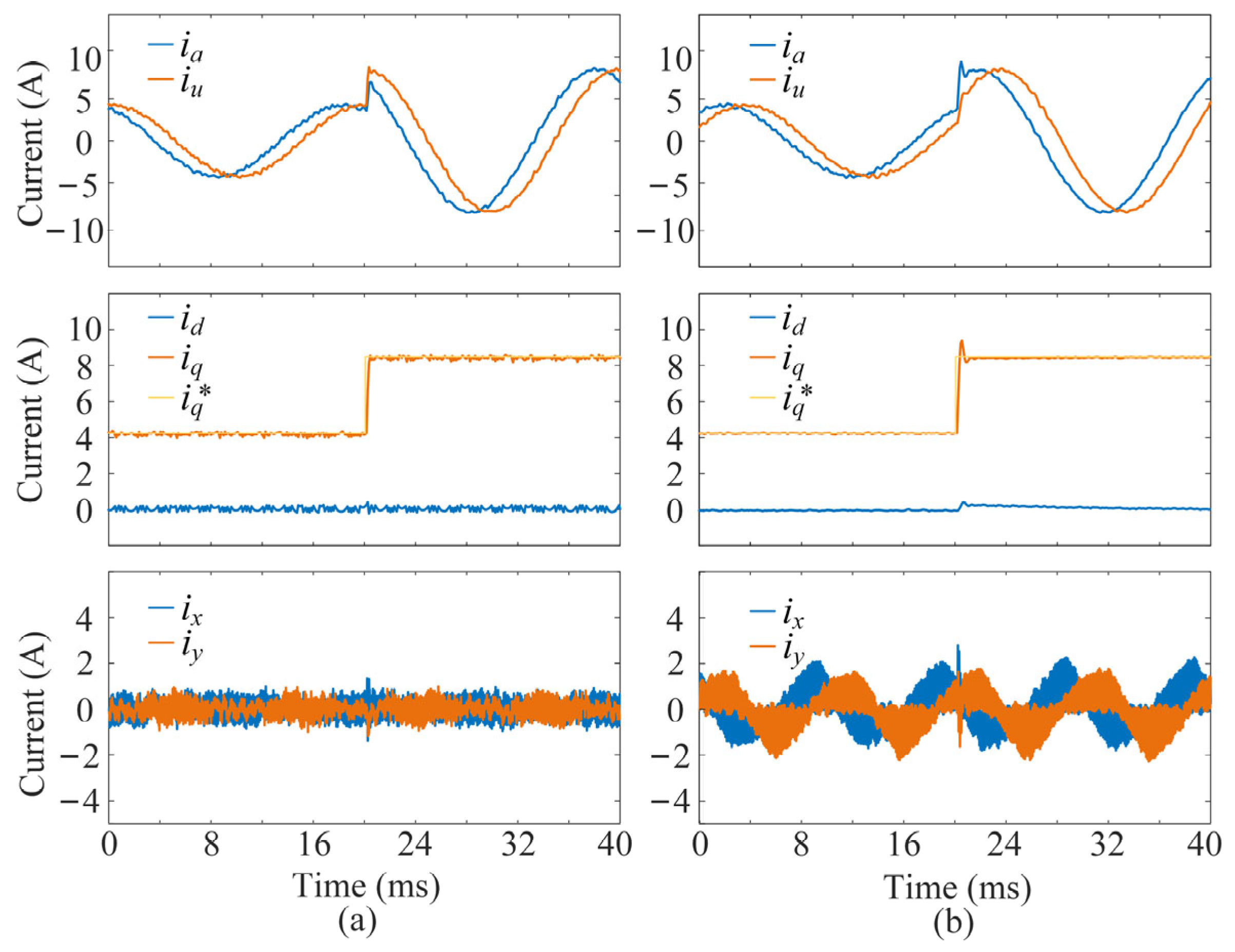
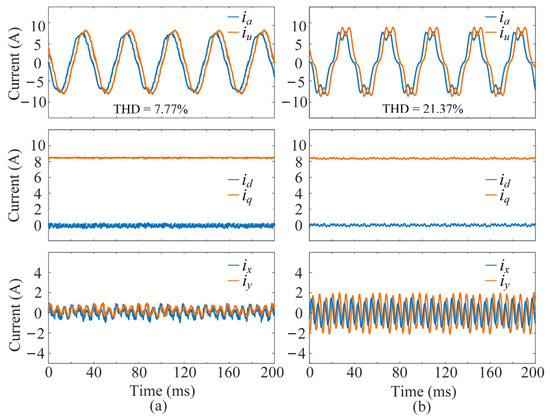
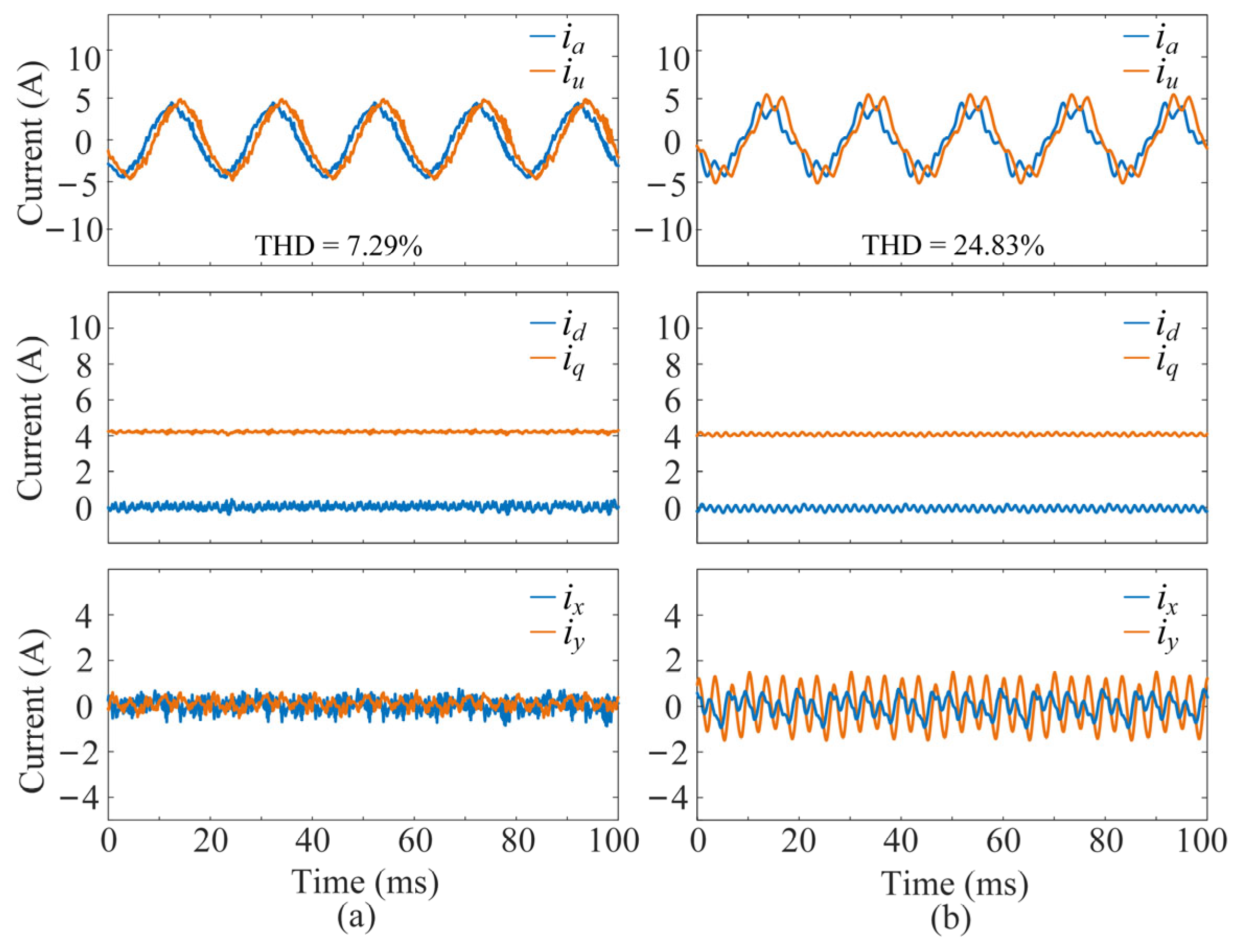
4. Experimental Validation
4.1. Test Bench
4.2. Experimental Results
5. Conclusions
Author Contributions
Funding
Data Availability Statement
Acknowledgments
Conflicts of Interest
References
- Salem, A.; Narimani, M. A Review on Multiphase Drives for Automotive Traction Applications. IEEE Trans. Transp. Electrif. 2019, 5, 1329–1348. [Google Scholar] [CrossRef]
- Liu, A.Z.; Fang, L.; Jiang, D.; Qu, R. A Machine-Learning-Based Fault Diagnosis Method with Adaptive Secondary Sampling for Multiphase Drive Systems. IEEE Trans. Power Electron. 2022, 37, 8767–8772. [Google Scholar] [CrossRef]
- Gu, Y.; Wang, J.; Liang, Z.; Zhang, Z. Mutual-inductance-dynamic-predicted constant current control of LCC-P compensation network for drone wireless in-flight charging. IEEE Trans. Ind. Electron. 2022, 69, 12710–12719. [Google Scholar] [CrossRef]
- Gu, Y.; Wang, J.; Liang, Z.; Zhang, Z. Flexible constant-power range extension of self-oscillating system for wireless in-flight charging of drones. IEEE Trans. Power Electron. 2024, 39, 15342–15355. [Google Scholar] [CrossRef]
- Gu, Y.; Wang, J.; Liang, Z.; Zhang, Z. Communication-free power control algorithm for drone wireless in-flight charging under dual-disturbance of mutual inductance and load. IEEE Trans. Ind. Inform. 2024, 20, 3703–3714. [Google Scholar] [CrossRef]
- Barrero, F.; Duran, M.J. Recent Advances in the Design, Modeling, and Control of Multiphase Machines—Part I. IEEE Trans. Ind. Electron. 2016, 63, 449–458. [Google Scholar] [CrossRef]
- Wang, W.; Liu, C. Modulation Scheme for Five-Phase Electric Machines with Nonlinear Optimization to Improve Voltage Limit Performance. IEEE Trans. Ind. Electron. 2023, 70, 9893–9902. [Google Scholar] [CrossRef]
- Dong, Z.; Liu, Y.; Zhang, B.; Liu, C. Half Open-End Winding Topology Based Nine-Leg VSI for Asymmetrical Six-Phase PMSM Drives. IEEE Trans. Power Electron. 2023, 38, 11399–11410. [Google Scholar] [CrossRef]
- Wang, W.; Liu, C.; Song, Z.; Dong, Z. Harmonic Current Suppression for Dual Three-Phase PMSM Based on Deadbeat Control and Disturbance Observer. IEEE Trans. Ind. Electron. 2023, 70, 3482–3492. [Google Scholar] [CrossRef]
- Vazquez, S.; Rodriguez, J.; Rivera, M.; Franquelo, L.G.; Norambuena, M. Model Predictive Control for Power Converters and Drives: Advances and Trends. IEEE Trans. Ind. Electron. 2017, 64, 935–947. [Google Scholar] [CrossRef]
- Wang, W.; Fan, Y.; Chen, S.; Zhang, Q. Finite control set model predictive current control of a five-phase PMSM with virtual voltage vectors and adaptive control set. CES Trans. Electr. Mach. Syst. 2018, 2, 136–141. [Google Scholar] [CrossRef]
- Davari, S.A.; Khaburi, D.A.; Kennel, R. An Improved FCS–MPC Algorithm for an Induction Motor with an Imposed Optimized Weighting Factor. IEEE Trans. Power Electron. 2012, 27, 1540–1551. [Google Scholar] [CrossRef]
- Zhang, Y.; Yang, H. Model Predictive Torque Control of Induction Motor Drives with Optimal Duty Cycle Control. IEEE Trans. Power Electron. 2014, 29, 6593–6603. [Google Scholar] [CrossRef]
- Zhang, Y.; Yang, H. Generalized Two-Vector-Based Model-Predictive Torque Control of Induction Motor Drives. IEEE Trans. Power Electron. 2015, 30, 3818–3829. [Google Scholar] [CrossRef]
- Kang, S.-W.; Soh, J.-H.; Kim, R.-Y. Symmetrical Three-Vector-Based Model Predictive Control with Deadbeat Solution for IPMSM in Rotating Reference Frame. IEEE Trans. Ind. Electron. 2020, 67, 159–168. [Google Scholar] [CrossRef]
- Gonzalez-Prieto, A.; Martin, C.; González-Prieto, I.; Duran, M.J.; Carrillo-Ríos, J.; Aciego, J.J. Hybrid Multivector FCS–MPC for Six-Phase Electric Drives. IEEE Trans. Power Electron. 2022, 37, 8988–8999. [Google Scholar] [CrossRef]
- Karamanakos, P.; Geyer, T. Guidelines for the Design of Finite Control Set Model Predictive Controllers. IEEE Trans. Power Electron. 2020, 35, 7434–7450. [Google Scholar] [CrossRef]
- Aciego, J.J.; Prieto, I.G.; Duran, M.J. Model Predictive Control of Six-Phase Induction Motor Drives Using Two Virtual Voltage Vectors. IEEE J. Emerg. Sel. Top. Power Electron. 2019, 7, 321–330. [Google Scholar] [CrossRef]
- Aciego, J.J.; Prieto, I.G.; Duran, M.J.; Bermudez, M.; Salas-Biedma, P. Model Predictive Control Based on Dynamic Voltage Vectors for Six-Phase Induction Machines. IEEE J. Emerg. Sel. Top. Power Electron. 2021, 9, 2710–2722. [Google Scholar] [CrossRef]
- Zhang, Z.; Wang, Z.; Wei, X.; Liang, Z.; Kennel, R.; Rodriguez, J. Space-Vector-Optimized Predictive Control for Dual Three-Phase PMSM with Quick Current Response. IEEE Trans. Power Electron. 2022, 37, 4453–4462. [Google Scholar] [CrossRef]
- Li, Z.; Liu, H.A.; Xia, J.; Gao, X.; Rodriguez, J.; Huang, Y.; Liu, Z.; Zhuang, Y.; Zhang, Z. A Novel Virtual Space Vector Modulation-Based Predictive Current Control for Dual Three-Phase Permanent Magnet Synchronous Machine. In Proceedings of the 2025 IEEE International Conference on Predictive Control of Electrical Drives and Power Electronics (PRECEDE), Nanjing, China, 5–8 June 2025; pp. 1–6. [Google Scholar]
- Wu, Y.; Zhang, Z.; Yang, Q.; Tian, W.; Karamanakos, P.; Heldwein, M.L.; Kennel, R. A Direct Model Predictive Control Strategy with an Implicit Modulator for Six-Phase PMSMs. IEEE J. Emerg. Sel. Top. Power Electron. 2023, 11, 1291–1304. [Google Scholar] [CrossRef]
- Yan, L.; Zhang, X.; Yang, J.; Yang, G.; Deng, R. Synthetic Vectors-Based Predictive Control of Dual Three-Phase PMSMs for Current Harmonics Mitigation Considering Average Deception Effect. IEEE J. Emerg. Sel. Top. Power Electron. 2024, 12, 3103–3114. [Google Scholar] [CrossRef]












| Voltage Vector | αβ Plane | xy Plane |
|---|---|---|
| large vector | ||
| medium vector | ||
| basic vector | ||
| small vector |
| Sector | Atan2 (uα, uβ) | u1 | u2 | u3 | u4 |
|---|---|---|---|---|---|
| I | 75 | 45 | 44 | 04 | |
| II | 40 | 44 | 64 | 67 | |
| III | 04 | 64 | 66 | 76 | |
| IV | 67 | 66 | 26 | 20 | |
| V | 76 | 26 | 22 | 02 | |
| VI | 20 | 22 | 32 | 73 | |
| VII | 02 | 32 | 33 | 73 | |
| VIII | 37 | 33 | 13 | 10 | |
| IX | 73 | 13 | 11 | 01 | |
| X | 10 | 11 | 51 | 57 | |
| XI | 01 | 51 | 55 | 75 | |
| XII | 57 | 55 | 45 | 40 |
| Sector | Switching Sequence |
|---|---|
| I | 00-04-44-45-75-77-75-45-44-04-00 |
| II | 00-40-44-64-67-77-67-64-44-40-00 |
| III | 00-04-64-66-67-77-67-66-64-04-00 |
| IV | 00-20-26-66-67-77-67-66-26-20-00 |
| V | 00-02-22-26-76-77-76-26-22-02-00 |
| VI | 00-20-22-32-37-77-37-32-22-20-00 |
| VII | 00-02-32-33-73-77-73-33-32-02-00 |
| VIII | 00-10-13-33-37-77-37-33-13-10-00 |
| IX | 00-01-11-13-73-77-73-13-11-01-00 |
| X | 00-10-11-51-57-77-57-51-11-10-00 |
| XI | 00-01-51-55-75-77-75-55-51-01-00 |
| XII | 00-40-44-45-57-77-57-45-44-40-00 |
| Parameter | Value |
|---|---|
| Stator resistance | 0.93 Ω |
| Leakage inductance | 0.6 mH |
| Inductance of d-axis | 6 mH |
| Inductance of q-axis | 6 mH |
| Permanent magnet flux | 0.32 wb |
| Rotational inertia | 0.0023 kg∙m2 |
| Number of pole pairs | 3 |
| Rated power | 2 kW |
| Rated speed | 1000 rpm |
| DC bus voltage | 400 V |
| Sampling frequency | 10 kHz |
| Operating Conditions | Control Scheme | THD |
|---|---|---|
| n = 500 rpm iq = 8.4 A | The proposed multivector DMPC scheme | 7.77% |
| The FCS-MPC based on DVVs | 21.73% | |
| n = 1000 rpm iq = 4.2 A | The proposed multivector DMPC scheme | 7.29% |
| The FCS-MPC based on DVVs | 24.83% |
Disclaimer/Publisher’s Note: The statements, opinions and data contained in all publications are solely those of the individual author(s) and contributor(s) and not of MDPI and/or the editor(s). MDPI and/or the editor(s) disclaim responsibility for any injury to people or property resulting from any ideas, methods, instructions or products referred to in the content. |
© 2025 by the authors. Licensee MDPI, Basel, Switzerland. This article is an open access article distributed under the terms and conditions of the Creative Commons Attribution (CC BY) license (https://creativecommons.org/licenses/by/4.0/).
Share and Cite
Qi, B.; Yang, R.; Lu, Y.; Zhang, Z.; Liang, B.; Deng, B.; Liu, J.; Yu, L.; Wu, H. A Multivector Direct Model Predictive Control Scheme with Harmonic Suppression for DTP-PMSMs. Electronics 2025, 14, 3970. https://doi.org/10.3390/electronics14193970
Qi B, Yang R, Lu Y, Zhang Z, Liang B, Deng B, Liu J, Yu L, Wu H. A Multivector Direct Model Predictive Control Scheme with Harmonic Suppression for DTP-PMSMs. Electronics. 2025; 14(19):3970. https://doi.org/10.3390/electronics14193970
Chicago/Turabian StyleQi, Baoyun, Rui Yang, Yu Lu, Zhen Zhang, Bingchen Liang, Bin Deng, Jiancheng Liu, Liwei Yu, and Hongyun Wu. 2025. "A Multivector Direct Model Predictive Control Scheme with Harmonic Suppression for DTP-PMSMs" Electronics 14, no. 19: 3970. https://doi.org/10.3390/electronics14193970
APA StyleQi, B., Yang, R., Lu, Y., Zhang, Z., Liang, B., Deng, B., Liu, J., Yu, L., & Wu, H. (2025). A Multivector Direct Model Predictive Control Scheme with Harmonic Suppression for DTP-PMSMs. Electronics, 14(19), 3970. https://doi.org/10.3390/electronics14193970

