Transfer Learning-Enhanced N-BEATSx for Multivariate Forecasting of Tight Gas Well Production
Abstract
1. Introduction
2. Related Works
- It presents the first application of the N-BEATSx framework with transfer learning for multivariate forecasting of tight gas wells.
- By incorporating operational covariates such as casing pressure, the model captures reservoir–operation interactions that univariate methods cannot represent.
- The model is evaluated in a zero-shot setting on wells from the Sulige Gas Field, demonstrating strong predictive accuracy across short-, medium-, and long-term horizons, with substantial improvements over the univariate N-BEATS transfer model.
3. Study Area and Dataset Preparation
3.1. Overview of the Study Area
3.2. Data Description
3.3. Data Preprocessing
3.3.1. Missing Value Handling
- 1.
- Short-term gaps (≤3 consecutive days):
- Filled using linear interpolation to preserve time-series continuity and minimize distortions that could adversely affect model training.
- 2.
- Long-term gaps (>3 consecutive days):
- Imputed using the average production from comparable production stages of the same well, thereby ensuring consistency with reservoir dynamics and restoring data completeness.
- 3.
- High missing rates:
- Wells with ≥10% missing production data were excluded from analysis to maintain dataset reliability.
3.3.2. Outlier Detection and Treatment
4. Methodology
4.1. Problem Formulation
4.2. N-BEATS Architecture Overview
4.3. N-BEATSx: Multivariate Extension
4.4. Transfer Learning Strategy
4.5. Evaluation Metrics
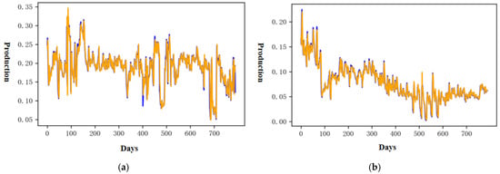
5. Results and Discussion
5.1. Pretraining of the N-BEATSx Model
5.2. Comparative Analysis
6. Conclusions
- The study introduces, for the first time in petroleum engineering, a transfer learning enhanced N-BEATSx model that integrates operational covariates with production data, enabling robust multivariate forecasting in data-scarce unconventional reservoirs.
- Comparative experiments on Wells A1 and A2 demonstrate that the N-BEATSx transfer model consistently outperforms the univariate N-BEATS transfer model, achieving RMSE reductions of 23.9%, 39.1%, and 33.1% for short-, medium-, and long-term forecasts of Well A1, respectively.
- The improved forecasting accuracy across multiple horizons provides practical value for field development planning, resource allocation, and operational optimization. In particular, enhanced medium- and long-term predictions can support decisions on infill drilling, stimulation design, and investment strategies.
- Future work should expand empirical validation to multiple fields with diverse geological and operational characteristics, incorporate additional covariates when casing pressure is unavailable, and explore hybrid frameworks that combine domain knowledge, physics-informed priors, and explainable AI techniques to further improve generalizability and interpretability.
Author Contributions
Funding
Data Availability Statement
Conflicts of Interest
Appendix A




References
- Holditch, S.A. Tight Gas Sands. J. Pet. Technol. 2006, 58, 86–93. [Google Scholar] [CrossRef]
- He, D.; Jia, C.; Wei, Y.; Guo, J.L.; Ji, G.; Li, Y.L. Current Situation and Development Trend of World Natural Gas Industry. Nat. Gas Ind. 2022, 42, 1–12. [Google Scholar]
- Jia, A.; Wei, Y.; Guo, Z.; Wang, G.; Meng, D.; Huang, S. Development Status and Prospect of Tight Sandstone Gas in China. Nat. Gas Ind. B 2022, 9, 467–476. [Google Scholar] [CrossRef]
- BP. bp Energy Outlook; BP: London, UK, 2024. [Google Scholar]
- Li, G.; Lei, Z.; Dong, W.; Wang, H.; Zheng, X.; Tan, J. Progress, challenges and prospects of unconventional oil and gas development of CNPC. China Pet. Explor. 2022, 27, 1–11. [Google Scholar]
- Jiao, F. Rerecognition of “unconventional” in unconventional oil and gas. Pet. Explor. Dev. 2019, 46, 803–810. [Google Scholar] [CrossRef]
- Wang, Q.; Chen, X.; Jha, A.N.; Rogers, H. Natural gas from shale formation-The evolution, evidences and challenges of shale gas revolution in United States. Renew. Sustain. Energy Rev. 2014, 30, 1–28. [Google Scholar] [CrossRef]
- Jia, A.; Wang, G.; Li, Y. Natural Gas Development in China: Present Situation and Prospect. Nat. Gas Ind. 2025, 45, 31–42. [Google Scholar]
- Wu, Z.; Jiang, Q.; Zhou, Y.; He, Y.; Sun, Y.; Tian, W.; Zhou, C.; An, W. Key Technologies And Orientation of EGR for the Sulige Tight Sandstone Gas Field in the Ordos Basin. Nat. Gas Ind. 2023, 43, 66–75. [Google Scholar] [CrossRef]
- Cheng, M.; Lei, D.; Zhang, L.; Liu, L.; Zhao, M. Technical Strategy for Beneficial Development of Tight Sand Gas in Sulige Gas Field. Pet. Reserv. Eval. Dev. 2024, 14, 475–483. [Google Scholar]
- Wang, J.; Zhang, C.; Li, J.; Li, Y.; Li, X.; Liu, P.; Lu, J. Tight sandstone gas reservoirs in the Sulige Gas Field: Development understandings and stable-production proposals. Nat. Gas Ind. 2021, 41, 100. [Google Scholar]
- Arps, J.J. Analysis of Decline Curves. Trans. AIME 1945, 160, 228–247. [Google Scholar] [CrossRef]
- Yehia, T.; Abdelhafiz, M.; Hegazy, G.; Elnekhaily, S.; Mahmoud, O. A Comprehensive Review of Deterministic Decline Curve Analysis for Oil and Gas Reservoirs. Geoenergy Sci. Eng. 2023, 226, 211775. [Google Scholar] [CrossRef]
- Gupta, I.; Rai, C.; Sondergeld, C.; Devegowda, D. Variable exponential decline: Modified Arps to characterize unconventional-shale production performance. SPE Reserv. Eval. Eng. 2018, 21, 1045–1057. [Google Scholar] [CrossRef]
- Aziz, K.; Settari, A. Petroleum Reservoir Simulation; Applied Science Publishers: Amsterdam, The Netherlands, 1979. [Google Scholar]
- Wang, L.; Wang, S.; Zhang, R.; Wang, C.; Xiong, Y.; Zheng, X.; Li, S.; Jin, K.; Rui, Z. Review of Multi-Scale and Multi-Physical Simulation Technologies for Shale and Tight Gas Reservoirs. J. Nat. Gas Sci. Eng. 2017, 37, 560–578. [Google Scholar] [CrossRef]
- Huang, R.; Wei, C.; Wang, B.; Yang, J.; Xu, X.; Wu, S.; Huang, S. Well performance prediction based on Long Short-Term Memory (LSTM) neural network. J. Pet. Sci. Eng. 2022, 208 Pt D, 109686. [Google Scholar] [CrossRef]
- Chaikine, I.A.; Gates, I.D. A Machine Learning Model for Predicting Multi-Stage Horizontal Well Production. J. Pet. Sci. Eng. 2021, 198, 108133. [Google Scholar] [CrossRef]
- Schuetter, J.; Mishra, S.; Zhong, M.; Ret, R.L. A Data-Analytics Tutorial: Building Predictive Models for Oil Production in an Unconventional Shale Reservoir. SPE J. 2018, 23, 1075–1089. [Google Scholar] [CrossRef]
- Kumar, I.; Tripathi, B.K.; Singh, A. Attention-Based LSTM Network-Assisted Time Series Forecasting Models for Petroleum Production. Eng. Appl. Artif. Intell. 2023, 123, 106440. [Google Scholar] [CrossRef]
- Ma, X.; Zhang, L.; Zhan, J.; Chang, S. Application of Dual-Stage Attention Temporal Convolutional Networks in Gas Well Production Prediction. Mathematics 2024, 12, 3896. [Google Scholar] [CrossRef]
- Oreshkin, B.N.; Carpov, D.; Chapados, N.; Bengio, Y. N-BEATS: Neural Basis Expansion Analysis for Interpretable Time Series Forecasting. arXiv 2019, arXiv:1905.10437. [Google Scholar] [CrossRef]
- Wang, X.; Li, C.; Yi, C.; Xu, X.; Wang, J.; Zhang, Y. EcoForecast: An interpretable data-driven approach for short-term macroeconomic forecasting using N-BEATS neural network. Eng. Appl. Artif. Intell. 2022, 114, 105072. [Google Scholar] [CrossRef]
- Olivares, K.G.; Challu, C.; Marcjasz, G.; Weron, R.; Dubrawski, A. Neural Basis Expansion Analysis with Exogenous Variables: Forecasting Electricity Prices with NBEATSx. Int. J. Forecast. 2023, 39, 884–900. [Google Scholar] [CrossRef]
- Souto, H.G.; Amir Moradi, A. Introducing NBEATSx to realized volatility forecasting. Expert Syst. Appl. 2024, 242, 122802. [Google Scholar] [CrossRef]
- Pan, S.J.; Yang, Q. A Survey on Transfer Learning. IEEE Trans. Knowl. Data Eng. 2010, 22, 1345–1359. [Google Scholar] [CrossRef]
- Yu, F.; Xiu, X.; Li, Y. A Survey on Deep Transfer Learning and Beyond. Mathematics 2022, 10, 3619. [Google Scholar] [CrossRef]
- Ma, X.; Chang, S.; Zhan, J.; Zhang, L. Advanced Predictive Modeling of Tight Gas Production Leveraging Transfer Learning Techniques. Electronics 2024, 13, 4750. [Google Scholar] [CrossRef]
- Jia, A.; Wang, G.; Meng, D.; Guo, Z.; Ji, G.; Cheng, L. Well Pattern Infilling Strategy to Enhance Oil Recovery of Giant LowPermeability Tight Gasfield: A Case Study of Sulige Gasfield, Ordos Basin. Acta Pet. Sin. 2018, 39, 802–813. [Google Scholar]
- Wei, Q.; Yang, S.; Shi, K.; Wang, G.H.; Chen, A.Q.; Ou, J.G.; Chen, L.Y.; Diao, Y.B.; Zhou, H.L. Second Member of Shanxi Formation Tight Gas Reservoir in Su-14 Well Block of Sulige Gas Field. Mineral. Petrol. 2022, 42, 78–88. [Google Scholar] [CrossRef]
- Shi, J.; Jia, Y.; Wu, J.; Xu, F.; Sun, Z.; Liu, C.; Meng, Y.; Xiong, X.; Liu, C. Dynamic performance prediction of coalbed methane wells under the control of bottom-hole pressure and casing pressure. J. Pet. Sci. Eng. 2021, 196, 107799. [Google Scholar] [CrossRef]
- Che, Z.; Purushotham, S.; Cho, K.; Sontag, D.; Liu, Y. Recurrent Neural Networks for Multivariate Time Series with Missing Values. Sci. Rep. 2018, 8, 6085. [Google Scholar] [CrossRef] [PubMed]
- Qin, R.; Wang, Y. ImputeGAN: Generative Adversarial Network for Multivariate Time Series Imputation. Entropy 2023, 25, 137. [Google Scholar] [CrossRef] [PubMed]
- Lai, X.; Zhang, Z.; Zhang, L.; Lu, W.; Li, Z. Dynamic Graph-Based Bilateral Recurrent Imputation Network for Multivariate Time Series. Neural Netw. 2025, 186, 107298. [Google Scholar] [CrossRef] [PubMed]
- Liu, F.T.; Ting, K.M.; Zhou, Z.-H. Isolation Forest. In Proceedings of the 2008 Eighth IEEE International Conference on Data Mining, Pisa, Italy, 15–19 December 2008; pp. 413–422. [Google Scholar] [CrossRef]
- Sakurada, M.; Yairi, T. Anomaly Detection Using Autoencoders with Nonlinear Dimensionality Reduction. In Proceedings of the MLSDA 2014 2nd Workshop on Machine Learning for Sensory Data Analysis, Gold Coast, QLD, Australia, 2 December 2014; pp. 4–11. [Google Scholar] [CrossRef]
- Saha, S.; Sarkar, J.; Dhavala, S.S.; Mota, P.; Sarkar, S. quantile-Long Short Term Memory: A Robust, Time Series Anomaly Detection Method. IEEE Trans. Artif. Intell. 2024, 5, 3939–3950. [Google Scholar] [CrossRef]








| Variable | Mean | Std. Dev. | Range |
|---|---|---|---|
| Daily gas production (m3/day) | 4616.0 | 1616.8 | [1198.0, 10,320.0] |
| Casing pressure (MPa) | 8.4 | 4.9 | [2.03, 22.8] |
| Aspect | Description | Rationale |
|---|---|---|
| Detection method | Moving median method | Suitable for approximately normal distribution with localized fluctuations; simple and interpretable |
| Threshold factor | 3.0 (typical range: 2.5–3.5) | Balances sensitivity to anomalies with false detection rate |
| Sliding window size | 30 days (alternatives tested: 7, 90 days) | Aligns with monthly operational practices; avoids excessive noise sensitivity (7 days) or missing short-term anomalies (90 days) |
| Treatment approach | Outliers replaced by linear interpolation | Preserves continuity and smooth temporal dynamics |
| Alternative methods considered | Isolation Forests, Autoencoders, LSTM-based anomaly detection | Require extensive tuning, less practical for sparse and heterogeneous petroleum data |
| Well Name | Production Time (Days) | Short-Term Prediction (Days) | Medium-Term Prediction (Days) | Long-Term Prediction (Days) |
|---|---|---|---|---|
| A1 | 2000 | 200 | 400 | 600 |
| A2 | 1870 | 187 | 347 | 561 |
| Parameter | Values |
|---|---|
| Number of stacks | 20 |
| Number of blocks | 3 |
| Number of layers in a block | 4 |
| Layer width | 64 |
| Learning rate | 0.001 |
| Optimizer | Adam |
| Loss function | sMAPE |
| Activation function | ReLU |
| Model | RMSE | MAPE (%) | R2 |
|---|---|---|---|
| Training | 111 | 7.2 | 0.97 |
| Testing | 157 | 8.1 | 0.78 |
| Well | Model | RMSE | MAE | MAPE (%) | R2 |
|---|---|---|---|---|---|
| A1 | N-BEATSx-L | 115 | 93 | 4.5 | 0.94 |
| N-BEATSx-M | 126 | 102 | 4.7 | 0.94 | |
| N-BEATSx-S | 163 | 123 | 5.8 | 0.89 | |
| N-BEATS-L | 172 | 106 | 5.9 | 0.92 | |
| N-BEATS-M | 207 | 137 | 6.1 | 0.91 | |
| N-BEATS-S | 214 | 142 | 7.1 | 0.86 | |
| A2 | N-BEATSx-L | 141 | 115 | 5.2 | 0.91 |
| N-BEATSx-M | 152 | 120 | 5.5 | 0.90 | |
| N-BEATSx-S | 209 | 151 | 7.1 | 0.85 | |
| N-BEATS-L | 225 | 120 | 6.5 | 0.89 | |
| N-BEATS-M | 238 | 132 | 6.9 | 0.88 | |
| N-BEATS-S | 257 | 173 | 8.2 | 0.81 |
Disclaimer/Publisher’s Note: The statements, opinions and data contained in all publications are solely those of the individual author(s) and contributor(s) and not of MDPI and/or the editor(s). MDPI and/or the editor(s) disclaim responsibility for any injury to people or property resulting from any ideas, methods, instructions or products referred to in the content. |
© 2025 by the authors. Licensee MDPI, Basel, Switzerland. This article is an open access article distributed under the terms and conditions of the Creative Commons Attribution (CC BY) license (https://creativecommons.org/licenses/by/4.0/).
Share and Cite
Shangguan, Y.; Jia, J.; Xiong, W.; Wang, J.; Ma, X.; Chang, S.; Zhang, Z. Transfer Learning-Enhanced N-BEATSx for Multivariate Forecasting of Tight Gas Well Production. Electronics 2025, 14, 3875. https://doi.org/10.3390/electronics14193875
Shangguan Y, Jia J, Xiong W, Wang J, Ma X, Chang S, Zhang Z. Transfer Learning-Enhanced N-BEATSx for Multivariate Forecasting of Tight Gas Well Production. Electronics. 2025; 14(19):3875. https://doi.org/10.3390/electronics14193875
Chicago/Turabian StyleShangguan, Yangnan, Junhong Jia, Weiliang Xiong, Jinghua Wang, Xianlin Ma, Shilong Chang, and Zhenzihao Zhang. 2025. "Transfer Learning-Enhanced N-BEATSx for Multivariate Forecasting of Tight Gas Well Production" Electronics 14, no. 19: 3875. https://doi.org/10.3390/electronics14193875
APA StyleShangguan, Y., Jia, J., Xiong, W., Wang, J., Ma, X., Chang, S., & Zhang, Z. (2025). Transfer Learning-Enhanced N-BEATSx for Multivariate Forecasting of Tight Gas Well Production. Electronics, 14(19), 3875. https://doi.org/10.3390/electronics14193875
