Robust H∞ Time-Varying Formation Tracking for Heterogeneous Multi-Agent Systems with Unknown Control Input
Abstract
1. Introduction
- To enhance the robust performance of MASs, which are not consistent with each other, such as dynamical instability, extraneous interference, and parameter uncertainty, an adaptive controller scheme is presented. This is different from the current FT control scheme, which is not dependent on the global topological information as described in [32]. In addition, several adaptive control methods are proposed in [27], these methods cannot deal with the extraneous interference and parameter uncertainty in the system.
2. Problem Description
3. Main Results
| Algorithm 1: The control parameters with the protocol (5) can be systematically determined through the following steps: |
|
- Neighbor error calculation: Each follower agent computes using local neighbor information. For a follower with k neighbors, the calculation involves vector additions and multiplications proportional to the state dimension n. The complexity is , which scales linearly with the number of neighbors and state dimensions.
- Adaptive parameter updates: and depend on , requiring vector norm computations () and scalar updates. Update via , involving an inner product (). Overall, each parameter update has complexity, independent of the total number of agents.
- Nonlinear functions (, ): Both functions involve conditional checks and normalization operations. The normalization requires computations for vector norms and divisions. No iterative loops are needed, ensuring a low overhead.
- Matrix P and offline computations: The positive definite matrix P is derived from an ARE, which is solved offline. This step does not contribute to the online computational burden.
- Distributed nature: The protocol is fully distributed, meaning each agent’s computations rely only on local and neighbor data. The complexity for each agent is independent of the total number of agents and scales only with local variables (n, k).
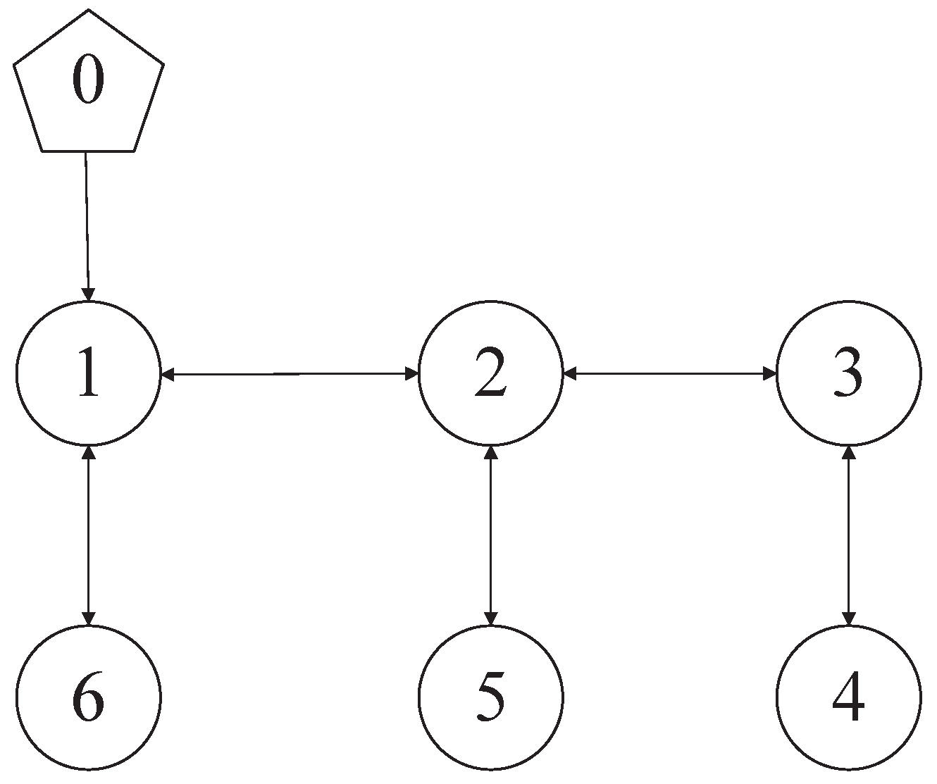
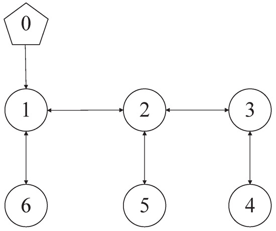
4. Numerical Examples
5. Conclusions
Author Contributions
Funding
Data Availability Statement
Conflicts of Interest
References
- Millán, P.; Orihuela, L.; Jurado, I.; Rubio, F.R. Formation control of autonomous underwater vehicles subject to communication delays. IEEE Trans. Control Syst. Technol. 2014, 22, 770–777. [Google Scholar] [CrossRef]
- Dong, X.W.; Zhou, Y.; Ren, Z.; Zhong, Y.S. Time-varying formation tracking for second-order multi-agent systems subjected to switching topologies with application to quadrotor formation flying. IEEE Trans. Ind. Electron. 2017, 64, 5014–5024. [Google Scholar] [CrossRef]
- Balch, T.; Arkin, R.C. Behavior-based formation control for multirobot teams. IEEE Trans. Robot. Autom. 1998, 14, 926–939. [Google Scholar] [CrossRef]
- Lewis, M.A.; Tan, K.-H. High precision formation control of mobile robots using virtual structures. Auton. Robot. 1997, 4, 387–403. [Google Scholar] [CrossRef]
- Takahashi, H.; Nishi, H.; Ohnishi, K. Autonomous decentralized control for formation of multiple mobile robots considering ability of robot. IEEE Trans. Ind. Electron. 2004, 51, 1272–1279. [Google Scholar] [CrossRef]
- Wu, Z.G.; Xu, Y.; Lu, R.Q.; Wu, Y.Q.; Huang, T.W. Event-triggered control for consensus of multiagent systems with fixed/switching topologies. IEEE Trans. Syst. Man Cybern. Syst. 2017, 48, 1736–1746. [Google Scholar] [CrossRef]
- Wang, Q.; Wang, J.L.; Wu, H.N.; Huang, T.W. Consensus and H∞ consensus of nonlinear second-order multi-agent systems. IEEE Trans. Netw. Sci. Eng. 2020, 7, 1251–1264. [Google Scholar] [CrossRef]
- Ding, L.; Zheng, W.X. Network-based practical consensus of heterogeneous nonlinear multiagent systems. IEEE Trans. Cybern. 2017, 47, 1841–1851. [Google Scholar] [CrossRef]
- Wang, Q.; Shu, P.; Yan, B.; Shi, Z.; Hua, Y.; Lü, J. Robust predefined output containment for heterogeneous nonlinear multiagent systems under unknown nonidentical leaders’ dynamics. IEEE Trans. Cybern. 2024, 54, 5770–5780. [Google Scholar] [CrossRef]
- Wang, Q.; Hua, Y.; Dong, X.; Shu, P.; Lü, J.; Ren, Z. Finite-time time-varying formation tracking for heterogeneous nonlinear multiagent systems using adaptive output Regulation. IEEE Trans. Cybern. 2024, 54, 2460–2471. [Google Scholar] [CrossRef]
- Zhang, X.; Zhan, X.; Wu, J.; Han, T.; Yan, H. Distributed adaptive time-varying formation tracking for input saturated multi-agent systems with multiple leaders. IEEE Trans. Circuits Syst. II Express Briefs 2024, 71, 2084–2088. [Google Scholar] [CrossRef]
- Wang, Q.; Dong, X.; Chen, Z.; Lian, Z.; Lü, J. Finite-time formation tracking for heterogeneous Euler–Lagrange systems with an uncertain leader. Automatica 2025, 176, 112268. [Google Scholar] [CrossRef]
- Ren, S.Y.; Wang, Q.; Wang, J.L. Passivity-based finite-time synchronization of nonlinear multi-agent systems. IEEE Trans. Netw. Sci. Eng. 2020, 7, 1953–1965. [Google Scholar] [CrossRef]
- Fu, J.J.; Lv, Y.Z.; Wen, G.H.; Yu, X.H.; Huang, T.W. Velocity and input constrained coordination of second-Order multi-agent systems with relative output information. IEEE Trans. Netw. Sci. Eng. 2020, 7, 1925–1938. [Google Scholar] [CrossRef]
- Wang, Q.; Dong, X.; Yu, J.; Lü, J.; Ren, Z. Predefined finite-time output containment of nonlinear multi-agent systems with Leaders of unknown inputs. IEEE Trans. Circuits Syst. I Regul. Pap. 2021, 68, 3436–3448. [Google Scholar] [CrossRef]
- Fax, J.A.; Murray, R.M. Information flow and cooperative control of vehicle formations. IEEE Trans. Autom. Control 2004, 49, 1465–1476. [Google Scholar] [CrossRef]
- Yuan, C.Z. Leader-following consensus control of general linear multiagent systems with diverse time-varying input delays. J. Dyn. Syst. Meas. Control 2018, 140, 061010. [Google Scholar] [CrossRef]
- Aryankia, K.; Selmic, R.R. Neuro-adaptive formation control and target tracking for nonlinear multi-agent systems with time-delay. IEEE Control Syst. Lett. 2021, 5, 791–796. [Google Scholar] [CrossRef]
- Ren, W.; Sorensen, N. Distributed coordination architecture for multi-robot formation control. Robot. Auton. Syst. 2008, 56, 324–333. [Google Scholar] [CrossRef]
- Wang, C.; Xie, G.M. Limit-cycle based decoupled design of circle formation control with collision avoidance for anonymous agents in a plane. IEEE Trans. Autom. Control 2017, 62, 6560–6567. [Google Scholar] [CrossRef]
- Arranz, L.B.; Seuret, A.; Canudas-de-Wit, C. Cooperative control design for time-varying formations of multi-agent systems. IEEE Trans. Autom. Control 2014, 59, 2283–2288. [Google Scholar] [CrossRef]
- Dong, X.W.; Hu, G.Q. Time-varying formation tracking for linear multi-agent systems with multiple leaders. IEEE Trans. Autom. Control 2017, 62, 3658–3664. [Google Scholar] [CrossRef]
- He, L.; Sun, X.X.; Lin, Y. Distributed adaptive control for time-varying formation tracking of a class of networked nonlinear systems. Int. J. Control 2017, 90, 1319–1326. [Google Scholar] [CrossRef]
- Wang, X.L. Distributed formation output regulation of switching heterogeneous multi-agent systems. Int. J. Syst. Sci. 2013, 44, 2004–2014. [Google Scholar] [CrossRef]
- Liu, X.K.; Wang, Y.W.; Xiao, J.W.; Yang, W. Distributed hierarchical control design of coupled heterogeneous linear systems under switching networks. Int. J. Robust Nonlinear Control 2017, 27, 1242–1259. [Google Scholar] [CrossRef]
- Li, S.B.; Zhang, J.; Li, X.L.; Wang, F.; Luo, X.; Guan, X. Formation control of heterogeneous discrete-time nonlinear multi-agent systems with uncertainties. IEEE Trans. Ind. Electron. 2017, 64, 4730–4740. [Google Scholar] [CrossRef]
- Hua, Y.Z.; Dong, X.W.; Hu, G.Q.; Li, Q.D.; Ren, Z. Distributed time-varying output formation tracking for heterogeneous linear multiagent systems with a nonautonomous leader of unknown input. IEEE Trans. Autom. Control 2019, 64, 4292–4299. [Google Scholar] [CrossRef]
- Wang, B. Cooperative Consensus for heterogeneous nonlinear multiagent systems under a leader having bounded unknown inputs. IEEE Trans. Syst. Man, Cybern. Syst. 2020, 51, 7075–7086. [Google Scholar] [CrossRef]
- Wei, Y.; Liu, G. Consensus tracking of heterogeneous discrete-time networked multiagent systems based on the networked predictive control scheme. IEEE Trans. Cybern. 2017, 47, 2173–2184. [Google Scholar] [CrossRef]
- Pei, H.; Chen, S.; Lai, Q.; Yan, H. Consensus Tracking for Heterogeneous Interdependent Group Systems. IEEE Trans. Cybern. 2020, 50, 1752–1760. [Google Scholar] [CrossRef]
- Zhang, Z.; Chen, S.; Zheng, Y. Fully distributed scaled consensus tracking of high-order multi-agent systems with time delays and disturbances. IEEE Trans. Ind. Inform. 2022, 18, 305–314. [Google Scholar] [CrossRef]
- Yu, J.L.; Dong, X.W.; Li, Q.D.; Ren, Z. Robust H∞ guaranteed cost time-varying formation tracking for high-order multiagent systems with time-varying delays. IEEE Trans. Syst. Man Cybern. Syst. 2020, 50, 1465–1475. [Google Scholar] [CrossRef]
- Du, H.; Wen, G.H.; Wu, D.; Cheng, Y.; Lü, J. Distributed fixed-time consensus for nonlinear heterogeneous multi-agent systems. Automatica 2020, 113, 108797. [Google Scholar] [CrossRef]
- Hua, Y.Z.; Dong, X.W.; Han, L.; Li, Q.D.; Ren, Z. Formation-containment tracking for general linear multi-agent systems with a tracking-leader of unknown control input. Syst. Control Lett. 2018, 122, 67–76. [Google Scholar] [CrossRef]
- Li, Z.; Liu, X.; Ren, W.; Xie, L. Distributed tracking control for linear multiagent systems with a leader of bounded unknown input. IEEE Trans. Autom. Control 2013, 58, 518–523. [Google Scholar] [CrossRef]
- Zhang, D.; Xu, Z.; Karimi, H.R.; Wang, Q.; Yu, L. Distributed H∞ output-feedback control for consensus of heterogeneous linear multiagent systems with aperiodic sampled-data communications. IEEE Trans. Ind. Electron. 2018, 65, 4145–4155. [Google Scholar] [CrossRef]
- Hong, H.F.; Anderson, B.D.O. Distributed fixed-time attitude tracking consensus for rigid spacecraft systems under directed graphs. IEEE Control Syst. Lett. 2020, 4, 698–703. [Google Scholar] [CrossRef]
- Godsil, C.; Royle, G. Algebraic Graph Theory; Springer: New York, NY, USA, 2010. [Google Scholar]
- Green, M.; Limebeer, D.J.N. Linear Robust Control; Prentice-Hall: Englewood Cliffs, NJ, USA, 1994. [Google Scholar]
- Polyakov, A. Nonlinear feedback design for fixed-time stabilization of linear control systems. IEEE Trans. Autom. Control 2012, 57, 2106–2110. [Google Scholar] [CrossRef]
- Xu, T.; Lv, G.; Duan, Z.; Sun, Z.; Yu, J. Distributed fixed-time triggering-based containment control for networked nonlinear agents under directed graphs. IEEE Trans. Circuits Syst. I Regul. Pap. 2020, 67, 3541–3552. [Google Scholar] [CrossRef]
- Ning, B.; Zuo, Z.; Jin, J.; Zheng, J. Distributed fixed-time coordinated tracking for nonlinear multi-agent systems under directed graphs. Asian J. Control 2018, 20, 646–658. [Google Scholar] [CrossRef]
- Penrose. A generalized inverse for matrices. Math. Proc. Camb. Philos. Soc. 1955, 51, 406–413. [Google Scholar] [CrossRef]
- Dong, Y.; Huang, J. Cooperative global output regulation for a class of nonlinear multi-agent systems. IEEE Trans. Autom. Control 2014, 59, 1348–1354. [Google Scholar] [CrossRef]
- Han, T.; Zheng, W.X. Bipartite output consensus for heterogeneous multi-agent systems via output regulation approach. IEEE Trans. Circuits Syst. II Express Briefs 2020, 68, 281–285. [Google Scholar] [CrossRef]






Disclaimer/Publisher’s Note: The statements, opinions and data contained in all publications are solely those of the individual author(s) and contributor(s) and not of MDPI and/or the editor(s). MDPI and/or the editor(s) disclaim responsibility for any injury to people or property resulting from any ideas, methods, instructions or products referred to in the content. |
© 2025 by the authors. Licensee MDPI, Basel, Switzerland. This article is an open access article distributed under the terms and conditions of the Creative Commons Attribution (CC BY) license (https://creativecommons.org/licenses/by/4.0/).
Share and Cite
Liu, J.; Yang, S.; Dong, C.; Song, P. Robust H∞ Time-Varying Formation Tracking for Heterogeneous Multi-Agent Systems with Unknown Control Input. Electronics 2025, 14, 2494. https://doi.org/10.3390/electronics14122494
Liu J, Yang S, Dong C, Song P. Robust H∞ Time-Varying Formation Tracking for Heterogeneous Multi-Agent Systems with Unknown Control Input. Electronics. 2025; 14(12):2494. https://doi.org/10.3390/electronics14122494
Chicago/Turabian StyleLiu, Jichuan, Song Yang, Chunxi Dong, and Peng Song. 2025. "Robust H∞ Time-Varying Formation Tracking for Heterogeneous Multi-Agent Systems with Unknown Control Input" Electronics 14, no. 12: 2494. https://doi.org/10.3390/electronics14122494
APA StyleLiu, J., Yang, S., Dong, C., & Song, P. (2025). Robust H∞ Time-Varying Formation Tracking for Heterogeneous Multi-Agent Systems with Unknown Control Input. Electronics, 14(12), 2494. https://doi.org/10.3390/electronics14122494
