Interference Situational Aware Beam Pointing Optimization for Dense LEO Satellite Communication System
Abstract
1. Introduction
- With the time-varying interfering satellite set and minimum elevation constraint, the AoD and AoA of communication and interfering links can be calculated. Then, the AoD and AoA of interfering links are stored to construct the interference situational aware database, which is used for further beam pointing optimization;
- With the interference situational aware database, the optimal beam pointing can be modeled as a non-convex optimization problem, and a distributed method based on particle swarm optimization (PSO) is proposed to maximize the signal-to-interference plus noise ratio (SINR) of each UT;
- The performance of the proposed interference situational aware beam pointing optimization technology is verified by the simulation results.
2. System Model and Problem Formulation
2.1. System Configuration
2.2. Antenna Model
2.3. Signal Model
2.4. Problem Formulation
3. Interference Situational Aware Beam Pointing Optimization
3.1. Interference Situational Awareness
3.2. Beam Pointing Optimization
| Algorithm 1 Beam pointing optimization based on PSO |
|
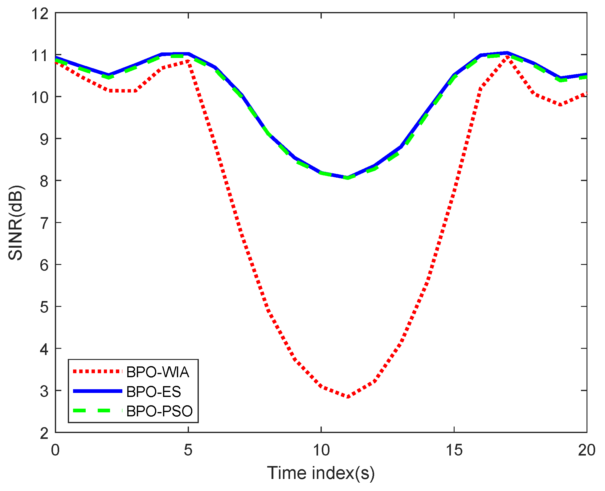
4. Results
5. Conclusions
Author Contributions
Funding
Institutional Review Board Statement
Informed Consent Statement
Data Availability Statement
Conflicts of Interest
Abbreviations
| LEO | Low earth orbit |
| AoD | Angle of departure |
| AoA | Angle of arrival |
| PSO | Particle swarm optimization |
| UT | User terminal |
| SINR | Signal-to-interference plus noise ratio |
| GEO | Geostationary earth orbit |
| NGEO | Non-geostationary earth orbit |
| SI | Spatial isolation |
| CR | Cognitive radio |
| APC | Adaptive power control |
| BH | Beam hopping |
| BPO | Beam pointing optimization |
| URAs | Uniform rectangular arrays |
| PL | Path loss |
| LCS | Local coordinate system |
| GCS | Global coordinate system |
| ECEF | Earth-centered Earth-fixed |
| LCS-S | Local coordinate system of serving satellite |
| LCS-I | Local coordinate system of interfering satellite |
| LCS-U | Local coordinate system of the UT |
| STK | Satellite Tool Kit |
| ES | Exhaustive search |
| BPO-WIA | Without beam pointing optimization for interference avoidance |
| BPO-ES | Beam pointing optimization using ES |
| BPO-PSO | Beam pointing optimization using PSO |
| CCDF | Complementary cumulative distribution function |
| EPFD | Equivalent power flux density |
| CDF | Cumulative distribution function |
References
- Wang, T.; Li, W.; Li, Y. Co-Frequency interference analysis between large-scale NGSO constellations and GSO systems. In Proceedings of the 12th International Conference on Wireless Communications and Signal Processing (WCSP), Nanjing, China, 21–23 October 2020; pp. 679–684. [Google Scholar] [CrossRef]
- Neinavaie, M.; Khalife, J.; Kassas, Z.M. Acquisition, Doppler tracking, and positioning with Starlink LEO satellites: First results. IEEE Trans. Aerosp. Electron. Syst. 2022, 58, 2606–2610. [Google Scholar] [CrossRef]
- Del Portillo, I.; Cameron, B.G.; Crawley, E.F. A technical comparison of three low earth orbit satellite constellation systems to provide global broadband. Acta Astronaut. 2019, 159, 123–135. [Google Scholar] [CrossRef]
- Zhang, H. Spatial isolation methodology analysis in Ka band for LEO-GEO coexistence systems. In Proceedings of the 2018 International Conference on Robots & Intelligent System (ICRIS), Changsha, China, 26–27 May 2018; pp. 291–295. [Google Scholar] [CrossRef]
- Al-Hraishawi, H.; Chougrani, H.; Kisseleff, S.; Lagunas, E.; Chatzinotas, S. A survey on nongeostationary satellite systems: The communication perspective. IEEE Commun. Surv. Tutor. 2023, 25, 101–132. [Google Scholar] [CrossRef]
- Huangt, W.; Liu, Y.; Wang, W.; Geng, J. A GSO protected area calculation model based on controllable NGSO system parameters. In Proceedings of the 2021 IEEE Symposium on Computers and Communications (ISCC), Athens, Greece, 5–8 September 2021; pp. 1–6. [Google Scholar] [CrossRef]
- Zhang, C.; Jiang, C.; Kuang, L.; Jin, J.; He, Y.; Han, Z. Spatial spectrum sharing for satellite and terrestrial communication networks. IEEE Trans. Aerosp. Electron. Syst. 2019, 55, 1075–1089. [Google Scholar] [CrossRef]
- Yin, L.; Yang, R.; Yang, Y.; Deng, L.; Li, S. Beam pointing optimization based downlink interference mitigation technique between NGSO satellite systems. IEEE Wirel. Commun. Lett. 2021, 10, 2388–2392. [Google Scholar] [CrossRef]
- Pandian, P.; Selvaraj, C.; Bhalaji, N.; Arun Depak, K.G.; Saikrishnan, S. Machine learning based spectrum prediction in cognitive radio networks. In Proceedings of the 2023 International Conference on Networking and Communications (ICNWC), Chennai, India, 5–6 April 2023; pp. 1–6. [Google Scholar] [CrossRef]
- Rapetswa, K.; Cheng, L. Towards a multi-agent reinforcement learning approach for joint sensing and sharing in cognitive radio networks. Intell. Converg. Netw. 2023, 4, 50–75. [Google Scholar] [CrossRef]
- Somula, L.R.; Meena, M. K-nearest neighbour (KNN) algorithm based cooperative spectrum sensing in cognitive radio networks. In Proceedings of the 4th International Conference on Cybernetics, Cognition and Machine Learning Applications (ICCCMLA), Goa, India, 8–9 October 2022; pp. 1–6. [Google Scholar] [CrossRef]
- Gu, P.; Li, R.; Hua, C.; Tafazolli, R. Dynamic cooperative spectrum sharing in a multi-beam LEO-GEO co-existing satellite system. IEEE Trans. Wirel. Commun. 2022, 21, 1170–1182. [Google Scholar] [CrossRef]
- Zhang, C.; Jiang, C.; Jin, J.; Wu, S.; Kuang, L.; Guo, S. Spectrum sensing and recognition in satellite systems. IEEE Trans. Veh. Technol. 2019, 68, 2502–2516. [Google Scholar] [CrossRef]
- Wang, Y.; Ding, X.; Zhang, G. A novel dynamic spectrum-sharing method for GEO and LEO satellite networks. IEEE Access 2020, 8, 147895–147906. [Google Scholar] [CrossRef]
- Sharma, S.K.; Chatzinotas, S.; Ottersten, B. In-line interference mitigation techniques for spectral coexistence of GEO and NGEO satellites. Int. J. Satell. Commun. Netw. 2016, 34, 11–39. [Google Scholar] [CrossRef]
- Li, R.; Gu, P.; Hua, C. Optimal beam power control for co-existing multibeam GEO and LEO satellite system. In Proceedings of the 2019 11th International Conference on Wireless Communications and Signal Processing (WCSP), Xi’an, China, 23–25 October 2019; pp. 1–6. [Google Scholar] [CrossRef]
- Lin, Z.; Ni, Z.; Kuang, L.; Jiang, C.; Huang, Z. NGSO satellites beam hopping strategy based on load balancing and interference avoidance for coexistence with GSO systems. IEEE Commun. Lett. 2023, 27, 278–282. [Google Scholar] [CrossRef]
- Lin, Z.; Ni, Z.; Kuang, L.; Jiang, C.; Huang, Z. Multi-satellite beam hopping based on load balancing and interference avoidance for NGSO satellite communication systems. IEEE Trans. Commun. 2023, 71, 282–295. [Google Scholar] [CrossRef]
- Zhang, C.; Jin, J.; Zhang, H.; Li, T. Spectral coexistence between LEO and GEO satellites by optimizing direction normal of phased array antennas. China Commun. 2018, 15, 18–27. [Google Scholar] [CrossRef]
- Su, Y.; Liu, Y.; Zhou, Y.; Yuan, J.; Cao, H.; Shi, J. Broadband LEO satellite communications: Architectures and key technologies. IEEE Wirel. Commun. 2019, 26, 55–61. [Google Scholar] [CrossRef]
- Matricciani, E. Geocentric spherical surfaces emulating the geostationary orbit at any latitude with zenith links. Future Internet 2020, 12, 16. [Google Scholar] [CrossRef]
- 3GPP. Study of Radio Frequency (RF) and Electromagnetic Compatibility (EMC) Requirements for Active Antenna Array System (AAS) Base Station (Release 12). Technical Report (TR) 37.840, 3rd Generation Partnership Project (3GPP), Version 12.1.0. 2013. Available online: https://portal.3gpp.org/desktopmodules/Specifications/SpecificationDetails.aspx?specificationId=2624 (accessed on 1 June 2022).
- 3GPP. Study on New Radio (NR) to Support Non-Terrestrial Networks (Release 15). Technical Report (TR) 38.811, 3rd Generation Partnership Project (3GPP). Version 15.14.0. 2020. Available online: https://www.3gpp.org/dynareport?code=38-series.htm&device=desktop (accessed on 2 October 2020).
- Propagation Data and Prediction Methods Required for the Design of Earth-Space Telecommunication Systems; ITU-R P.618-13 Technical Report; International Telecommunication Union: Geneva, Switzerland, 2017.
- Lu, C.S.; Zhao, Z.W.; Wu, Z.S.; Lin, L.K.; Thiennviboon, P.; Zhang, X.; Lv, Z.F. A new rain attenuation prediction model for the earth-space links. IEEE Trans. Antennas Propag. 2018, 66, 5432–5442. [Google Scholar] [CrossRef]
- Momin, M.; Alam, M.M.; Hasan Mahfuz, M.M.; Islam, M.R.; Hadi Habaebi, M.; Badron, K. Prediction of rain attenuation on earth-to-satellite link using rain rate measurement with various integration times. In Proceedings of the 2021 8th International Conference on Computer and Communication Engineering (ICCCE), Kuala Lumpur, Malaysia, 22–23 June 2021; pp. 385–390. [Google Scholar] [CrossRef]
- Capsoni, C.; Matricciani, E.; Mauri, M. SIRIO-OTS 12 GHz orbital diversity experiment at Fucino. IEEE Trans. Antennas Propag. 1990, 38, 777–782. [Google Scholar] [CrossRef]
- Matricciani, E.; Mauri, M. Italsat-Olympus 20-GHz orbital diversity experiment at Spino d’Adda. IEEE Trans. Antennas Propag. 1995, 43, 105–108. [Google Scholar] [CrossRef]
- Matricciani, E. Prediction of orbital diversity performance in satellite communication systems affected by rain attenuation. Int. J. Satell. Commun. 1997, 15, 45–50. [Google Scholar] [CrossRef]
- Mohd Zain, A.F.; Albendag, A.A.M. Improving ITU-R rain attenuation model for HAPS earth-space link. In Proceedings of the 2013 IEEE International Conference on Space Science and Communication (IconSpace), Melaka, Malaysia, 1–3 July 2013; pp. 56–59. [Google Scholar] [CrossRef]
- Kourogiorgas, C.; Panagopoulos, A.D. A rain-attenuation stochastic dynamic model for LEO satellite systems above 10 GHz. IEEE Trans. Vehi. Technol. 2015, 64, 829–834. [Google Scholar] [CrossRef]
- Lin, Z.; Ni, Z.; Kuang, L.; Jiang, C.; Huang, Z. Dynamic beam pattern and bandwidth allocation based on multi-agent deep reinforcement learning for beam hopping satellite systems. IEEE Trans. Veh. Technol. 2022, 71, 3917–3930. [Google Scholar] [CrossRef]
- Shami, T.M.; El-Saleh, A.A.; Alswaitti, M.; Al-Tashi, Q.; Summakieh, M.A.; Mirjalili, S. Particle swarm optimization: A comprehensive survey. IEEE Access 2022, 10, 10031–10061. [Google Scholar] [CrossRef]
- 3GPP. Study on Channel Model for Frequencies from 0.5 to 100 GHz (Release 17). Technical Report (TR) 38.901, 3rd Generation Partnership Project (3GPP). Version 17.0.0. 2022. Available online: https://portal.3gpp.org/desktopmodules/Specifications/SpecificationDetails.aspx?specificationId=3173 (accessed on 19 March 2022).
- Mathebula, T.; Chowdhury, S. Optimal placement of distributed energy resources using particle swarm optimization techniques: A review. In Proceedings of the 2020 IEEE PES/IAS PowerAfrica, Nairobi, Kenya, 25–28 August 2020; pp. 1–5. [Google Scholar] [CrossRef]
- Duan, Y.; Chen, N.; Chang, L.; Ni, Y.; Kumar, S.V.N.S.; Zhang, P. CAPSO: Chaos adaptive particle swarm optimization algorithm. IEEE Access 2022, 10, 29393–29405. [Google Scholar] [CrossRef]
- Pachler, N.; del Portillo, I.; Crawley, E.F.; Cameron, B.G. An updated comparison of four low earth orbit satellite constellation systems to provide global broadband. In Proceedings of the 2021 IEEE International Conference on Communications Workshops (ICC Workshops), Montreal, QC, Canada, 14–23 June 2021; pp. 1–7. [Google Scholar] [CrossRef]
- Available online: https://www.ansys.com/products/missions/ansys-stk (accessed on 21 March 2021).
- 3GPP. Study on Solutions for NR to Support Non-Terrestrial Networks (Release 16). Technical Report (TR) 38.821, 3rd Generation Partnership Project (3GPP). Version 16.2.0. 2023. Available online: https://portal.3gpp.org/desktopmodules/Specifications/SpecificationDetails.aspx?specificationId=3525 (accessed on 1 April 2023).
- ITU. Radio Regulations; Technical Report, R-REG-RR; International Telecommunication Union: Geneva, Switzerland, 2012. [Google Scholar]













| Notation | Definition |
|---|---|
| Antenna gain of transmitter and receiver | |
| Elevation and azimuth angles of AoD | |
| Beam center pointing of the satellite antenna | |
| Elevation and azimuth angles of AoA | |
| Beam center pointing of UT antenna | |
| Elevation and azimuth angles of AoA of communication link | |
| Horizontal and vertical 3 dB beamwidth of the UT antenna | |
| Number of arrays placed along x-axis and y-axis of the satellite antenna | |
| Separation of two array elements on x-axis and y-axis of the satellite antenna | |
| Number of array elements placed along x-axis and y-axis of the UT antenna | |
| Separation of two array elements on x-axis and y-axis of the UT antenna | |
| AoD and AoA of communication link | |
| AoD and AoA of dth interfering link from qth interfering satellite | |
| Beam center pointing of serving satellite antenna | |
| Optimized beam center pointing of UT antenna |
| Altitude | Inclination | Planes | Satellites per Plane |
|---|---|---|---|
| 1200 km | 87.9° | 36 | 49 |
| 1200 km | 55° | 32 | 72 |
| 1200 km | 40° | 32 | 72 |
| Scenario Parameters | Symbol | Value |
|---|---|---|
| Earth radius | 6378 km | |
| Satellite orbital radius | R | 7578 km |
| Satellite orbital altitude | h | 1200 km |
| Carrier frequency | 20 GHz [39] | |
| Bandwidth | 400 MHz [39] | |
| Minimum visibility elevation angle of the UT | [3] | |
| Number of satellite beams | 16 [3] | |
| Satellite EIRP density | 10 dBW/MHz [39] | |
| Satellite beam radius | r | 20 km [39] |
| Peak gain of satellite antenna | dBi [39] | |
| Peak gain of UT antenna | dBi [39] | |
| Vertical 3 dB beamwidth of UT antenna | 1.48° | |
| Horizontal 3 dB beamwidth of UT antenna | 1.48° | |
| System temperature | T | 290 K |
| PSO Parameters | Symbol | Value |
| Number of particles | J | 10 |
| Maximum iterations | M | 30 |
| Minimum velocity | ||
| Maximum velocity | ||
| Minimum inertia weight | [33] | |
| Maximum inertia weight | [33] |
| Computation Complexity | Setting | Time Consumption |
|---|---|---|
| BPO-ES = | grid = 0.1° | s |
| BPO-PSO = | s | |
| s | ||
| s | ||
| s |
Disclaimer/Publisher’s Note: The statements, opinions and data contained in all publications are solely those of the individual author(s) and contributor(s) and not of MDPI and/or the editor(s). MDPI and/or the editor(s) disclaim responsibility for any injury to people or property resulting from any ideas, methods, instructions or products referred to in the content. |
© 2024 by the authors. Licensee MDPI, Basel, Switzerland. This article is an open access article distributed under the terms and conditions of the Creative Commons Attribution (CC BY) license (https://creativecommons.org/licenses/by/4.0/).
Share and Cite
He, M.; Cui, G.; Wang, W.; Cheng, X.; Xu, L. Interference Situational Aware Beam Pointing Optimization for Dense LEO Satellite Communication System. Electronics 2024, 13, 1096. https://doi.org/10.3390/electronics13061096
He M, Cui G, Wang W, Cheng X, Xu L. Interference Situational Aware Beam Pointing Optimization for Dense LEO Satellite Communication System. Electronics. 2024; 13(6):1096. https://doi.org/10.3390/electronics13061096
Chicago/Turabian StyleHe, Mengmin, Gaofeng Cui, Weidong Wang, Xinzhou Cheng, and Lexi Xu. 2024. "Interference Situational Aware Beam Pointing Optimization for Dense LEO Satellite Communication System" Electronics 13, no. 6: 1096. https://doi.org/10.3390/electronics13061096
APA StyleHe, M., Cui, G., Wang, W., Cheng, X., & Xu, L. (2024). Interference Situational Aware Beam Pointing Optimization for Dense LEO Satellite Communication System. Electronics, 13(6), 1096. https://doi.org/10.3390/electronics13061096

