MCCSAN: Automatic Modulation Classification via Multiscale Complex Convolution and Spatiotemporal Attention Network
Abstract
1. Introduction
2. Related Work
2.1. Likelihood-Based Methods for AMC
2.2. Feature-Based Methods for AMC
2.3. Deep-Learning Methods for AMC
3. Multiscale Complex Convolution Spatiotemporal Attention Network
3.1. Multiscale Complex Convolutional Module
3.2. Spatiotemporal Attention Module
3.3. Joint Loss Function
3.4. Radio Signal Model
3.5. Implementation Details
4. Experiments
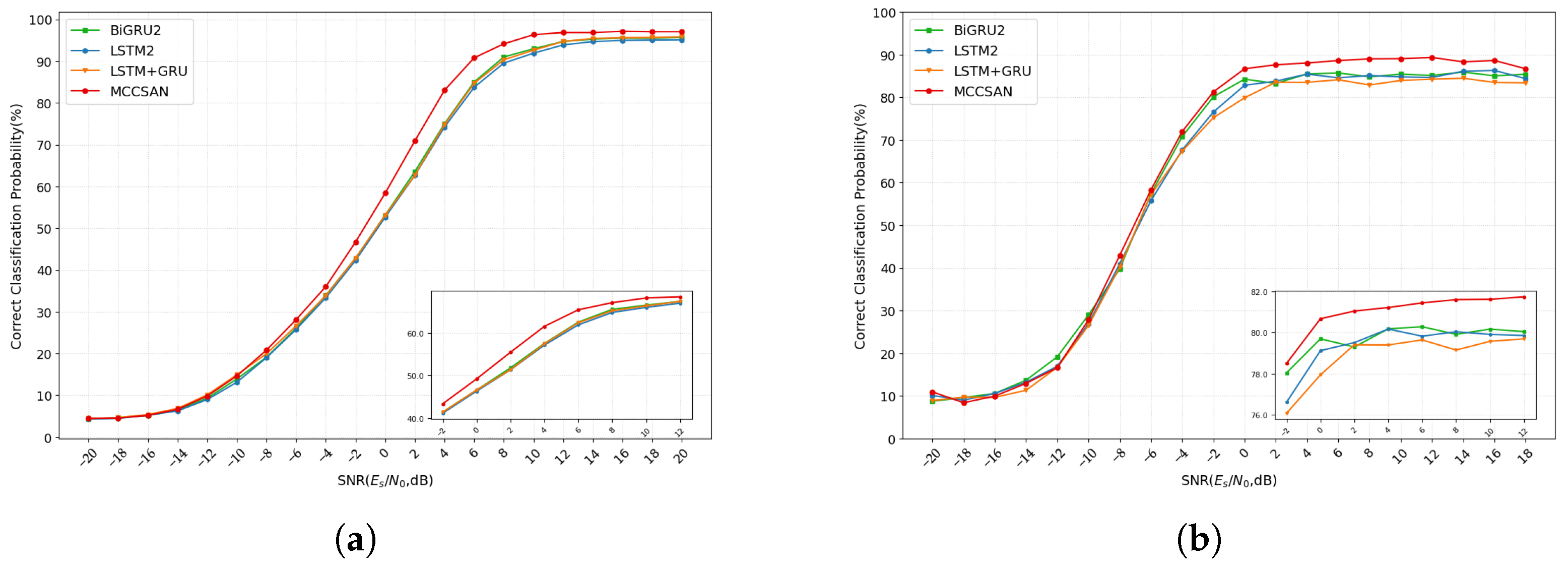
4.1. Comparison with Baseline Methods
4.2. Comparison with State-of-the-Art Methods
| Module | Domain | Key Operation | Task-Specific Adaptation |
|---|---|---|---|
| SE [44] | Channel | Global average pooling, FC | None |
| CBAM [45] | Channel + Spatial | AvgPool + MaxPool, Conv2D | Designed for images |
| SA (ours) | Time + Channel | ReduceMean, Conv1D + Dense | Designed for time series |
4.3. Classification Performance by Modulation Mode
5. Conclusions
Author Contributions
Funding
Data Availability Statement
Conflicts of Interest
References
- Kulin, M.; Kazaz, T.; Moerman, I.; De Poorter, E. End-to-end learning from spectrum data: A deep learning approach for wireless signal identification in spectrum monitoring applications. IEEE Access 2018, 6, 18484–18501. [Google Scholar] [CrossRef]
- Zhou, Q.; Niu, Y. From Adaptive Communication Anti-Jamming to Intelligent Communication Anti-Jamming: 50 Years of Evolution. Adv. Intell. Syst. 2024, 6, 2300853. [Google Scholar] [CrossRef]
- Chenchev, I.; Aleksieva-Petrova, A.; Petrov, M. Authentication mechanisms and classification: A literature survey. In Intelligent Computing, Proceedings of the 2021 Computing Conference, London, UK, 15–16 July 2021; Springer: Berlin/Heidelberg, Germany, 2021; Volume 3, pp. 1051–1070. [Google Scholar]
- Xia, N.; Chen, H.H.; Yang, C.S. Radio resource management in machine-to-machine communications—A survey. IEEE Commun. Surv. Tutorials 2017, 20, 791–828. [Google Scholar] [CrossRef]
- Meng, F.; Chen, P.; Wu, L.; Wang, X. Automatic modulation classification: A deep learning enabled approach. IEEE Trans. Veh. Technol. 2018, 67, 10760–10772. [Google Scholar] [CrossRef]
- Krayani, A.; Alam, A.S.; Marcenaro, L.; Nallanathan, A.; Regazzoni, C. Automatic jamming signal classification in cognitive UAV radios. IEEE Trans. Veh. Technol. 2022, 71, 12972–12988. [Google Scholar] [CrossRef]
- Xu, Y.; Zheng, K.; Liu, X.; Li, Z.; Liu, J. Cognitive Radio Networks: Technologies, Challenges and Applications. Sensors 2025, 25, 1011. [Google Scholar] [CrossRef] [PubMed]
- Wei, W.; Mendel, J. Maximum-likelihood classification for digital amplitude-phase modulations. IEEE Trans. Commun. 2000, 48, 189–193. [Google Scholar] [CrossRef]
- Hameed, F.; Dobre, O.A.; Popescu, D.C. On the likelihood-based approach to modulation classification. IEEE Trans. Wirel. Commun. 2009, 8, 5884–5892. [Google Scholar] [CrossRef]
- Salam, A.O.A.; Sheriff, R.E.; Al-Araji, S.R.; Mezher, K.; Nasir, Q. A unified practical approach to modulation classification in cognitive radio using likelihood-based techniques. In Proceedings of the 2015 IEEE 28th Canadian Conference on Electrical and Computer Engineering (CCECE), Halifax, NS, Canada, 3–6 May 2015; IEEE: New York, NY, USA, 2015; pp. 1024–1029. [Google Scholar]
- Panagiotou, P.; Anastasopoulos, A.; Polydoros, A. Likelihood ratio tests for modulation classification. In Proceedings of the MILCOM 2000 Proceedings. 21st Century Military Communications. Architectures and Technologies for Information Superiority (Cat. No. 00CH37155), Los Angeles, CA, USA, 22–25 October 2000; IEEE: New York, NY, USA, 2000; Volume 2, pp. 670–674. [Google Scholar]
- Dulek, B. Online hybrid likelihood based modulation classification using multiple sensors. IEEE Trans. Wirel. Commun. 2017, 16, 4984–5000. [Google Scholar] [CrossRef]
- Azzouz, E.; Nandi, A. Procedure for automatic recognition of analogue and digital modulations. IEE Proc.-Commun. 1996, 143, 259–266. [Google Scholar] [CrossRef]
- Orlic, V.D.; Dukic, M.L. Automatic modulation classification: Sixth-order cumulant features as a solution for real-world challenges. In Proceedings of the 2012 20th Telecommunications Forum (TELFOR), Belgrade, Serbia, 20–22 November 2012; IEEE: New York, NY, USA, 2012; pp. 392–399. [Google Scholar]
- Headley, W.C.; Reed, J.D.; da Silva, C.R.C.M. Distributed Cyclic Spectrum Feature-Based Modulation Classification. In Proceedings of the 2008 IEEE Wireless Communications and Networking Conference, Las Vegas, NV, USA, 31 March–3 April 2008; pp. 1200–1204. [Google Scholar]
- Hazza, A.; Shoaib, M.; Alshebeili, S.A.; Fahad, A. An overview of feature-based methods for digital modulation classification. In Proceedings of the 2013 1st International Conference on Communications, Signal Processing, and their Applications (ICCSPA), Sharjah, United Arab Emirates, 12–14 February 2013; pp. 1–6. [Google Scholar]
- Huynh-The, T.; Hua, C.H.; Pham, Q.V.; Kim, D.S. MCNet: An efficient CNN architecture for robust automatic modulation classification. IEEE Commun. Lett. 2020, 24, 811–815. [Google Scholar] [CrossRef]
- Tekbıyık, K.; Ekti, A.R.; Görçin, A.; Kurt, G.K.; Keçeci, C. Robust and fast automatic modulation classification with CNN under multipath fading channels. In Proceedings of the 2020 IEEE 91st Vehicular Technology Conference (VTC2020-Spring), Antwerp, Belgium, 25–28 May 2020; IEEE: New York, NY, USA, 2020; pp. 1–6. [Google Scholar]
- Abdulkarem, A.M.; Abedi, F.; Ghanimi, H.M.; Kumar, S.; Al-Azzawi, W.K.; Abbas, A.H.; Abosinnee, A.S.; Almaameri, I.M.; Alkhayyat, A. Robust automatic modulation classification using convolutional deep neural network based on scalogram information. Computers 2022, 11, 162. [Google Scholar] [CrossRef]
- Abd-Elaziz, O.F.; Abdalla, M.; Elsayed, R.A. Deep learning-based automatic modulation classification using robust CNN architecture for cognitive radio networks. Sensors 2023, 23, 9467. [Google Scholar] [CrossRef]
- Hong, D.; Zhang, Z.; Xu, X. Automatic modulation classification using recurrent neural networks. In Proceedings of the 2017 3rd IEEE International Conference on Computer and Communications (ICCC), Chengdu, China, 13–16 December 2017; pp. 695–700. [Google Scholar]
- Rajendran, S.; Meert, W.; Giustiniano, D.; Lenders, V.; Pollin, S. Deep Learning Models for Wireless Signal Classification with Distributed Low-Cost Spectrum Sensors. IEEE Trans. Cogn. Commun. Netw. 2018, 4, 433–445. [Google Scholar] [CrossRef]
- Zang, K.; Wu, W.; Luo, W. Deep Sparse Learning for Automatic Modulation Classification Using Recurrent Neural Networks. Sensors 2021, 21, 6410. [Google Scholar] [CrossRef] [PubMed]
- Sun, S.; Wang, Y. A novel deep learning automatic modulation classifier with fusion of multichannel information using GRU. EURASIP J. Wirel. Commun. Netw. 2023, 2023, 66. [Google Scholar] [CrossRef]
- Hu, X.; Gao, G.; Li, B.; Wang, W.; Ghannouchi, F.M. A Novel Lightweight Grouped Gated Recurrent Unit for Automatic Modulation Classification. IEEE Wirel. Commun. Lett. 2024, 13, 2135–2139. [Google Scholar] [CrossRef]
- Hamidi-Rad, S.; Jain, S. Mcformer: A transformer based deep neural network for automatic modulation classification. In Proceedings of the 2021 IEEE Global Communications Conference (GLOBECOM), Madrid, Spain, 7–11 December 2021; IEEE: New York, NY, USA, 2021; pp. 1–6. [Google Scholar]
- Cai, J.; Gan, F.; Cao, X.; Liu, W. Signal modulation classification based on the transformer network. IEEE Trans. Cogn. Commun. Netw. 2022, 8, 1348–1357. [Google Scholar] [CrossRef]
- Kong, W.; Jiao, X.; Xu, Y.; Zhang, B.; Yang, Q. A transformer-based contrastive semi-supervised learning framework for automatic modulation recognition. IEEE Trans. Cogn. Commun. Netw. 2023, 9, 950–962. [Google Scholar] [CrossRef]
- Jang, J.; Pyo, J.; Yoon, Y.I.; Choi, J. Meta-transformer: A meta-learning framework for scalable automatic modulation classification. IEEE Access 2024, 12, 9267–9276. [Google Scholar] [CrossRef]
- Hu, Y.; Liu, Y.; Lv, S.; Xing, M.; Zhang, S.; Fu, Y.; Wu, J.; Zhang, B.; Xie, L. DCCRN: Deep complex convolution recurrent network for phase-aware speech enhancement. arXiv 2020, arXiv:2008.00264. [Google Scholar]
- Kılıçarslan, S.; Adem, K.; Çelik, M. An overview of the activation functions used in deep learning algorithms. J. New Results Sci. 2021, 10, 75–88. [Google Scholar] [CrossRef]
- Zheng, Q.; Tian, X.; Yu, Z.; Yang, M.; Elhanashi, A.; Saponara, S. Robust automatic modulation classification using asymmetric trilinear attention net with noisy activation function. Eng. Appl. Artif. Intell. 2025, 141, 109861. [Google Scholar] [CrossRef]
- Liu, T.; Wu, S. Automatic Modulation Classification Based on Time-Attention Mechanism and LSTM Neural Networks. In Proceedings of the 2024 7th International Conference on Information Communication and Signal Processing (ICICSP), Zhoushan, China, 21–23 September 2024; IEEE: New York, NY, USA, 2024; pp. 112–117. [Google Scholar]
- Ma, W.; Cai, Z.; Wang, C. A transformer and convolution-based learning framework for automatic modulation classification. IEEE Commun. Lett. 2024, 28, 1392–1396. [Google Scholar] [CrossRef]
- Zhang, H.; Zhou, F.; Wu, Q.; Wu, W.; Hu, R.Q. A Novel Automatic Modulation Classification Scheme Based on Multi-Scale Networks. IEEE Trans. Cogn. Commun. Netw. 2022, 8, 97–110. [Google Scholar] [CrossRef]
- Goldsmith, A. Wireless Communications; Cambridge University Press: Cambridge, UK, 2005. [Google Scholar]
- Ba, J.L.; Kiros, J.R.; Hinton, G.E. Layer normalization. arXiv 2016, arXiv:1607.06450. [Google Scholar]
- O’Shea, T.J.; Roy, T.; Clancy, T.C. Over-the-air deep learning based radio signal classification. IEEE J. Sel. Top. Signal Process. 2018, 12, 168–179. [Google Scholar] [CrossRef]
- Hou, S.; Dong, Y.; Li, Y.; Yan, Q.; Wang, M.; Fang, S. Multi-domain-fusion deep learning for automatic modulation recognition in spatial cognitive radio. Sci. Rep. 2023, 13, 10736. [Google Scholar] [CrossRef]
- Clerico, V.; González-López, J.; Agam, G.; Grajal, J. LSTM framework for classification of radar and communications signals. In Proceedings of the 2023 IEEE Radar Conference (RadarConf23), San Antonio, TX, USA, 1–5 May 2023; IEEE: New York, NY, USA, 2023; pp. 1–6. [Google Scholar]
- Zhou, J.; Wan, S. Automatic Modulation Recognition via Pruned LSTM-GRU with Multi-Head Attention. In Proceedings of the 2025 3rd International Conference on Communication Networks and Machine Learning, New York, NY, USA, 21–23 February 2025; CNML ’25. pp. 98–102. [Google Scholar]
- Ke, Z.; Vikalo, H. Real-Time Radio Technology and Modulation Classification via an LSTM Auto-Encoder. IEEE Trans. Wirel. Commun. 2022, 21, 370–382. [Google Scholar] [CrossRef]
- Hermawan, A.P.; Ginanjar, R.R.; Kim, D.S.; Lee, J.M. CNN-Based Automatic Modulation Classification for Beyond 5G Communications. IEEE Commun. Lett. 2020, 24, 1038–1041. [Google Scholar] [CrossRef]
- Hu, J.; Shen, L.; Sun, G. Squeeze-and-excitation networks. In Proceedings of the IEEE Conference on Computer Vision and pattErn Recognition, Salt Lake City, UT, USA, 18–23 June 2018; pp. 7132–7141. [Google Scholar]
- Woo, S.; Park, J.; Lee, J.Y.; Kweon, I.S. Cbam: Convolutional block attention module. In Proceedings of the European Conference on Computer Vision (ECCV), Munich, Germany, 8–14 September 2018; pp. 3–19. [Google Scholar]
- Vitthaladevuni, P.K.; Alouini, M.S. A recursive algorithm for the exact BER computation of generalized hierarchical QAM constellations. IEEE Trans. Inf. Theory 2003, 49, 297–307. [Google Scholar] [CrossRef]










| Layer | Convolution Filter | Output Dimension |
|---|---|---|
| Input | - | 1024 × 2 |
| Complex Convolution | 32, 3 × 1 | 1024 × 32 |
| Complex Convolution | 32, 7 × 1 | 1024 × 32 |
| Complex Convolution | 32, 15 × 1 | 1024 × 32 |
| Concatenate | - | 1024 × 96 |
| Convolution1D | 128, 3 × 1 | 1024 × 128 |
| BiGRU | - | 1024 × 128 |
| BiGRU | - | 1024 × 128 |
| Spatiotemporal attention | 128, 11 × 1 | 1024 × 128 |
| Adaptive Temporal Pooling | - | 128 |
| FC | - | 128 |
| FC | - | 24 |
| Total parameter | 406,553 | |
| Dataset | RML2016.10a | RML2018.01a |
|---|---|---|
| Modulation Schemes | 11 classes: (8PSK, BPSK, CPFSK, GFSK, PAM4, 16QAM, AM-DSB, AM-SSB, 64QAM, QPSK, WBFM) | 24 classes: (OOK, 4ASK, 8ASK, BPSK, QPSK, 8PSK, 16PSK, 32PSK, 16APSK, 32APSK, 64APSK, 128APSK, 16QAM, 32QAM, 64QAM, 128QAM, 256QAM, AM-SSB-WC, AM-SSB-SC, AM-DSB-WC, AM-DSB-SC, FM, GMSK, OQPSK) |
| Sample Dimension | 128 × 2 | 1024 × 2 |
| Dataset Size | 220,000 | 2,555,904 |
| SNR Range (dB) | −20:2:18 | −20:2:30 |
| BiGRU [39] | LSTM2 [40] | LSTM + BiGRU [41] | MCCSAN | |
|---|---|---|---|---|
| RML2018.10A | 66.15% | 64.99% | 65.61% | 70.13% |
| RML2016.01A | 80.23% | 79.11% | 78.18% | 82.98% |
| SNR (dB) | Baseline | Baseline + MCC | Baseline + SA | Ours |
|---|---|---|---|---|
| −6 | 26.36% | 25.98% | 27.13% | 28.13% |
| −4 | 34.14% | 34.46% | 34.87% | 36.03% |
| −2 | 43.45% | 44.46% | 44.47% | 46.68% |
| 0 | 53.46% | 55.92% | 55.07% | 58.39% |
| 2 | 63.45% | 66.09% | 65.80% | 70.89% |
| 4 | 75.89% | 79.18% | 78.80% | 83.02% |
| 6 | 85.28% | 89.25% | 89.04% | 90.79% |
| 8 | 90.86% | 94.07% | 93.53% | 94.13% |
| 10 | 93.32% | 96.01% | 94.38% | 96.32% |
Disclaimer/Publisher’s Note: The statements, opinions and data contained in all publications are solely those of the individual author(s) and contributor(s) and not of MDPI and/or the editor(s). MDPI and/or the editor(s) disclaim responsibility for any injury to people or property resulting from any ideas, methods, instructions or products referred to in the content. |
© 2025 by the authors. Licensee MDPI, Basel, Switzerland. This article is an open access article distributed under the terms and conditions of the Creative Commons Attribution (CC BY) license (https://creativecommons.org/licenses/by/4.0/).
Share and Cite
Xu, S.; Zhang, D.; Lu, Y.; Xing, Z.; Ma, W. MCCSAN: Automatic Modulation Classification via Multiscale Complex Convolution and Spatiotemporal Attention Network. Electronics 2025, 14, 3192. https://doi.org/10.3390/electronics14163192
Xu S, Zhang D, Lu Y, Xing Z, Ma W. MCCSAN: Automatic Modulation Classification via Multiscale Complex Convolution and Spatiotemporal Attention Network. Electronics. 2025; 14(16):3192. https://doi.org/10.3390/electronics14163192
Chicago/Turabian StyleXu, Songchen, Duona Zhang, Yuanyao Lu, Zhe Xing, and Weikai Ma. 2025. "MCCSAN: Automatic Modulation Classification via Multiscale Complex Convolution and Spatiotemporal Attention Network" Electronics 14, no. 16: 3192. https://doi.org/10.3390/electronics14163192
APA StyleXu, S., Zhang, D., Lu, Y., Xing, Z., & Ma, W. (2025). MCCSAN: Automatic Modulation Classification via Multiscale Complex Convolution and Spatiotemporal Attention Network. Electronics, 14(16), 3192. https://doi.org/10.3390/electronics14163192

