Comparison of Proton and Gamma Irradiation on Single-Photon Avalanche Diodes
Abstract
1. Introduction
2. Experimental Design
3. Results
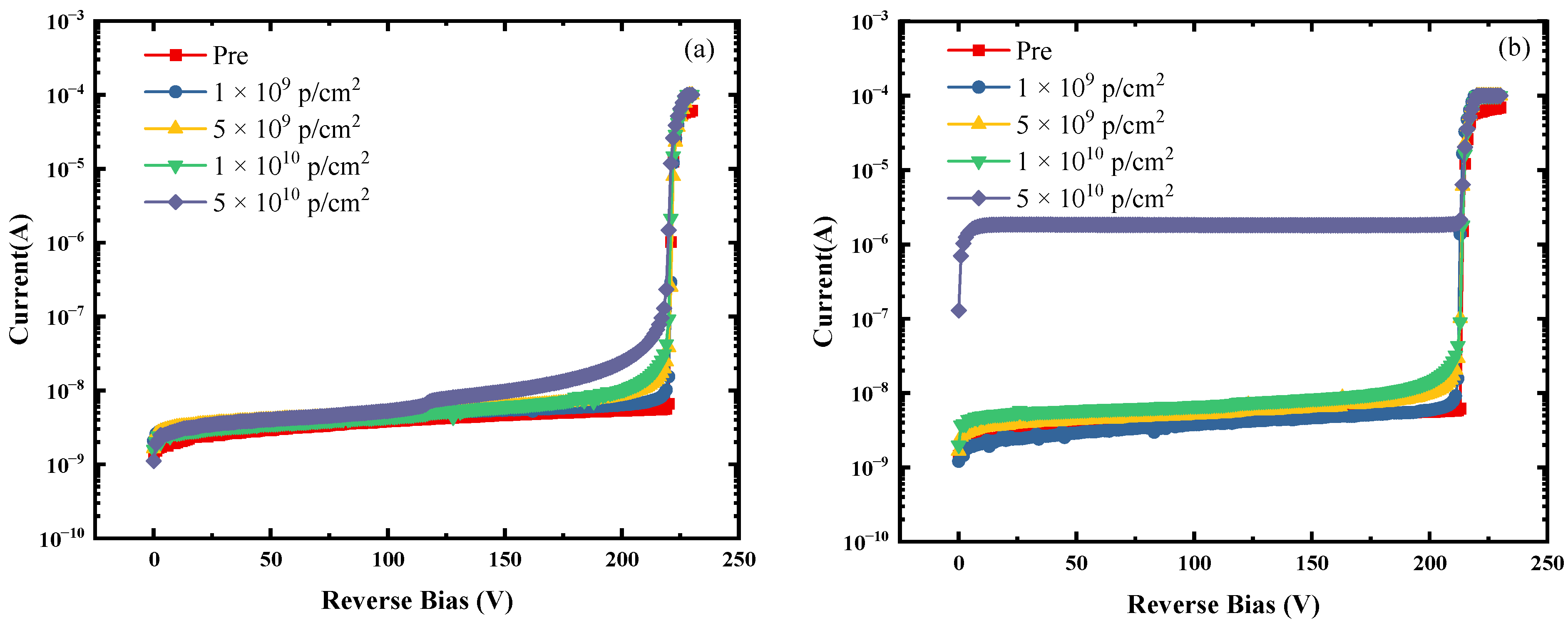
3.1. I–V Characteristics
3.2. Multiplication
3.3. Spectral Response
4. Discussion
5. Conclusions
- The leakage current of the SPAD increases with the increase in TID. Under the “ONM=100”-bias condition, the increase in the leakage current is significantly larger than that under the “OFF”-bias condition. After 30 krad(Si) gamma irradiation, the leakage current increases to 20.94 nA, resulting in device failure. The change in the leakage current after proton irradiation follows a similar trend as that after gamma irradiation. However, by comparing the parameter degradation laws of protons and gamma rays under the same TID, it is found that the leakage current of the device is more sensitive to the displacement radiation damage caused by protons.
- Under “OFF”-bias conditions, the gain after gamma irradiation is almost unchanged, meaning that there is no significant change in photocurrent generation. However, after proton irradiation, both the multiplied dark current and the non-multiplied dark current increase significantly compared to before irradiation, leading to an increase in gain.
- The spectral response after gamma irradiation exhibits fluctuations in the wavelength range of 700–900 nm, while it remains unchanged in other wavelength ranges. When the proton irradiation fluence reaches 1 × 1011 p/cm2, the displacement damage defects affect the photoelectron multiplication process, resulting in a decrease in the photocurrent and a decrease in the spectral response.
- The cross-section for the formation of displacement damage defects by protons in silicon is 1.05 × 105 times greater than the scattering cross-section of gamma rays. The elastic collisions and nuclear reactions between protons and silicon atoms are the main causes of displacement damage in silicon. For SPADs, their parameter degradation is more sensitive to displacement radiation damage.
- Gamma and proton tests conducted under GTO altitude, a four-year on-orbit mission, and two shielding conditions indicate that the SPAD device will not experience significant performance degradation in leakage current, gain and spectral response parameters. Further testing is required to verify other parameters such as dark count rate (DCR) and photon detection probability (PDP) in these conditions.
Author Contributions
Funding
Data Availability Statement
Conflicts of Interest
References
- Cusini, I.; Berretta, D.; Conca, E.; Incoronato, A.; Madonini, F.; Maurina, A.A.; Nonne, C.; Riccardo, S.; Villa, F. Historical Perspectives, State of art and Research Trends of Single Photon Avalanche Diodes and Their Applications (Part 1: Single Pixels). Front. Phys. 2022, 10, 1–12. [Google Scholar] [CrossRef]
- Cusini, I.; Berretta, D.; Conca, E.; Incoronato, A.; Madonini, F.; Maurina, A.A.; Nonne, C.; Riccardo, S.; Villa, F. Historical Perspectives, State of Art and Research Trends of SPAD Arrays and Their Applications (Part II: SPAD Arrays). Front. Phys. 2022, 10, 1–20. [Google Scholar] [CrossRef]
- Zhang, J.; Itzler, M.A.; Zbinden, H.; Pan, J.-W. Advances in InGaAs/InP single-photon detector systems for quantum communication. Light Sci. Appl. 2015, 4, e286. [Google Scholar] [CrossRef]
- Tétrault, M.A.; Lamy, É.; Boisvert, A.; Fontaine, R.; Pratte, J.F. Low Dead Time Digital SPAD Readout Architecture for Realtime Small Animal PET. In Proceedings of the 60th IEEE Nuclear Science Symposium (NSS)/Medical Imaging Conference (MIC)/20th International Workshop on Room-Temperature Semiconductor X-ray and Gamma-ray Detectors, Seoul, Republic of Korea, 27 October–2 November 2013. [Google Scholar]
- Campajola, M.; Di Capua, F.; Fiore, D.; Nappi, C.; Sarnelli, E.; Gasparini, L. Long-Term Degradation Study of CMOS SPADs in Space Radiation Environment. In Proceedings of the 18th European Conference on Radiation and Its Effects on Components and Systems (RADECS), COBHAM, Goteburg, Sweden, 16–21 September 2018; IEEE: New York, NY, USA, 2018. [Google Scholar]
- Haitz, R.H. Model for the Electrical Behavior of a Microplasma. J. Appl. Phys. 1964, 35, 1370–1376. [Google Scholar] [CrossRef]
- Haitz, R.H. Mechanisms Contributing to the Noise Pulse Rate of Avalanche Diodes. J. Appl. Phys. 1965, 36, 3123–3131. [Google Scholar] [CrossRef]
- McIntyre, R.J. A new look at impact ionization—Part I: A theory of gain, noise, breakdown probability, and frequency response. IEEE Trans. Electron Devices 1999, 46, 1623–1631. [Google Scholar] [CrossRef]
- Yuan, P.; Anselm, K.A.; Hu, C.; Nie, H.; Lenox, C.; Holmes, A.L.; Streetman, B.C.; Campbell, J.C.; McIntyre, R.J. A new look at impact ionization—Part II: Gain and noise in short avalanche photodiodes. IEEE Trans. Electron Devices 1999, 46, 1632–1639. [Google Scholar] [CrossRef]
- Zhao, J.X.; Milanese, T.; Gramuglia, F.; Keshavarzian, P.; Tan, S.S.; Tng, M.; Lim, L.; Dhulla, V.; Quek, E.; Lee, M.J.; et al. On Analog Silicon Photomultipliers in Standard 55-nm BCD Technology for LiDAR Applications. IEEE J. Sel. Top. Quantum Electron. 2022, 28, 10. [Google Scholar] [CrossRef]
- Marisaldi, M.; Maccagnani, P.; Moscatelli, F.; Labanti, C.; Fuschino, F.; Prest, M.; Berra, A.; Bolognini, D.; Ghioni, M.; Rech, I.; et al. Single Photon Avalanche Diodes for Space Applications. In Proceedings of the IEEE Nuclear Science Symposium/Medical Imaging Conference (NSS/MIC)/18th International Workshop on Room-Temperature Semiconductor X-ray and Gamma-Ray Detectors, Valencia, Spain, 23–29 October 2011. [Google Scholar]
- Wu, M.L.; Ripiccini, E.; Kizilkan, E.; Gramuglia, F.; Keshavarzian, P.; Fenoglio, C.A.; Morimoto, K.; Charbon, E. Radiation Hardness Study of Single-Photon Avalanche Diode for Space and High Energy Physics Applications. Sensors 2022, 22, 2919. [Google Scholar] [CrossRef]
- Vignetti, M.M.; Calmon, F.; Pittet, P.; Pares, G.; Cellier, R.; Quiquerez, L.; Savoy-Navarro, A. Development of a 3D Silicon Coincidence Avalanche Detector for Charged Particle Tracking in Medical Applications. In Proceedings of the IEEE Nuclear Science Symposium/Medical Imaging Conference/Room-Temperature Semiconductor Detector Workshop (NSS/MIC/RTSD), Strasbourg, France, 29 October–6 November 2016; IEEE: New York, NY, USA, 2016. [Google Scholar]
- Dauler, E.A.; Grein, M.E.; Kerman, A.J.; Marsili, F.; Miki, S.; Nam, S.W.; Shaw, M.D.; Terai, H.; Verma, V.B.; Yamashita, T. Review of superconducting nanowire single-photon detector system design options and demonstrated performance. Opt. Eng. 2014, 53, 13. [Google Scholar] [CrossRef]
- Gansen, E.J.; Rowe, M.A.; Harrington, S.D.; Nehls, J.M.; Etzel, S.M.; Nam, S.W.; Mirin, R.P. Temperature dependence of the single-photon sensitivity of a quantum dot, optically gated, field-effect transistor. J. Appl. Phys. 2013, 114, 6. [Google Scholar] [CrossRef]
- Vert, A.; Soloviev, S.; Fronheiser, J.; Sandvik, P. Solar-Blind 4H-SiC Single-Photon Avalanche Diode Operating in Geiger Mode. IEEE Photonics Technol. Lett. 2008, 20, 1587–1589. [Google Scholar] [CrossRef]
- Reddy, D.V.; Nerem, R.R.; Nam, S.W.; Mirin, R.P.; Verma, V.B. Superconducting nanowire single-photon detectors with 98% system detection efficiency at 1550 nm. Optica 2020, 7, 1649–1653. [Google Scholar] [CrossRef]
- Natarajan, C.M.; Tanner, M.G.; Hadfield, R.H. Superconducting nanowire single-photon detectors: Physics and applications. Supercond. Sci. Technol. 2012, 25, 16. [Google Scholar] [CrossRef]
- Rosenberg, D.; Kerman, A.J.; Molnar, R.J.; Dauler, E.A. High-speed and high-efficiency superconducting nanowire single photon detector array. Opt. Express 2013, 21, 1440–1447. [Google Scholar] [CrossRef] [PubMed]
- Ni, K.; Zhang, E.X.; Schrimpf, R.D.; Fleetwood, D.M.; Reed, R.A.; Alles, M.L.; Lin, J.Q.; del Alamo, J.A. Gate Bias and Geometry Dependence of Total-Ionizing-Dose Effects in InGaAs Quantum-Well MOSFETs. IEEE Trans. Nucl. Sci. 2017, 64, 239–244. [Google Scholar] [CrossRef]
- Kılıç, A.; Koçak, F.; Piliçer, E.; Tapan, İ. Influence of neutrons on signal fluctuations for APD structures. Nucl. Instrum. Methods Phys. Res. Sect. A Accel. Spectrometers Detect. Assoc. Equip. 2013, 718, 215–216. [Google Scholar] [CrossRef]
- Mohammadnejad, S.; Aasi, M. Analysis of structures and technologies of various types of photodetectors used in laser warning systems: A review. Opt. Eng. 2023, 62, 090901. [Google Scholar] [CrossRef]
- Musienko, Y.; Heering, A.; Ruchti, R.; Wayne, M.; Andreev, Y.; Karneyeu, A.; Postoev, V. Radiation damage in silicon photomultipliers exposed to neutron radiation. J. Instrum. 2017, 12, 6. [Google Scholar] [CrossRef]
- Jouni, A.; Sicre, M.; Malherbe, V.; Mamdy, B.; Thery, T.; Belloir, J.M.; Soussan, D.; De Paoli, S.; Lorquet, V.; Lalucaa, V.; et al. Proton-Induced Displacement Damages in 2-D and Stacked CMOS SPADs: Study of Dark Count Rate Degradation. IEEE Trans. Nucl. Sci. 2023, 70, 515–522. [Google Scholar] [CrossRef]
- Srour, J.R.; Palko, J.W. Displacement Damage Effects in Irradiated Semiconductor Devices. IEEE Trans. Nucl. Sci. 2013, 60, 1740–1766. [Google Scholar] [CrossRef]
- Srour, J.R.; Marshall, C.J.; Marshall, P.W. Review of displacement damage effects in silicon devices. IEEE Trans. Nucl. Sci. 2003, 50, 653–670. [Google Scholar] [CrossRef]
- Pelenitsyn, V.; Korotaev, P. First-principles study of radiation defects in silicon. Comput. Mater. Sci. 2022, 207, 8. [Google Scholar] [CrossRef]
- Wimbauer, T.; Ito, K.; Mochizuki, Y.; Horikawa, M.; Kitano, T.; Brandt, M.S.; Stutzmann, M. Defects in planar Si pn junctions studied with electrically detected magnetic resonance. Appl. Phys. Lett. 2000, 76, 2280–2282. [Google Scholar] [CrossRef]
- Zappa, F.; Tisa, S.; Tosi, A.; Cova, S. Principles and features of single-photon avalanche diode arrays. Sens. Actuators A Phys. 2007, 140, 103–112. [Google Scholar] [CrossRef]
- Dautet, H.; Deschamps, P.; Dion, B.; Macgregor, A.D.; Macsween, D.; McIntyre, R.J.; Trottier, C.; Webb, P.P. Photon-counting techniques with silicon avalanche photodiodes. Appl. Opt. 1993, 32, 3894–3900. [Google Scholar] [CrossRef] [PubMed]
- Cova, S.; Ghioni, M.; Lotito, A.; Rech, I.; Zappa, F. Evolution and prospects for single-photon avalanche diodes and quenching circuits. J. Mod. Opt. 2004, 51, 1267–1288. [Google Scholar] [CrossRef]
- Hadfield, R.H. Single-photon detectors for optical quantum information applications. Nat. Photonics 2009, 3, 696–705. [Google Scholar] [CrossRef]
- Allison, J.; Amako, K.; Apostolakis, J.; Arce, P.; Asai, M.; Aso, T.; Bagli, E.; Bagulya, A.; Banerjee, S.; Barrand, G.; et al. Recent developments in GEANT4. Nucl. Instrum. Methods Phys. Res. Sect. A 2016, 835, 186–225. [Google Scholar] [CrossRef]
- Allison, J.; Amako, K.; Apostolakis, J.; Araujo, H.; Dubois, P.A.; Asai, M.; Barrand, G.; Capra, R.; Chauvie, S.; Chytracek, R.; et al. Geant4 developments and applications. IEEE Trans. Nucl. Sci. 2006, 53, 270–278. [Google Scholar] [CrossRef]
- Agostinelli, S.; Allison, J.; Amako, K.; Apostolakis, J.; Araujo, H.; Arce, P.; Asai, M.; Axen, D.; Banerjee, S.; Barrand, G.; et al. GEANT4-a simulation toolkit. Nucl. Instrum. Methods Phys. Res. Sect. A 2003, 506, 250–303. [Google Scholar] [CrossRef]
- Akkerman, A.; Barak, J.; Chadwick, M.B.; Levinson, J.; Murat, M.; Lifshitz, Y. Updated NIEL calculations for estimating the damage induced by particles and γ-rays in Si and GaAs. Radiat. Phys. Chem. 2001, 62, 301–310. [Google Scholar] [CrossRef]
- Xun, M.; Li, Y.; Feng, J.; He, C.; Liu, M.; Guo, Q.; Caputo, D. Effect of Proton Irradiation on Complementary Metal Oxide Semiconductor (CMOS) Single-Photon Avalanche Diodes. Electronics 2024, 13, 224. [Google Scholar] [CrossRef]
- Ning, B.; Zhang, Z.; Liu, Z.; Hu, Z.; Chen, M.; Bi, D.; Zou, S. Radiation-induced shallow trench isolation leakage in 180-nm flash memory technology. Microelectron. Reliab. 2012, 52, 130–136. [Google Scholar] [CrossRef]
- Osborne, M.D.; Hobson, P.R.; Watts, S.J. Numerical simulation of neutron radiation effects in avalanche photodiodes. IEEE Trans. Electron Devices 2000, 47, 529–536. [Google Scholar] [CrossRef]
- Moscatelli, F.; Marisaldi, M.; Maccagnani, P.; Labanti, C.; Fuschino, F.; Prest, M.; Berra, A.; Bolognini, D.; Ghioni, M.; Rech, I.; et al. Radiation tests of single photon avalanche diode for space applications. Nucl. Instrum. Methods Phys. Res. Sect. A 2013, 711, 65–72. [Google Scholar] [CrossRef]
- Bychkova, O.; Garutti, E.; Popova, E.; Stifutkin, A.; Martens, S.; Parygin, P.; Kaminsky, A.; Schwandt, J. Radiation damage uniformity in a SiPM. Nucl. Instrum. Methods Phys. Res. Sect. A 2022, 1039, 4. [Google Scholar] [CrossRef]
- Watts, S.J. Overview of radiation damage in silicon detectors—Models and defect engineering. Nucl. Instrum. Methods Phys. Res. Sect. A 1997, 386, 149–155. [Google Scholar] [CrossRef]
- Ratti, L.; Brogi, P.; Collazuol, G.; Betta, G.F.D.; Ficorella, A.; Marrocchesi, P.S.; Morsani, F.; Pancheri, L.; Torilla, G.; Vacchi, C. DCR Performance in Neutron-Irradiated CMOS SPADs From 150-to 180-nm Technologies. IEEE Trans. Nucl. Sci. 2020, 67, 1293–1301. [Google Scholar] [CrossRef]
- Ziegler, J.F.; Ziegler, M.D.; Biersack, J.P. SRIM—The stopping and range of ions in matter (2010). Nucl. Instrum. Methods Phys. Res. Sect. B Beam Interact. Mater. At. 2010, 268, 1818–1823. [Google Scholar] [CrossRef]
- Liu, Q.L.; Zhang, H.Y.; Hao, L.X.; Hu, A.Q.; Wu, G.; Guo, X. Total dose test with γ-ray for silicon single photon avalanche diodes*. Chin. Phys. B 2020, 29, 088501. [Google Scholar] [CrossRef]
- Ratti, L.; Brogi, P.; Collazuol, G.; Dalla Betta, G.F.; Ficorella, A.; Lodola, L.; Marrocchesi, P.S.; Mattiazzo, S.; Morsani, F.; Musacci, M.; et al. Dark Count Rate Degradation in CMOS SPADs Exposed to X-Rays and Neutrons. IEEE Trans. Nucl. Sci. 2019, 66, 567–574. [Google Scholar] [CrossRef]
- Summers, G.P.; Burke, E.A.; Shapiro, P.; Messenger, S.R.; Walters, R.J. Damage correlations in semiconductors exposed to gamma-radiation, electron-radiation and proton-radiation. IEEE Trans. Nucl. Sci. 1993, 40, 1372–1379. [Google Scholar] [CrossRef]









| Designed Shielding Material | TID (krad) | DDD (MeV/g) |
|---|---|---|
| 3.705 mm Al | 1.35 | 2.84 × 107 |
| 8.234 mm Al + 0.467 mm Ta | 0.346 | 7.02 × 106 |
| Proton Energy (MeV) | LET (MeV/(g/cm2)) | NIEL (MeV/(g/cm2)) | Fluence (p/cm2) | TID (krad) | DDD (MeV/g) |
|---|---|---|---|---|---|
| 30 | 14.76 | 5.63 × 10−3 | 1.00 × 109 | 0.235 | 5.63 × 106 |
| 5.00 × 109 | 1.175 | 2.82 × 107 | |||
| 1.00 × 1010 | 2.35 | 5.63 × 107 | |||
| 5.00 × 1010 | 11.75 | 2.82 × 108 | |||
| 1.00 × 1011 | 23.5 | 5.63 × 108 | |||
| 60 | 8.6 | 2.89 × 10−3 | 1.00 × 109 | 0.138 | 2.89 × 106 |
| 5.00 × 109 | 0.69 | 1.45 × 107 | |||
| 1.00 × 1010 | 1.38 | 2.89 × 107 | |||
| 5.00 × 1010 | 6.9 | 1.45 × 108 | |||
| 1.00 × 1011 | 13.8 | 2.89 × 108 |
| Proton Energy (MeV) | Total Vacancies (n/(ion·mm)) | Total Stopping Power (MeV/g) | Projected Range (mm) |
|---|---|---|---|
| 30 | 24 | 3.441 × 10 | 4.91 |
| 60 | 10.4 | 2.004 × 10 | 16.85 |
| Incident Particle | Particle Energy (MeV) | Non-Elastic Cross-Section(mb) | Elastic Cross-Section (mb) |
|---|---|---|---|
| gamma | 1 | 0 | 2.801 × 10−3 |
| 1.25 (60Co) | 0 | 5.522 × 10−3 | |
| 2 | 0 | 1.368 × 10−2 | |
| proton | 30 | 7.428 × 102 | 4.835 × 10−3 |
| 60 | 5.778 × 102 | 3.072 × 10−9 |
Disclaimer/Publisher’s Note: The statements, opinions and data contained in all publications are solely those of the individual author(s) and contributor(s) and not of MDPI and/or the editor(s). MDPI and/or the editor(s) disclaim responsibility for any injury to people or property resulting from any ideas, methods, instructions or products referred to in the content. |
© 2024 by the authors. Licensee MDPI, Basel, Switzerland. This article is an open access article distributed under the terms and conditions of the Creative Commons Attribution (CC BY) license (https://creativecommons.org/licenses/by/4.0/).
Share and Cite
Xun, M.; Li, Y.; Liu, M. Comparison of Proton and Gamma Irradiation on Single-Photon Avalanche Diodes. Electronics 2024, 13, 1086. https://doi.org/10.3390/electronics13061086
Xun M, Li Y, Liu M. Comparison of Proton and Gamma Irradiation on Single-Photon Avalanche Diodes. Electronics. 2024; 13(6):1086. https://doi.org/10.3390/electronics13061086
Chicago/Turabian StyleXun, Mingzhu, Yudong Li, and Mingyu Liu. 2024. "Comparison of Proton and Gamma Irradiation on Single-Photon Avalanche Diodes" Electronics 13, no. 6: 1086. https://doi.org/10.3390/electronics13061086
APA StyleXun, M., Li, Y., & Liu, M. (2024). Comparison of Proton and Gamma Irradiation on Single-Photon Avalanche Diodes. Electronics, 13(6), 1086. https://doi.org/10.3390/electronics13061086
