HiSatFL: A Hierarchical Federated Learning Framework for Satellite Networks with Cross-Domain Privacy Adaptation
Abstract
1. Introduction
1.1. Background
1.2. Motivation and Contributions
2. Related Work
2.1. Federated Learning
2.2. Domain Adaptation and Transfer Learning
2.3. Privacy-Preserving Machine Learning
2.4. Intelligent Satellite Networks
- (1)
- In architectural design, HiSatFL proposes an orbit-aware three-tier hierarchical federated architecture (LEO-MEO-GEO), elevating satellites from the role of communication relays to active learning participants, achieving deep integration of physical network topology with logical learning structures;
- (2)
- In technical content, HiSatFL not only addresses communication efficiency but more importantly, systematically solves for the first time the unified optimization of multi-dimensional domain adaptation (spatial, temporal, technical, and mission domains), dynamic topology adaptation, and privacy preservation with domain adaptation in satellite networks;
- (3)
- In theoretical contributions, HiSatFL establishes federated learning convergence theory on time-varying graphs and provides differential privacy guarantees with dynamic budget allocation, while SatFed mainly focuses on communication optimization analysis.
3. Cross-Domain Adaptive Privacy-Preserving Federated Learning
3.1. Hierarchical Satellite Federated Learning Architecture
- -
- Orbital velocity: 7.8 km/s, resulting in rapid ground track changes;
- -
- Doppler shift: ±4.2 kHz, affecting the stability of the communication link;
- -
- Orbital decay: Atmospheric drag causes an average annual decrease in altitude of about 1–2 km;
- -
- Visible duration: 8–12 min for a single transit.
- -
- Orbital velocity: 3.9 km/s, providing more stable regional coverage;
- -
- Orbital period: 6 h, suitable for regional data aggregation cycle;
- -
- Radiation environment: Due to the influence of the Van Allen radiation belt, equipment reliability needs to be considered.
- -
- Orbital velocity: 3.07 km/s, synchronous with the Earth’s rotation;
- -
- Fixed coverage: Continuously covering 1/3 of the Earth’s surface;
- -
- Propagation delay: 280 milliseconds one-way delay, affecting real-time requirements.
3.2. Multi-Level Domain Adaptation Mechanism
3.2.1. Hierarchical Domain Identification
3.2.2. Progressive Domain Adaptation
3.2.3. Multi-Source Domain Fusion
3.2.4. Sensor-Aware Domain Adaptation Strategies
3.3. Meta-Learning Driven Fast Adaptation
3.3.1. Orbit-Period-Aware Meta-Learning
| Algorithm 1. Orbital phase-based task sampling strategy |
| Input: Target orbital phase , orbital period phase sampling variance , orbital weighting function , candidate task set , orbital phase corresponding to each task , number of tasks to sample N |
| Output: Sampled task set |
|
1: Initialize sampled task set 2: Compute normalization constant: 3: for i = 1 to N do: 4: Compute sampling probability for task : 5: end for 6: Construct cumulative probability distribution: 7: for k = 1 to K do: 8: Generate random number 9: Use binary search to find index idx in such that 10: Add task to 11: end for 12: return |
3.3.2. Few-Shot Domain Adaptation
3.3.3. Online Domain Adaptation
3.4. Privacy-Preserving Federated Learning
3.4.1. Hierarchical Aggregation Mechanism
3.4.2. Privacy-Aware Domain Adaptation
3.4.3. Orbit-Period-Aware Federated Optimization
- Loss function satisfies -strong convexity and -smoothness;
- Local gradients are bounded: ;
- Data heterogeneity is bounded: .
- -
- Clear-sky conditions: , latency increase factor ~1.0001.
- -
- Adverse weather: , latency increase factor ~1.01.
- -
- Obstructed scenarios: , latency increase factor ~1.11.
- -
- Ku-band (14 GHz): Maximum shift ~±364 kHz.
- -
- For 100 MHz bandwidth: Relative shift ~0.36%.
- -
- BER increase ~5–15%, leading to higher retransmission probability.
- -
- Single-pass duration: ~5–10 min.
- -
- High-elevation effective time: ~2–4 min.
- -
- Aggregation completion probability: >95% of transmissions must finish within the window.
| Algorithm 2. Hierarchical Satellite Federated Learning Main Algorithm (HiSatFL) |
| Input: Satellite network , Multi-domain dataset , Orbital parameters , Privacy budget , failure probability , System parameters (learning rate), (local epochs), (global rounds) |
| Output: Global model |
|
1: // ========== System Initialization Phase ========== 2: Initialize global model 3: Initialize meta-learning parameters 4: Construct orbital predictor 5: Initialize privacy accountant 6: for to T do: 7: // ========== Orbital-Aware Scheduling Phase ========== 8: 9: 10: 11: // ========== Dynamic Privacy Budget Allocation ========== 12: for each do: 13: 14: 15: end for 16: 17: // ========== LEO Layer Local Training and Domain Adaptation ========== 18: for each in parallel do: 19: 20: 21: // Domain drift detection 22: 23: 24: if then: 25: // Orbital-aware meta-learning adaptation 26: 27: 28: else: 29: 30: end if 31: 32: // Local training with privacy protection 33: for to do: 34: 35: 36: 37: 38: end for 39: 40: // Update privacy accountant 41: 42: end for 43: // == MEO Layer Regional Aggregation and Cross-Domain Fusion == 44: for each do: 45: 46: 47: // Multi-source domain fusion 48: 49: 50: 51: // Regional aggregation with privacy protection 52: 53: 54: // Progressive domain adaptation 55: 56: end for 57: // ========== GEO Layer Global Coordination and Knowledge Distillation ========== 58: 59: 60: // Privacy-preserving knowledge distillation 61: 62: 63: // ========== Meta-Learning Parameter Update ========== 64: 65: 66: // ========== Convergence Check and Privacy Verification ========== 67: if then: 68: break 69: end if 70: 71: 72: end for 73: output |
4. Experimental Results and Evaluation
4.1. Experimental Setup
4.1.1. Experimental Environment
- (1)
- Earth’s gravitational field: Utilizing the WGS84 Earth gravity model, incorporating the effects of J2–J6 order harmonic terms, it is specifically represented as follows:
- (2)
- Atmospheric drag: LEO satellites are affected by residual atmospheric drag at an altitude of 550 km, which is specifically expressed as follows:
- (3)
- Solar radiation pressure: It affects the long-term evolution of satellite orbits, and is specifically expressed as follows:
- (4)
- Third-body gravity of the Moon and the Sun: These physical effects have a significant impact on MEO and GEO satellites. They directly affect the visibility window, communication link quality, and data acquisition geometry of the satellites, thereby influencing the data distribution and communication scheduling of federated learning.
4.1.2. Datasets
4.1.3. Evaluation Metrics
4.2. Experimental Results and Analysis
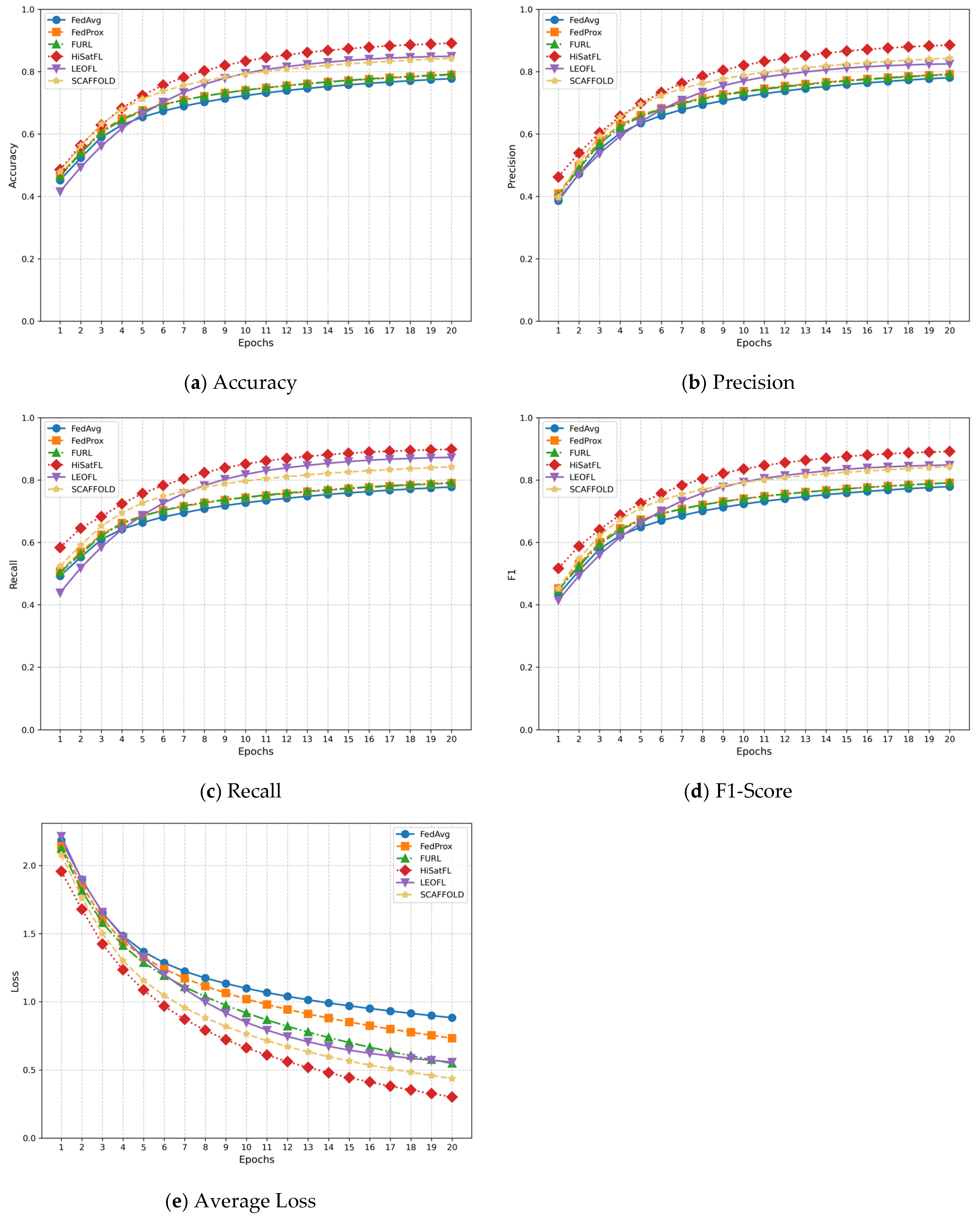
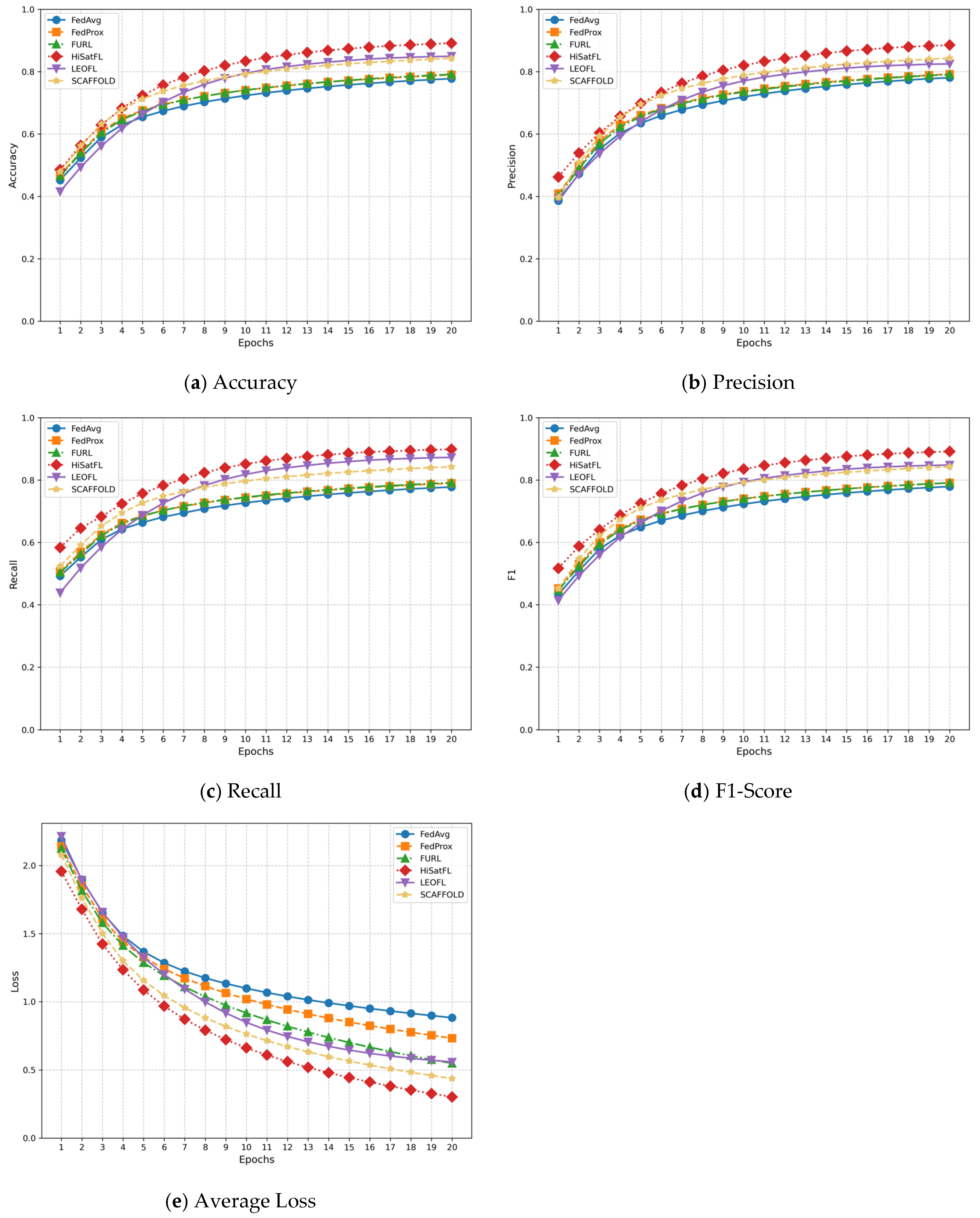
4.2.1. Baseline Performance Comparison
4.2.2. Cross-Domain Adaptability Verification
4.2.3. Privacy Protection Effectiveness Verification
4.2.4. Ablation Experiment
5. Conclusions
Author Contributions
Funding
Data Availability Statement
Conflicts of Interest
References
- Bryce Space and Technology. Start-Up Space: Update on Investment in Commercial Space Ventures; Technical Report; Bryce Space and Technology: Alexandria, VA, USA, 2024. [Google Scholar]
- Henry, C. SpaceX’s Starlink Surpasses 5000 Satellites in Orbit. SpaceNews, 26 December 2023. Available online: https://www.space.com/spacex-starlink-launch-group-6-11 (accessed on 11 August 2025).
- Wu, J.; Gan, W.; Chao, H.C.; Yu, P.S. Geospatial big data: Survey and challenges. IEEE J. Sel. Top. Appl. Earth Obs. Remote Sens. 2024, 17, 17007–17020. [Google Scholar] [CrossRef]
- Ghasemi, N.; Justo, J.A.; Celesti, M.; Despoisse, L.; Nieke, J. Onboard Processing of Hyperspectral Imagery: Deep Learning Advancements, Methodologies, Challenges, and Emerging Trends. IEEE J. Sel. Top. Appl. Earth Obs. Remote Sens. 2025, 18, 4780–4790. [Google Scholar] [CrossRef]
- Huang, W.; Ye, M.; Shi, Z.; Wan, G.; Li, H.; Du, B.; Yang, Q. Federated learning for generalization, robustness, fairness: A survey and benchmark. IEEE Trans. Pattern Anal. Mach. Intell. 2024, 46, 9387–9406. [Google Scholar] [CrossRef]
- Meng, Y.; Yuan, Z.; Yang, J.; Liu, P.; Yan, J.; Zhu, H.; Ma, Z.; Jiang, Z.; Zhang, Z.; Mi, X. Cross-domain land cover classification of remote sensing images based on full-level domain adaptation. IEEE J. Sel. Top. Appl. Earth Obs. Remote Sens. 2024, 17, 11434–11450. [Google Scholar] [CrossRef]
- Li, Z.; Chen, B.; Wu, S.; Su, M.; Chen, J.M.; Xu, B. Deep learning for urban land use category classification: A review and experimental assessment. Remote Sens. Environ. 2024, 311, 114290. [Google Scholar] [CrossRef]
- Li, Z.; He, W.; Li, J.; Lu, F.; Zhang, H. Learning without exact guidance: Updating large-scale high-resolution land cover maps from low-resolution historical labels. In Proceedings of the IEEE/CVF Conference on Computer Vision and Pattern Recognition, Seattle, WA, USA, 16–22 June 2024; pp. 27717–27727. [Google Scholar]
- Ruiz, C.; Alaiz, C.M.; Dorronsoro, J.R. A survey on kernel-based multi-task learning. Neurocomputing 2024, 577, 127255. [Google Scholar] [CrossRef]
- Jia, N.; Qu, Z.; Ye, B.; Wang, Y.; Hu, S.; Guo, S. A Comprehensive Survey on Communication-Efficient Federated Learning in Mobile Edge Environments. IEEE Commun. Surv. Tutor. 2025. [Google Scholar] [CrossRef]
- Koursioumpas, N.; Magoula, L.; Petropouleas, N.; Thanopoulos, A.; Panagea, T.; Alonistioti, N.; Gutierrez-Estevez, M.A.; Khalili, R. A safe deep reinforcement learning approach for energy efficient federated learning in wireless communication networks. IEEE Trans. Green Commun. Netw. 2024, 8, 1862–1874. [Google Scholar] [CrossRef]
- Hallaji, E.; Razavi-Far, R.; Saif, M.; Wang, B.; Yang, Q. Decentralized federated learning: A survey on security and privacy. IEEE Trans. Big Data 2024, 10, 194–213. [Google Scholar] [CrossRef]
- Li, Z.; Wu, Y.; Chen, Y.; Tonin, F.; Rocamora, E.A.; Cevher, V. Membership inference attacks against large vision-language models. Adv. Neural Inf. Process. Syst. 2024, 37, 98645–98674. [Google Scholar]
- Yang, W.; Wang, S.; Wu, D.; Cai, T.; Zhu, Y.; Wei, S.; Zhang, Y.; Yang, X.; Tang, Z.; Li, Y. Deep learning model inversion attacks and defenses: A comprehensive survey. Artif. Intell. Rev. 2025, 58, 242. [Google Scholar] [CrossRef]
- Gecer, M.; Garbinato, B. Federated learning for mobility applications. ACM Comput. Surv. 2024, 56, 1–28. [Google Scholar] [CrossRef]
- Ren, X.; Yang, S.; Zhao, C.; McCann, J.; Xu, Z. Belt and braces: When federated learning meets differential privacy. Commun. ACM 2024, 67, 66–77. [Google Scholar] [CrossRef]
- Gad, G.; Gad, E.; Fadlullah, Z.M.; Fouda, M.M.; Kato, N. Communication-efficient and privacy-preserving federated learning via joint knowledge distillation and differential privacy in bandwidth-constrained networks. IEEE Trans. Veh. Technol. 2024, 73, 17586–17601. [Google Scholar] [CrossRef]
- Patel, K.K.; Glasgow, M.; Zindari, A.; Wang, L.; Stich, S.U.; Cheng, Z.; Joshi, N.A.; Srebro, N. The limits and potentials of local sgd for distributed heterogeneous learning with intermittent communication. In Proceedings of the The Thirty Seventh Annual Conference on Learning Theory, PMLR, Edmonton, AB, Canada, 30 June–3 July 2024; pp. 4115–4157. [Google Scholar]
- Zhao, R.; Yang, X.; Zhi, P.; Zhou, R.; Zhou, Q.; Jin, Q. Adaptive Weighting via Federated Evaluation Mechanism for Domain Adaptation with Edge Devices. ACM Trans. Sens. Netw. 2025. [Google Scholar] [CrossRef]
- Qi, T.; Wang, H.; Huang, Y. Towards the robustness of differentially private federated learning. Proc. AAAI Conf. Artif. Intell. 2024, 38, 19911–19919. [Google Scholar] [CrossRef]
- Kayusi, F.; Chavula, P.; Juma, L.; Mishra, R. Machine Learning-Based and AI Powered Satellite Imagery Processing for Global Air Traffic Surveillance Systems. LatIA 2025, 3, 82. [Google Scholar] [CrossRef]
- Yazdinejad, A.; Dehghantanha, A.; Srivastava, G.; Karimipour, H.; Parizi, R.M. Hybrid privacy preserving federated learning against irregular users in next-generation Internet of Things. J. Syst. Archit. 2024, 148, 103088. [Google Scholar] [CrossRef]
- Fang, W.; Han, D.J.; Brinton, C.G. Federated Learning Over Hierarchical Wireless Networks: Training Latency Minimization via Submodel Partitioning. IEEE Trans. Netw. 2025. [Google Scholar] [CrossRef]
- McMahan, B.; Moore, E.; Ramage, D.; Hampson, S.; Arcas, B.A. Communication-efficient learning of deep networks from decentralized data. In Proceedings of the Artificial Intelligence and Statistics, PMLR, Lauderdale, FL, USA, 20–22 April 2017; pp. 1273–1282. [Google Scholar]
- Li, T.; Sahu, A.K.; Zaheer, M.; Sanjabi, M.; Talwalkar, A.; Smith, V. Federated optimization in heterogeneous networks. Proc. Mach. Learn. Syst. 2020, 2, 429–450. [Google Scholar]
- Karimireddy, S.P.; Kale, S.; Mohri, M.; Reddi, S.; Stich, S.; Suresh, A.T. Scaffold: Stochastic controlled averaging for federated learning. In Proceedings of the International Conference on Machine Learning, PMLR, Virtual, 13–18 July 2020; pp. 5132–5143. [Google Scholar]
- Wang, J.; Liu, Q.; Liang, H.; Joshi, G.; Poor, H.V. Tackling the objective inconsistency problem in heterogeneous federated optimization. Adv. Neural Inf. Process. Syst. 2020, 33, 7611–7623. [Google Scholar]
- Hsu, T.M.H.; Qi, H.; Brown, M. Measuring the effects of non-identical data distribution for federated visual classification. arXiv 2019, arXiv:1909.06335. [Google Scholar] [CrossRef]
- Lin, Y.; Han, S.; Mao, H.; Wang, Y.; Dally, W.J. Deep gradient compression: Reducing the communication bandwidth for distributed training. arXiv 2017, arXiv:1712.01887. [Google Scholar]
- Bernstein, J.; Wang, Y.X.; Azizzadenesheli, K.; Anandkumar, A. signSGD: Compressed optimisation for non-convex problems. In Proceedings of the International Conference on Machine Learning, PMLR, Stockholm, Sweden, 10–15 July 2018; pp. 560–569. [Google Scholar]
- Rothchild, D.; Panda, A.; Ullah, E.; Ivkin, N.; Stoica, I.; Braverman, V.; Gonzalez, J.; Arora, R. Fetchsgd: Communication-efficient federated learning with sketching. In Proceedings of the International Conference on Machine Learning, PMLR, Virtual, 13–18 July 2020; pp. 8253–8265. [Google Scholar]
- Ben-David, S.; Blitzer, J.; Crammer, K.; Kulesza, A.; Pereira, F.; Vaughan, J.W. A theory of learning from different domains. Mach. Learn. 2010, 79, 151–175. [Google Scholar] [CrossRef]
- Ganin, Y.; Ustinova, E.; Ajakan, H.; Germain, P.; Larochelle, H.; Laviolette, F.; March, M.; Lempitsky, V. Domain-adversarial training of neural networks. J. Mach. Learn. Res. 2016, 17, 1–35. [Google Scholar]
- Long, M.; Cao, Y.; Wang, J.; Jordan, M. Learning transferable features with deep adaptation networks. In Proceedings of the International Conference on Machine Learning, PMLR, Lille, France, 7–9 July 2015; pp. 97–105. [Google Scholar]
- Long, M.; Zhu, H.; Wang, J.; Jordan, M.I. Deep transfer learning with joint adaptation networks. In Proceedings of the International Conference on Machine Learning, PMLR, Sydney, Australia, 6–11 August 2017; pp. 2208–2217. [Google Scholar]
- Tzeng, E.; Hoffman, J.; Saenko, K.; Darrell, T. Adversarial discriminative domain adaptation. In Proceedings of the IEEE Conference on Computer Vision and Pattern Recognition, Honolulu, HI, USA, 21–26 July 2017; pp. 7167–7176. [Google Scholar]
- Long, M.; Cao, Z.; Wang, J.; Jordan, M.I. Conditional adversarial domain adaptation. In Proceedings of the 32nd International Conference on Neural Information Processing Systems, Montreal, QC, Canada, 3–8 December 2018. [Google Scholar]
- Saito, K.; Watanabe, K.; Ushiku, Y.; Harada, T. Maximum classifier discrepancy for unsupervised domain adaptation. In Proceedings of the IEEE Conference on Computer Vision and Pattern Recognition, Salt Lake City, UT, USA, 18–23 June 2018; pp. 3723–3732. [Google Scholar]
- Xu, R.; Chen, Z.; Zuo, W.; Yan, J.; Lin, L. Deep cocktail network: Multi-source unsupervised domain adaptation with category shift. In Proceedings of the IEEE Conference on Computer Vision and pattern Recognition, Salt Lake City, UT, USA, 18–23 June 2018; pp. 3964–3973. [Google Scholar]
- Zhao, H.; Zhang, S.; Wu, G.; Moura, J.M.F.; Costeira, J.P.; Gordon, G.J. Adversarial multiple source Domain adaptation. In Proceedings of the 32nd International Conference on Neural Information Processing Systems, Montreal, QC, Canada, 3–8 December 2018. [Google Scholar]
- Peng, X.; Bai, Q.; Xia, X.; Huang, Z.; Saenko, K.; Wang, B. Moment matching for multi-source domain adaptation. In Proceedings of the IEEE/CVF International Conference on Computer Vision, Seoul, Republic of Korea, 27 October–2 November 2019; pp. 1406–1415. [Google Scholar]
- Finn, C.; Abbeel, P.; Levine, S. Model-agnostic meta-learning for fast adaptation of deep networks. In Proceedings of the International Conference on Machine Learning, Sydney, Australia, 6–11 August 2017; pp. 1126–1135. [Google Scholar]
- Li, D.; Yang, Y.; Song, Y.Z.; Hospedales, T. Learning to generalize: Meta-learning for domain generalization. In Proceedings of the AAAI Conference on Artificial Intelligence, New Orleans, LA, USA, 2–7 February 2018. [Google Scholar]
- Du, Y.; Xu, J.; Xiong, H.; Qiu, Q.; Zhen, X.; Snoek, C.G.M.; Shao, L. Learning to learn with variational information bottleneck for domain generalization. In Proceedings of the Computer Vision–ECCV 2020: 16th European Conference, Glasgow, UK, 23–28 August 2020; Proceedings, Part X 16. Springer International Publishing: Cham, Switzerland, 2020; pp. 200–216. [Google Scholar]
- Dwork, C. Differential privacy. In International Colloquium on Automata, Languages, and Programming; Springer: Berlin/Heidelberg, Germany, 2006; pp. 1–12. [Google Scholar]
- Abadi, M.; Chu, A.; Goodfellow, I.; McMahan, H.B.; Mironov, I.; Talwar, K.; Zhang, L. Deep learning with differential privacy. In Proceedings of the 2016 ACM SIGSAC Conference on Computer and Communications Security, Vienna, Austria, 24–28 October 2016; pp. 308–318. [Google Scholar]
- Mironov, I. Rényi differential privacy. In Proceedings of the 2017 IEEE 30th Computer Security Foundations Symposium (CSF), Santa Barbara, CA, USA, 21–25 August 2017; IEEE: Piscataway, NJ, USA, 2017; pp. 263–275. [Google Scholar]
- McMahan, H.B.; Ramage, D.; Talwar, K.; Zhang, L. Learning differentially private recurrent language models. arXiv 2017, arXiv:1710.06963. [Google Scholar]
- Geyer, R.C.; Klein, T.; Nabi, M. Differentially private federated learning: A client level perspective. arXiv 2017, arXiv:1712.07557. [Google Scholar]
- Wei, K.; Li, J.; Ding, M.; Ma, C.; Yang, H.H.; Farokhi, F.; Jin, S.; Quek, T.Q.S.; Poor, H.V. Federated learning with differential privacy: Algorithms and performance analysis. IEEE Trans. Inf. Forensics Secur. 2020, 15, 3454–3469. [Google Scholar] [CrossRef]
- Bonawitz, K.; Ivanov, V.; Kreuter, B.; Marcedone, A.; McMahan, H.B.; Patel, S.; Ramage, D.; Segal, A.; Seth, K. Practical secure aggregation for privacy-preserving machine learning. In Proceedings of the 2017 ACM SIGSAC Conference on Computer and Communications Security, Dallas, TX, USA, 30 October–3 November 2017; pp. 1175–1191. [Google Scholar]
- Bell, J.H.; Bonawitz, K.A.; Gascón, A.; Lepoint, T.; Raykova, M. Secure single-server aggregation with (poly) logarithmic overhead. In Proceedings of the 2020 ACM SIGSAC Conference on Computer and Communications Security, Virtual, 9–13 November 2020; pp. 1253–1269. [Google Scholar]
- So, J.; Güler, B.; Avestimehr, A.S. Turbo-aggregate: Breaking the quadratic aggregation barrier in secure federated learning. IEEE J. Sel. Areas Inf. Theory 2021, 2, 479–489. [Google Scholar] [CrossRef]
- Kodheli, O.; Lagunas, E.; Maturo, N.; Sharma, S.K.; Shankar, B.; Montoya, J.F.M. Satellite communications in the new space era: A survey and future challenges. IEEE Commun. Surv. Tutor. 2020, 23, 70–109. [Google Scholar] [CrossRef]
- Del Portillo, I.; Cameron, B.G.; Crawley, E.F. A technical comparison of three low earth orbit satellite constellation systems to provide global broadband. Acta Astronaut. 2019, 159, 123–135. [Google Scholar] [CrossRef]
- Taleb, T.; Samdanis, K.; Mada, B.; Flinck, H.; Dutta, S.; Sabella, D. On multi-access edge computing: A survey of the emerging 5G network edge cloud architecture and orchestration. IEEE Commun. Surv. Tutor. 2017, 19, 1657–1681. [Google Scholar] [CrossRef]
- Liu, J.; Shi, Y.; Fadlullah, Z.M.; Kato, N. Space-air-ground integrated network: A survey. IEEE Commun. Surv. Tutor. 2018, 20, 2714–2741. [Google Scholar] [CrossRef]
- Zhou, D.; Sheng, M.; Wang, Y.; Li, J.; Han, Z. Machine learning-based resource allocation in satellite networks supporting internet of remote things. IEEE Trans. Wirel. Commun. 2021, 20, 6606–6621. [Google Scholar] [CrossRef]
- Giuffrida, G.; Diana, L.; Gioia, F.D.; Benelli, G.; Meoni, G.; Donati, M.; Fanucci, L. Cloudscout: A deep neural network for on-board cloud detection on hyperspectral images. Remote Sens. 2020, 12, 2205. [Google Scholar] [CrossRef]
- Mateo-Garcia, G.; Veitch-Michaelis, J.; Smith, L.; Oprea, S.V.; Schumann, G.; Gal, Y.; Baydin, A.G.; Backes, D. Towards global flood mapping onboard low cost satellites with machine learning. Sci. Rep. 2021, 11, 7249. [Google Scholar] [CrossRef]
- Li, L.; Zhu, L.; Li, W. Privacy-Preserving Federated Learning for Space–Air–Ground Integrated Networks: A Bi-Level Reinforcement Learning and Adaptive Transfer Learning Optimization Framework. Sensors 2025, 25, 2828. [Google Scholar] [CrossRef]
- Fedele, C.; Butler, K.; Petersen, C.; Lovelly, T. Protecting satellite proximity operations via secure multi-party computation. In Proceedings of the AIAA SCITECH 2024 Forum, Orlando, FL, USA, 8–12 January 2024; p. 0271. [Google Scholar]
- Zhang, Y.; Lin, Z.; Chen, Z.; Fang, Z.; Chen, X.; Zhu, W.; Zhao, J.; Gao, Y. SatFed: A Resource-Efficient LEO Satellite-Assisted Heterogeneous Federated Learning Framework. arXiv 2024, arXiv:2409.13503. [Google Scholar] [CrossRef]
- Hospedales, T.; Antoniou, A.; Micaelli, P.; Storkey, A. Meta-learning in neural networks: A survey. IEEE Trans. Pattern Anal. Mach. Intell. 2021, 44, 5149–5169. [Google Scholar] [CrossRef]
- Maurya, A.; Akashdeep Kumar, R. Classification of University of California (UC), Merced Land-Use Dataset Remote Sensing Images Using Pre-Trained Deep Learning Models. In Deep Learning Techniques for Automation and Industrial Applications; IEEE: Piscataway, NJ, USA, 2024; pp. 45–67. [Google Scholar]
- Li, H.; Dou, X.; Tao, C.; Hou, Z.; Chen, J.; Peng, J.; Deng, M.; Zhao, L. RSI-CB: A large scale remote sensing image classification benchmark via crowdsource data. arXiv 2017, arXiv:1705.10450. [Google Scholar]
- Noever, D.; Noever, S.E.M. Overhead mnist: A benchmark satellite dataset. arXiv 2021, arXiv:2102.04266. [Google Scholar] [CrossRef]
- Huang, X.; Li, P.; Li, X. Stochastic controlled averaging for federated learning with communication compression. arXiv 2023, arXiv:2308.08165. [Google Scholar]
- Zhang, F.; Kuang, K.; Chen, L.; You, Z.; Shen, T.; Xiao, J.; Zhang, Y.; Wu, C.; Wu, F.; Zhuang, Y.; et al. Federated unsupervised representation learning. Front. Inf. Technol. Electron. Eng. 2023, 24, 1181–1193. [Google Scholar] [CrossRef]
- Elmahallawy, M.; Luo, T. Stitching satellites to the edge: Pervasive and efficient federated leo satellite learning. In Proceedings of the 2024 IEEE International Conference on Pervasive Computing and Communications (PerCom), Biarritz, France, 11–15 March 2024; IEEE: Piscataway, NJ, USA, 2024; pp. 80–89. [Google Scholar]






| Parameter Category | Parameter Name | Parameter Value |
|---|---|---|
| Optimization Parameters | Global Learning Rate | 0.01 |
| Local Learning Rate | 0.01 | |
| Optimizer | Adam (FURL), SGD (Others) | |
| Momentum | 0.9 | |
| Weight Decay | 1 × 10−4 | |
| Federated Parameters | Local Rounds (E) | 5 |
| Global Rounds (T) | 20 | |
| Batch Size | 32 |
| Configuration Item | Parameter Setting | Description |
|---|---|---|
| Data Partitioning | Non-IID Degree | Dirichlet(α = 0.5), Medium Heterogeneity |
| Number of Satellites | LEO: 24, MEO: 6, GEO: 3 | |
| Data Distribution | Grouped by geographic regions (Northern Europe: 8, Central Europe: 8, Southern Europe: 8) | |
| Training/Testing Split | 80%/20% | |
| Orbital Parameters | LEO Altitude | 550 km |
| Orbital Inclination | 53° | |
| Orbital Period | 96 min | |
| Visibility Window | 8–12 min | |
| Eclipse Period | 35 min/orbit |
| Method | Accuracy (%) | Standard Deviation | 95% Confidence Interval |
|---|---|---|---|
| HiSatFL | 89.08 | 1.24 | [87.6, 90.6] |
| LEO-FL | 84.90 | 1.67 | [83.9, 86.4] |
| FedProx | 79.42 | 2.12 | [77.0, 81.8] |
| SCAFFOLD | 81.15 | 1.98 | [78.9, 83.4] |
| FURL | 83.67 | 1.76 | [81.7, 85.6] |
| FedAvg | 77.89 | 2.34 | [75.2, 80.6] |
| Method | Accuracy (%) | Precision (%) | Recall (%) | F1-Score (%) | Average Loss |
|---|---|---|---|---|---|
| HiSatFL-Base | 83.42 ± 1.87 | 76.23 ± 2.56 | 83.15 ± 1.89 | 82.91 ± 1.90 | 0.74 ± 0.063 |
| HiSatFL-Meta | 86.75 ± 1.64 | 82.68 ± 1.93 | 86.38 ± 1.67 | 86.16 ± 1.68 | 0.68 ± 0.055 |
| HiSatFL-Privacy | 84.89 ± 1.78 | 85.94 ± 1.71 | 84.57 ± 1.81 | 84.34 ± 1.82 | 0.72 ± 0.059 |
| HiSatFL-Full | 89.08 ± 1.24 | 84.12 ± 1.84 | 88.92 ± 1.31 | 88.69 ± 1.15 | 0.62 ± 0.048 |
| Performance Improvement Source | Accuracy Improvement (%) | Relative Contribution Rate (%) | Communication Efficiency Improvement (%) |
|---|---|---|---|
| Hierarchical Aggregation Mechanism | +5.53 | 49.3% | +14.3% |
| Orbital Perception Meta-learning | +3.33 | 29.7% | −1.3% |
| Privacy-Adaptive Mechanism | +1.47 | 13.1% | −2.8% |
| Synergy Effect | +0.86 | 7.9% | −4.4% |
| Overall Improvement | +11.19 | 100% | +7.4% |
Disclaimer/Publisher’s Note: The statements, opinions and data contained in all publications are solely those of the individual author(s) and contributor(s) and not of MDPI and/or the editor(s). MDPI and/or the editor(s) disclaim responsibility for any injury to people or property resulting from any ideas, methods, instructions or products referred to in the content. |
© 2025 by the authors. Licensee MDPI, Basel, Switzerland. This article is an open access article distributed under the terms and conditions of the Creative Commons Attribution (CC BY) license (https://creativecommons.org/licenses/by/4.0/).
Share and Cite
Li, L.; Zhu, L.; Li, W. HiSatFL: A Hierarchical Federated Learning Framework for Satellite Networks with Cross-Domain Privacy Adaptation. Electronics 2025, 14, 3237. https://doi.org/10.3390/electronics14163237
Li L, Zhu L, Li W. HiSatFL: A Hierarchical Federated Learning Framework for Satellite Networks with Cross-Domain Privacy Adaptation. Electronics. 2025; 14(16):3237. https://doi.org/10.3390/electronics14163237
Chicago/Turabian StyleLi, Ling, Lidong Zhu, and Weibang Li. 2025. "HiSatFL: A Hierarchical Federated Learning Framework for Satellite Networks with Cross-Domain Privacy Adaptation" Electronics 14, no. 16: 3237. https://doi.org/10.3390/electronics14163237
APA StyleLi, L., Zhu, L., & Li, W. (2025). HiSatFL: A Hierarchical Federated Learning Framework for Satellite Networks with Cross-Domain Privacy Adaptation. Electronics, 14(16), 3237. https://doi.org/10.3390/electronics14163237

