Adaptive Virtual Inertial Control and Virtual Droop Control Coordinated Control Strategy for Hybrid Energy Storage Taking into Account State of Charge Optimization
Abstract
1. Introduction
2. This Paper’s Hybrid Energy Storage FR Framework
3. Primary FR model of a Regional Power System with Energy Storage
3.1. Primary FR Model for Conventional Thermal Power Units
3.2. Generalized Control Model for Primary FR of Energy Storage
3.3. Dynamic Modeling of Primary Frequency Regulation of Regional Power Systems with Energy Storage
4. Primary FR Control Strategy for Supercapacitor–Lithium Battery Counting and SOC Optimization
4.1. Adaptive Coordinated Control of VIC and VDC Based on Supercapacitor–Lithium Battery
4.2. Improved Generalized Logistic Function Design Method Based on Energy Storage Output Constraints
- (1)
- Primary FR Effectiveness Indicators
- (2)
- SOC Maintenance Effectiveness Indicators
5. Simulation Verification
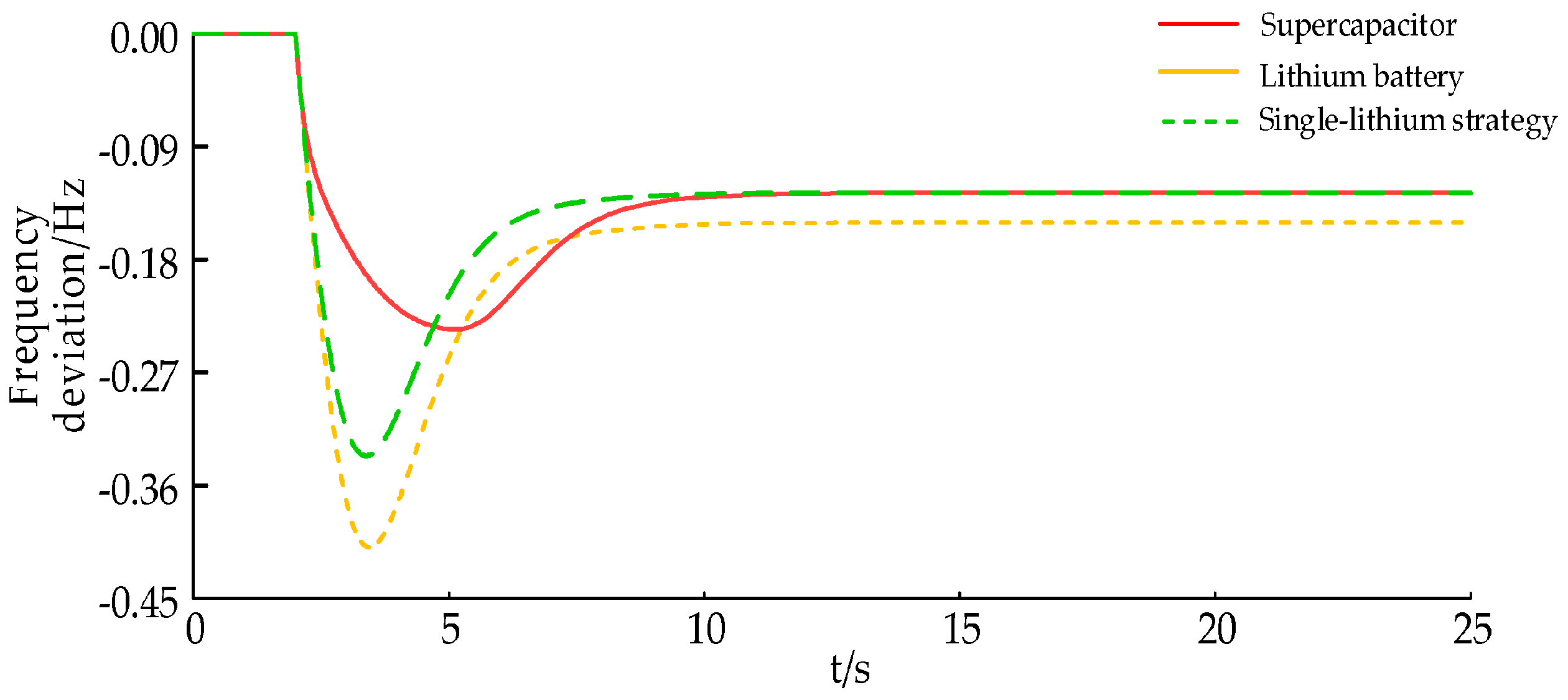
5.1. Analysis of Load Step Disturbance FR Effect
5.2. Analysis of the Effect of Continuous Load Perturbation FR
6. Conclusions
Author Contributions
Funding
Data Availability Statement
Conflicts of Interest
Nomenclature
| Variables | |
| Δf | frequency deviation |
| t | time index |
| SOC(t) | energy storage SOC at moment t |
| one FR cycle | |
| ΔPB(t) | output power of the energy storage at moment t |
| ΔPG(s) | output power of the thermal power unit |
| ΔPB(s) | output power of the energy storage |
| output power of the supercapacitor | |
| output power of the lithium battery | |
| Parameters | |
| TG | thermal unit governor time constant |
| TCH | turbine time constant |
| TRH | heater time constant |
| FHP | heater gain |
| energy storage time constant | |
| time constants of supercapacitor | |
| time constants of lithium battery | |
| D | system damping coefficient |
| H | inertia coefficient of the thermal power unit |
| inertia coefficient when VIC is used for energy storage | |
| sag coefficient when VDC is used for energy storage | |
| EBN | total capacity of the energy storage system |
| Kgen | primary unit regulation power of the thermal power unit |
| Abbreviations | |
| VIC | virtual inertial control |
| VDC | virtual droop control |
| SOC | state of charge |
| FR | frequency regulation |
References
- Cirio, D.; Conte, F.; Gabriele, B.; Gandolfi, C.; Rapizza, S.M.M.; Silvestro, F. Fast Frequency Regulation from a Wind Farm-BESS Unit by Model Predictive Control: Method and Hardware-in-The-Loop Validation. IEEE Trans. Sustain. Energy 2023, 14, 2049–2061. [Google Scholar] [CrossRef]
- Li, C.; Li, J.; Li, J.; Zhang, X.; Hou, T. Optimization strategy of secondary Frequency regulation based on dynamic loss model of the energy storage unit. J. Energy Storage 2022, 51, 104425. [Google Scholar] [CrossRef]
- Xiao, J.; Li, P.; Mao, Z. Battery Energy Storage Participating in Secondary Frequency Regulation Based on Fuzzy Allocation Factor. Power Syst. Technol. 2023, 47, 3568–3577. [Google Scholar] [CrossRef]
- Li, B.; Li, M.; Yan, S.; Zhang, Y.; Shi, B.; Ye, J. An optimal energy storage system sizing determination for improving the utilization and forecasting accuracy of photovoltaic (PV) power stations. Front. Energy Res. 2023, 10, 1074916. [Google Scholar] [CrossRef]
- Liu, Y.; Wang, Y.; Xu, M.; Xiao, Z. Wind Power Fluctuation Smooth Strategy Based on Digital Twin Hybrid Energy Storage. Power Syst. Technol. 2021, 45, 2503–2514. [Google Scholar] [CrossRef]
- Barra, P.H.A.; de Carvalho, W.C.; Menezes, T.S.; Fernandes, R.A.S.; Coury, D.V. A review on wind power smoothing using high-power energy storage systems. Renew. Sustain. Energy Rev. 2021, 137, 110455. [Google Scholar] [CrossRef]
- Wang, L.; Tan, L.; Xu, Z.; Tan, X.; Wu, C.; Ye, H.; Li, A. Lithium battery energy storage power station primary Frequency regulation designoptimization and verification. Energy Storage Sci. Technol. 2022, 11, 3862–3871. [Google Scholar] [CrossRef]
- Xiong, L.; Xiu, L.; Wang, H.; Xu, Z. Mechanism of Energy Storage System to Suppress Grid Power Oscillations. Trans. China Electrotech. Soc. 2019, 34, 4373–4380. [Google Scholar] [CrossRef]
- Zhao, J.; Xu, C.; Lu, X.; Xu, C. Optimization of Micro-grid Primary Frequency Regulation Reserve Capacity and Energy Storage System. Proc. CSEE 2017, 37, 4324–4332. [Google Scholar] [CrossRef]
- Liu, S.; Zhao, L.; Huang, S.; You, H.; Li, J.; Yang, L. Research on the mixed control strategy of the battery energy storage considering frequency modulation, peak regulation, and SOC. Energy Sci. Eng. 2022, 10, 3459–3470. [Google Scholar] [CrossRef]
- Xing, W.; Wang, H.; Lu, L.; Han, X.; Sun, K.; Ouyang, M. An adaptive virtual inertia control strategy for distributed battery energy storage system in microgrids. Energy 2021, 233, 121155. [Google Scholar] [CrossRef]
- Hasan, N.S.; Rosmin, N.; Nordin, N.M.; Abd Bakar, S.; Aman, A.H.M. Dynamic response of hybrid energy storage based virtual inertial support in wind application. J. Energy Storage 2022, 53, 105181. [Google Scholar] [CrossRef]
- Xing, P.; Shi, Q.; Wang, G.; Fu, L.; Wang, Y.; Wu, Y. Response Characteristics and Mechanism Analysis About Virtual lnertia Control of Wind Generators. High Volt. Eng. 2018, 44, 1302–1310. [Google Scholar] [CrossRef]
- Gupta, S.; Mukhopadhyay, S.; Banerji, A.; Sanki, P.; Biswas, S.K. Adaptive Droop Control for Voltage and Frequency Regulation in Virtual Power Plant under Power System Contingencies. Jordan J. Electr. Eng. 2023, 9, 618–649. [Google Scholar] [CrossRef]
- Obaid, Z.A.; Cipcigan, L.M.; Muhssin, M.T.; Sami, S.S. Control of a population of battery energy storage systems for frequency response. Int. J. Electr. Power Energy Syst. 2020, 115, 105463. [Google Scholar] [CrossRef]
- Xiao, J.; Jia, Y.; Jia, B.; Li, Z.; Pan, Y.; Wang, Y. An inertial droop control based on comparisons between virtual synchronous generator and droop control in inverter-based distributed generators. Energy Rep. 2020, 6, 104–112. [Google Scholar] [CrossRef]
- Hernández, J.C.; Sanchez-Sutil, F.; Vidal, P.G.; Rus-Casas, C. Primary frequency control and dynamic grid support for vehicle-to-grid in transmission systems. Int. J. Electr. Power Energy Syst. 2018, 100, 152–166. [Google Scholar] [CrossRef]
- Tan, Z.; Li, X.; He, L.; Li, Y.; Huang, J. Primary frequency control with BESS considering adaptive SoC recovery. Int. J. Electr. Power Energy Syst. 2020, 117, 105588. [Google Scholar] [CrossRef]
- Chen, C.; Li, X.; Zhang, B.; Yang, T. Energy storage peak and Frequency regulation cooperative control strategy based on multi-time-scale. Dianli Xitong Baohu Yu Kongzhi/Power Syst. Prot. Control 2022, 50, 94–105. [Google Scholar] [CrossRef]
- Cao, Y.; Wu, Q.; Zhang, H.; Li, C. Optimal sizing of hybrid energy storage system considering power smoothing and transient frequency regulation. Int. J. Electr. Power Energy Syst. 2022, 142, 108227. [Google Scholar] [CrossRef]
- Gao, S.; Li, J.; Song, H.; Ding, L.; Zhang, C. An integrated thermal power-energy storage system for improving primary frequency regulation performance of thermal power units. Power Syst. Prot. Control 2023, 51, 116–125. [Google Scholar] [CrossRef]
- Zhang, X.; Qin, S.; Zhang, Y.; Hao, S.; Wu, Q.; Zhang, J. Wind Turbine and Storage Joint Frequency regulation Control Strategy Considering Energy Storage State of Charge. High Volt. Eng. 2023, 49, 4120–4130. [Google Scholar] [CrossRef]
- Zhu, X.; Han, X. The adaptive control strategy of energy storage battery cooperating with conventional generating units to participate in primary frequency regulation. Electr. Meas. Instrum. 2023, 60, 34–42. [Google Scholar] [CrossRef]
- Zhang, Y.; Zhao, C.; Tang, W.; Low, S. Profit-Maximizing Planning and Control of Battery Energy Storage Systems for Primary Frequency Control. IEEE Trans. Smart Grid 2018, 9, 712–723. [Google Scholar] [CrossRef]













| Type of Energy Storage | Charging Time | Discharging Time | Power Density (W/kg) | Energy Density (Wh/kg) |
|---|---|---|---|---|
| Power Energy Storage-Supercapacitor | 1~30 s | 1~30 s | 1000~2000 | 1~10 |
| Energy Storage-Lithium Battery | 1~5 h | 0.3~3 h | 50~200 | 20~100 |
| Type of Energy Storage | Investment Cost of Energy Storage per Unit of Power | Investment Cost per Unit Capacity of Energy Storage |
|---|---|---|
| Power Energy Storage—Supercapacitor | CNY 1000~2000/kW | CNY 40 × 104~100 × 104/kWh |
| Energy Storage—Lithium Battery | CNY 8400~28,000/kW | CNY 2500~3000/kWh |
| Parameters | Numerical Value | Parameters | Numerical Value |
|---|---|---|---|
| H | 5 | D | 1 |
| Kgen | 20 | 12, 24 | |
| TB,cap, TB,li | 0.08, 0.2 | TG | 0.1 |
| FHP | 0.5 | TCH, TRH | 0.3, 10 |
| FHP | 0.5 | TCH, TRH | 0.3, 10 |
| Methodologies | |||||
|---|---|---|---|---|---|
| Paper strategy | −0.2355 | −0.1267 | 0.2842 | 8.27 × 10−4 | 4.23 × 10−4 |
| Single-lithium strategy | −0.3366 | −0.1267 | 0.2430 | 4.24 × 10−4 | |
| No energy storage | −0.3366 | −0.1267 | 0.2430 | / | |
| Methodologies | |||
|---|---|---|---|
| Paper strategy | 0.1547 | 0.1454 | 0.0803 |
| Without logistic | 0.1524 | 0.2057 | 0.0820 |
| Single-lithium strategy | 0.1914 | 0.0856 | |
| No energy storage | 0.2215 | / | |
Disclaimer/Publisher’s Note: The statements, opinions and data contained in all publications are solely those of the individual author(s) and contributor(s) and not of MDPI and/or the editor(s). MDPI and/or the editor(s) disclaim responsibility for any injury to people or property resulting from any ideas, methods, instructions or products referred to in the content. |
© 2024 by the authors. Licensee MDPI, Basel, Switzerland. This article is an open access article distributed under the terms and conditions of the Creative Commons Attribution (CC BY) license (https://creativecommons.org/licenses/by/4.0/).
Share and Cite
Xing, C.; Xiao, J.; Li, P.; Xi, X.; Chen, Y.; Guo, Q. Adaptive Virtual Inertial Control and Virtual Droop Control Coordinated Control Strategy for Hybrid Energy Storage Taking into Account State of Charge Optimization. Electronics 2024, 13, 1228. https://doi.org/10.3390/electronics13071228
Xing C, Xiao J, Li P, Xi X, Chen Y, Guo Q. Adaptive Virtual Inertial Control and Virtual Droop Control Coordinated Control Strategy for Hybrid Energy Storage Taking into Account State of Charge Optimization. Electronics. 2024; 13(7):1228. https://doi.org/10.3390/electronics13071228
Chicago/Turabian StyleXing, Chao, Jiajie Xiao, Peiqiang Li, Xinze Xi, Yunhe Chen, and Qi Guo. 2024. "Adaptive Virtual Inertial Control and Virtual Droop Control Coordinated Control Strategy for Hybrid Energy Storage Taking into Account State of Charge Optimization" Electronics 13, no. 7: 1228. https://doi.org/10.3390/electronics13071228
APA StyleXing, C., Xiao, J., Li, P., Xi, X., Chen, Y., & Guo, Q. (2024). Adaptive Virtual Inertial Control and Virtual Droop Control Coordinated Control Strategy for Hybrid Energy Storage Taking into Account State of Charge Optimization. Electronics, 13(7), 1228. https://doi.org/10.3390/electronics13071228
